View Categories

Phụ lục 10. Các ví dụ

Mục lục

Các bước phân tích tần suất lũ và ví dụ minh họa

Các bước chính để thực hiện phân tích tần suất lũ theo Hướng dẫn này cùng với một số ví dụ minh họa được trình bày trong phụ lục này. Trọng tâm là dữ liệu, các khoảng lưu lượng, và ngưỡng đầu vào cho EMA để minh họa cách áp dụng. Các bước thực hiện phân tích tần suất lũ tại một trạm đo như sau:

  1. Xác định mục đích của nghiên cứu tần suất lũ và các phân vị cần quan tâm (ví dụ: \(Q_{50}\) hoặc \(Q_{100}\));
  2. Thu thập dữ liệu đỉnh lũ tại trạm đo, bao gồm:
    • Dữ liệu lịch sử,
    • Dữ liệu lũ cổ (paleoflood),
    • Dữ liệu thực vật học (botanical),
    • Ước lượng độ lệch vùng (regional skew),
    • Các yếu tố khí hậu, mưa, và thông tin khu vực khác như đã nêu trong Phụ lục 3.
      Thực hiện khảo sát thực địa để thu thập thêm dữ liệu lũ cực trị, dữ liệu lịch sử và dữ liệu lũ cổ nếu cần cho các phân vị quan tâm;
  3. Ước lượng các ngưỡng nhận biết (perception thresholds) và khoảng lưu lượng theo hướng dẫn ở Phụ lục 3;
  4. Phân tích dữ liệu sơ bộ (exploratory data analysis) như mô tả trong Phụ lục 4, và đánh giá dữ liệu;
  5. Đối với các trạm có chuỗi số liệu ngắn (n < 20), xem xét thực hiện mở rộng chuỗi số liệu (record extension) như mô tả trong Phụ lục 8;
  6. Ước lượng tần suất lũ bằng EMA, sử dụng chuỗi số liệu tại trạm và độ lệch vùng đã được ước lượng, với phần mềm được khuyến nghị tại:
    https://acwi.gov/hydrology/Frequency/b17c/; và
  7. Cân nhắc thực hiện phép gán trọng số cho phân vị (quantile weighting) như mô tả trong Phụ lục 9, đặc biệt với các trạm có chuỗi số liệu ngắn (n < 20), hoặc kết hợp các ước lượng từ mô hình mưa-dòng chảy, tùy thuộc vào mục đích nghiên cứu và các phân vị cần quan tâm.

Các ví dụ sau đây minh họa cho việc áp dụng các kỹ thuật được khuyến nghị trong Hướng dẫn này. Dữ liệu đỉnh lũ hàng năm từ bảy trạm đã được chọn để minh họa cho việc áp dụng phân phối log-Pearson Type III khi một hoặc nhiều đặc điểm sau xuất hiện trong chuỗi đỉnh lũ tại trạm:

  1. Chuỗi số liệu đo đạc liên tục có hệ thống (Systematic record);
  2. Lũ nhỏ có ảnh hưởng tiềm tàng (PILFs);
  3. Chuỗi số liệu bị gián đoạn (Broken record);
  4. Dữ liệu lịch sử (Historical data);
  5. Dữ liệu bị chặn (Crest-stage gage censored data);
  6. Dữ liệu lịch sử và PILFs (Historic data and PILFs);
  7. Dữ liệu lũ cổ (Paleoflood data).

Bảng 10–1. Tóm tắt các ví dụ phân tích tần suất lũ.
[PILF, lũ thấp có khả năng ảnh hưởng]

Số ttLoại ví dụMã trạm USGSTên trạmHệ thốngLịch sửGhi chép
bị gián đoạn
Bị khuyếtPILF
1Systematic record
(dữ liệu đo đạc liên tục có hệ thống)
01134500Sông Moose tại Victory, VermontX
2PILFs11274500Suối Orestimba gần Newman, CaliforniaX
3Chuỗi số liệu gián đoạn01614000Suối Back gần Jones Springs, West VirginiaXX
4Dữ liệu lịch sử07099500Sông Arkansas tại Pueblo, ColoradoXX
5Dữ liệu bị chặn (Censored Data)05489490Suối Bear tại Ottumwa, IowaXX
6Dữ liệu lịch sử + PILFs09480000Sông Santa Cruz tại Lochiel, ArizonaXXX
7Dữ liệu lũ cổ (paleoflood)11446500Sông American tại Fair Oaks, CaliforniaXXX

Lưu ý rằng cho mục đích phân tích tần suất lũ, năm thủy văn được sử dụng trong các ví dụ này để xác định các năm xảy ra đỉnh lưu lượng hàng năm. Năm thủy văn được định nghĩa là giai đoạn 12 tháng từ ngày 1 tháng 10 đến ngày 30 tháng 9 năm sau. Năm thủy văn được ký hiệu theo năm dương lịch mà nó kết thúc và bao gồm 9 trong số 12 tháng của năm đó.

Độ lệch trọng số (weighted skew) chỉ được sử dụng trong ví dụ 1: Dữ liệu đo đạc liên tục có hệ thống; nó không được sử dụng trong các ví dụ 2–7. Nhằm minh họa rõ ràng cách EMA và sàng lọc MGBT cho PILFs được sử dụng trong phân tích tần suất lũ, chỉ sử dụng độ lệch tại chỗ (at-site skew) ở mỗi trạm.

1. Ví dụ Systematic Record — Sông Moose tại Victory, Vermont

Ví dụ này minh họa việc sử dụng EMA và MGBT để thực hiện phân tích tần suất lũ tại một trạm đo có hồ sơ gồm các giá trị đỉnh lũ hàng năm là systematic data.

Trong ví dụ này, sử dụng trạm USGS 01134500 trên sông Moose tại Victory, Vermont. Sông Moose nằm ở phía đông bắc của bang và chảy chủ yếu từ bắc xuống nam qua địa hình đồi núi. Lưu vực sông Moose có diện tích xấp xỉ 75 dặm vuông (mi²), gần như toàn bộ là rừng (Olson và Veilleux, 2014). Về lịch sử, lưu vực này từng là một khu khai thác gỗ quan trọng và một phần khai thác vẫn tiếp tục cho đến nay. Các nỗ lực canh tác trong lưu vực nhìn chung đều thất bại do sự hiện diện của lớp đất đá nông. Trong lưu vực có một số ngôi làng nhỏ, nhưng nhìn chung dân cư thưa thớt với chỉ vài dặm đường trải nhựa. Ngoài ra, có một vùng đầm lầy lớn nằm cách trạm đo khoảng một phần ba dặm về phía thượng lưu. Vùng đầm lầy này thuộc khu bảo tồn động vật hoang dã Victory Basin rộng 5.000 mẫu Anh. Mặc dù không có công trình điều tiết dòng chảy trong lưu vực, vùng đầm lầy này giúp làm giảm các đỉnh lũ trong lưu vực.

Trạm USGS 01134500 có hồ sơ đỉnh lũ hàng năm gồm 68 giá trị đỉnh, bắt đầu từ năm 1947 và kết thúc năm 2014. Các giá trị đỉnh hàng năm được liệt kê trong bảng 10–2 và có thể tải về từ USGS NWIS tại địa chỉ:
https://nwis.waterdata.usgs.gov/nwis/peak/?site_no=01134500&agency_cd=USGS

Biểu diễn EMA của dữ liệu lưu lượng đỉnh cho phân tích tần suất lũ

Như đã mô tả trong mục Biểu diễn dữ liệu sử dụng khoảng lưu lượng và ngưỡng nhận biết, khi sử dụng EMA, đỉnh lưu lượng hàng năm cho mỗi năm thủy văn được biểu diễn bằng một khoảng lưu lượng \((Q_{Y,lower}, Q_{Y,upper})\) cho mỗi năm thủy văn Y. Đối với các đỉnh lũ có giá trị đã biết và không bị chặn (not censored), khoảng lưu lượng có thể được biểu diễn là (\(Q_{Y,lower} = Q_Y, \; Q_{Y,upper} = Q_Y\)). Ví dụ, như thể hiện trong Bảng 10–2, đỉnh lũ của năm thủy văn 1947 được ghi nhận là 2.080 ft³/s. Đỉnh này đã biết và không bị chặn, do đó khoảng lưu lượng cho năm thủy văn 1947 là (\(Q_{1947,lower} = 2.080,\; Q_{1947,upper} = 2.080\)). Trong ví dụ này, giá trị lưu lượng được biết cho tất cả các năm mà trạm đo còn hoạt động. Bảng 10–3 chứa các khoảng lưu lượng EMA cho mỗi năm thủy văn trong chuỗi số liệu của trạm 01134500.

Như đã mô tả trong mục Biểu diễn dữ liệu sử dụng khoảng lưu lượng và ngưỡng nhận biết, EMA phân biệt các đặc tính mẫu bằng cách sử dụng ngưỡng nhận biết được ký hiệu (\(T_{Y,lower}, T_{Y,upper}\)) cho mỗi năm thủy văn Y, phản ánh phạm vi lưu lượng có thể đã được đo hoặc ghi lại nếu xảy ra. Ngưỡng nhận biết mô tả phạm vi các lưu lượng cực đại tiềm năng có thể đo được và không phụ thuộc vào các lưu lượng cực đại thực tế đã xảy ra. Giới hạn dưới \(T_{Y,lower}\) là đỉnh lưu lượng nhỏ nhất mà nếu xảy ra sẽ được ghi nhận trong năm thủy văn Y. Đối với hầu hết các đỉnh tại đa số trạm đo, \(T_{Y,upper}\) được giả định là vô hạn, vì các trận lũ lớn hơn mức đo tối đa của trạm thường được xác định thông qua dấu mực nước cao và các bằng chứng vật lý khác của trận lũ.

Trong các giai đoạn có chuỗi số liệu đầy đủ về đỉnh lũ, ngưỡng nhận biết được biểu diễn là (\(T_{Y,lower} = 0, \; T_{Y,upper} = \infty\)), trong đó \(T_{Y,lower} = 0\) là lưu lượng cơ bản tại trạm đo. Bảng 10–4 chứa các ngưỡng nhận biết EMA cho mỗi năm thủy văn trong chuỗi số liệu của trạm 01134500.

Các đỉnh lưu lượng hàng năm, cùng với khoảng lưu lượng EMA và ngưỡng nhận biết EMA tương ứng, có thể được thể hiện bằng đồ thị. Hình 10–1 chứa biểu đồ thể hiện các đỉnh lưu lượng hàng năm đã ghi nhận, các khoảng lưu lượng EMA, và các ngưỡng nhận biết EMA. Dữ liệu trong đồ thị này là của trạm USGS 01134500, vì mỗi năm trong chuỗi số liệu đều có giá trị đỉnh lũ đã ghi nhận và ngưỡng nhận biết cho toàn bộ chu kỳ số liệu là (\(T_{Y,lower} = 0, \; T_{Y,upper} = \infty\)), điều này cho thấy tất cả các đỉnh lũ đều có thể ghi nhận được.

Bảng 10–2.
Trạm Khảo sát Địa chất Hoa Kỳ (USGS) số 01134500 trên sông Moose tại Victory, Vermont, hồ sơ đỉnh lưu lượng hàng năm gồm 68 giá trị đỉnh từ năm 1947 đến năm 2014. Bảng này bao gồm ngày xảy ra đỉnh được ghi nhận tại trạm, năm thủy văn của đỉnh đó, và lưu lượng đỉnh tương ứng. [– : không có mục nhập hoặc không có sẵn]

Ngày
đạt đỉnh
Năm
thủy văn
Lưu lượng đỉnh
(ft³/s)
Ngày
đạt đỉnh
Năm
thủy văn
Lưu lượng đỉnh
(ft³/s)
Ngày
đạt đỉnh
Năm
thủy văn
Lưu lượng đỉnh
(ft³/s)
1947-04-1319472,0801970-04-2519703,0101993-04-1719931,900
1948-03-2819481,6701971-05-0419711,4901994-04-1719942,760
1949-03-2819491,4801972-05-0519722,9201995-08-0619954,536
1950-04-2119502,9401973-07-0119734,9401996-04-2419962,160
1950-12-0519511,5601973-12-2219742,5501996-12-0219971,860
1952-06-0219522,3801975-04-2019751,2501998-03-3119982,680
1953-03-2719532,7201976-04-0219762,6701999-09-1819991,540
1954-04-2319542,8601977-03-3119772,0202000-05-1120002,110
1955-04-1519552,6201978-05-1019781,4602001-04-2520012,950
1956-04-3019561,7101979-03-2619791,4602002-04-1420022,410
1957-04-2219571,3701980-04-1019801,4602003-03-3020032,230
1957-12-2119582,1801981-02-2119811,5702003-10-2820041,980
1959-04-0419591,1601982-04-1819822,8902005-04-0420051,610
1959-11-2919602,7801983-05-0419831,8402005-10-1720062,640
1961-04-2419611,5801984-05-3119842,9502007-04-2420071,930
1962-04-0819622,1101985-04-1719851,3802008-04-2020081,940
1963-04-22196321601986-03-2119862,3502009-04-0420091,810
1964-04-1519642,7501987-03-3119874,1802010-03-2420101,900
1965-06-1419651,5901988-04-0619881,7002010-10-0120113,140
1966-03-2619661,5601989-04-0619892,2002012-03-2020121,370
1967-04-0319671,8001990-03-1819903,4302013-04-2020132,180
1968-03-2419681,6001990-12-2419912,2702014-04-1620144,250
1969-04-2919692,4001992-04-2319922,180

Bảng 10–3.
Trạm USGS 01134500 trên sông Moose tại Victory, Vermont, các khoảng lưu lượng theo thuật toán Moment Kỳ vọng (EMA) cho giai đoạn hệ thống từ năm 1947 đến năm 2014. Bảng này bao gồm năm thủy văn của đỉnh và khoảng lưu lượng tương ứng được xác định bởi giới hạn dưới \(Q_{Y,lower}\) và giới hạn trên \(Q_{Y,upper}\) cho mỗi năm thủy văn Y. [– : không có mục nhập hoặc không có sẵn]

Dưới đây là bản dịch nguyên bảng, giữ nguyên định dạng số như trong hình:

Năm
thủy văn
\(Q_{Y,lower}\)\(Q_{Y,upper}\)Ghi chúNăm
thủy văn
\(Q_{Y,lower}\)\(Q_{Y,upper}\)Ghi chú
19472,0802,08019811,5701,570
19481,6701,67019822,8902,890
19491,4801,48019831,8401,840
19502,9402,94019842,9502,950
19511,5601,56019851,3801,380
19522,3802,38019862,3502,350
19532,7202,72019874,1804,180
19542,8602,86019881,7001,700
19552,6202,62019892,2002,200
19561,3701,37019903,4303,430
19571,3701,37019912,2702,270
19582,1802,18019922,1802,180
19591,1601,16019931,9001,900
19602,7802,78019942,7602,760
19611,5801,58019954,5364,536
19622,1102,11019962,1602,160
19632,1602,16019971,8601,860
19642,7502,75019982,6802,680
19651,1901,19019991,5401,540
19661,5601,56020002,1102,110
19671,8001,80020012,9502,950
19681,6001,60020022,4102,410
19692,4002,40020032,2302,230
19703,0103,01020041,9801,980
19711,4901,49020051,6101,610
19722,9202,92020062,6402,640
19734,9404,94020071,9301,930
19742,5502,55020081,9401,940
19751,2501,25020091,8101,810
19762,6702,67020101,9001,900
19772,0202,02020113,1403,140
19781,4601,46020121,3701,370
19791,6201,62020132,1802,180
19801,4601,46020144,2504,250

Bảng 10–4.
Trạm USGS số 01134500 trên sông Moose tại Victory, Vermont, các ngưỡng nhận biết theo Thuật toán Moment Kỳ vọng (EMA) cho giai đoạn hệ thống từ năm 1947 đến năm 2014. Bảng này bao gồm khoảng năm thủy văn mà mỗi ngưỡng nhận biết được áp dụng; \(T_{Y,lower}\) là giới hạn dưới của ngưỡng nhận biết cho năm thủy văn Y; \(T_{Y,upper}\) là giới hạn trên của ngưỡng nhận biết cho năm thủy văn Y; và phần ghi chú mô tả ngưỡng đó.

Năm bắt đầuNăm kết thúcNgưỡng nhận
biết EMA
\(T_{Y,lower}\)
Ngưỡng nhận
biết EMA
\(T_{Y,upper}\)
Ghi chú
194720140Vô cựcContinuous systematic record
(dữ liệu đo đạc liên tục có hệ thống)

Kết quả phân tích tần suất lũ

Phân tích tần suất lũ tại trạm USGS số 01134500 được thực hiện bằng cách sử dụng các khoảng lưu lượng EMA và các ngưỡng nhận biết như thể hiện trong các bảng 10–310–4. Kết quả từ phân tích tần suất lũ tại chỗ sử dụng EMA kết hợp với phép kiểm định Multiple Grubbs-Beck (MGBT) để sàng lọc các trận lũ thấp có khả năng ảnh hưởng (PILFs) được trình bày dưới đây.

Lưu ý rằng đối với phân tích được mô tả dưới đây, độ lệch trọng số (weighted skew) đã được sử dụng. Như mô tả trong mục Ước lượng độ lệch vùng, một ước lượng độ lệch được cải thiện có thể tính được bằng cách kết hợp (trọng số) giữa độ lệch tại trạm và độ lệch vùng (xem mục Ứớc lượng hệ số độ lệch trọng số để biết chi tiết).

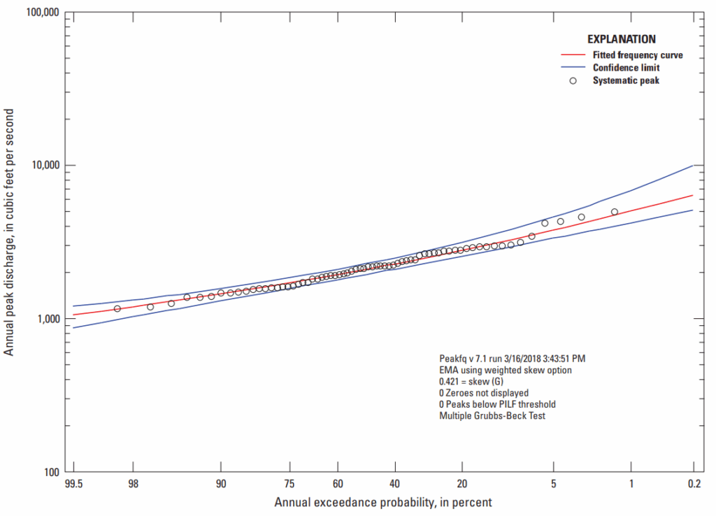
Độ lệch vùng sử dụng cho trạm này là 0,44 với sai số chuẩn tương ứng là 0,28 (MSE = 0,078) (Olson và Veilleux, 2014). Độ lệch tại chỗ ước tính là 0,397 với MSE = 0,10. Lưu lượng đỉnh ước tính cho các xác suất vượt hàng năm có thể tìm thấy trong bảng 10–5, trong khi đường cong tần suất khớp được thể hiện ở hình 10–2.

Các moment ước lượng cuối cùng là 3,3286 (trung bình-mean), 0,1403 (độ lệch chuẩn-standard deviation), và 0,421 (độ lệch trọng số-weighted skew).

Hình 10–1.
Thể hiện chuỗi thời gian lưu lượng đỉnh hàng năm tại trạm USGS số 01134500 trên sông Moose tại Victory, Vermont, gồm 68 giá trị đỉnh từ năm 1947 đến năm 2014. Các vòng tròn rỗng biểu thị các giá trị đỉnh hệ thống đã ghi nhận. Phạm vi có thể ghi nhận được cho giai đoạn hệ thống \(T_{s,lower}, T_{s,upper} \; (0, \infty)\) được thể hiện bằng các đường màu xanh.

Kết quả của phân tích ở trên được tạo ra bằng cách sử dụng độ lệch trọng số (weighted skew). Để minh họa tác động tiềm ẩn của độ lệch trọng số đối với phân tích tần suất lũ, ở đây trình bày kết quả của cùng một phân tích nhưng chỉ sử dụng độ lệch tại trạm (station skew) và so sánh với kết quả trước đó khi dùng độ lệch trọng số.

Như thể hiện ở hình 10–3, khoảng tin cậy khi chỉ sử dụng độ lệch tại trạm rộng hơn đối với các AEP nhỏ so với hình 10–2 khi dùng độ lệch trọng số. Cần lưu ý rằng đây chỉ là một ví dụ về ảnh hưởng của độ lệch trọng số đối với phân tích tần suất lũ. Mức độ ảnh hưởng có thể lớn hơn hoặc nhỏ hơn so với minh họa, tùy thuộc vào dữ liệu đỉnh lũ tại trạm, cũng như giá trị độ lệch vùng tương ứng của trạm và độ chính xác của độ lệch vùng đó.

Đường tần suất đã lắp được tính bằng EMA với MGBT được hiển thị bằng màu đỏ trong hình 10–2. Vì chuỗi số liệu đỉnh lũ hàng năm chỉ bao gồm Systematic Record, không có thông tin lịch sử, không có đỉnh bị khuyết, và không có PILF nào được MGBT xác định, nên đường cong tần suất đã lắp sử dụng hướng dẫn phân tích tần suất lũ này giống hệt với đường cong từ Bulletin 17B.

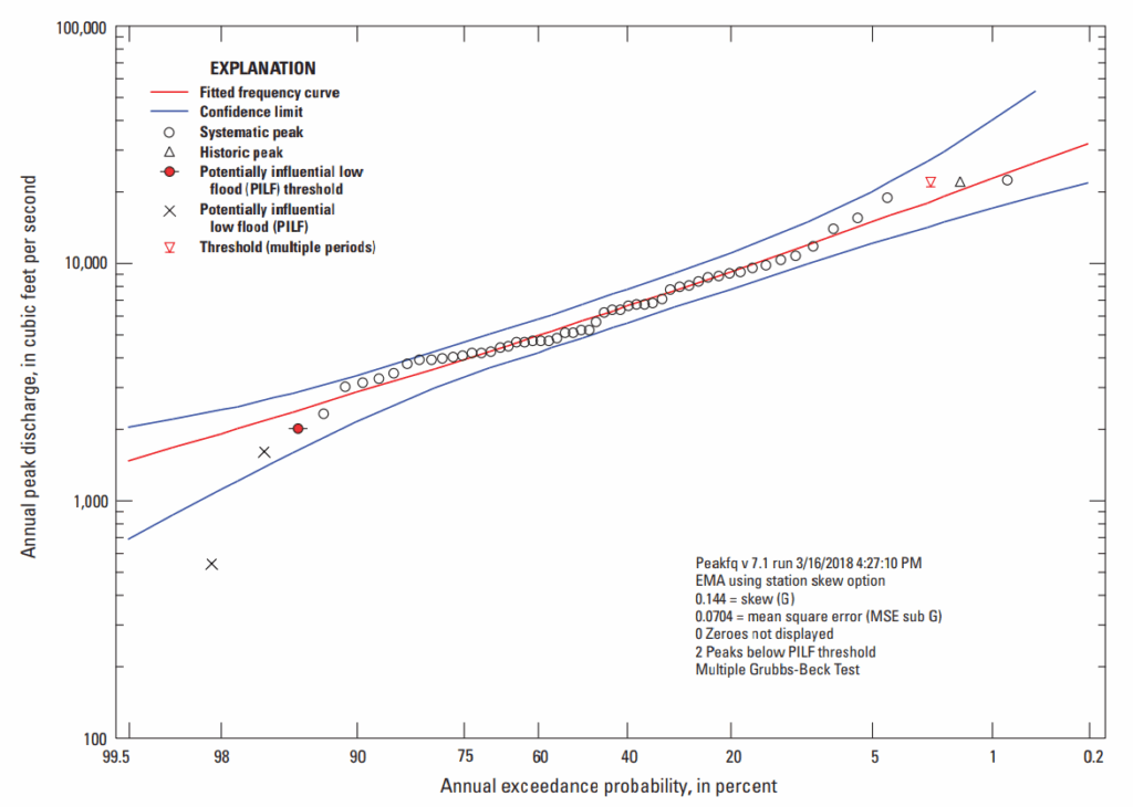
Hình 10–2.
Biểu đồ thể hiện AEP cho trạm USGS 01134500 trên sông Moose tại Victory, Vermont, dựa trên phân tích tần suất lũ sử dụng Thuật toán Moment Kỳ vọng (EMA) kết hợp với phép kiểm định Multiple Grubbs-Beck (MGBT) và độ lệch trọng số. Đường màu đỏ là đường cong tần suất log-Pearson loại III đã lắp; các đường màu xanh là giới hạn trên và dưới của khoảng tin cậy; các vòng tròn màu đen là các đỉnh đo đạc của hệ thống. PILF: lũ thấp có khả năng ảnh hưởng.

Bảng 10–5.
Các phân vị lưu lượng đỉnh (tính bằng feet khối/giây) tại trạm Khảo sát Địa chất Hoa Kỳ (USGS) số 01134500 dựa trên phân tích tần suất lũ sử dụng Thuật toán Moment Kỳ vọng (EMA) với phép kiểm định Multiple Grubbs-Beck (MGBT); phương sai của ước lượng được thể hiện trong không gian logarit.

[%: phần trăm; ft³/s: feet khối trên giây]

AEPƯớc lượng
EMA
(ft³/s)
Phương sai
của ước lượng
Giới hạn tin cậy
2,5% thấp hơn
(ft³/s)
Giới hạn tin cậy
97,5% cao hơn
(ft³/s)
0,1003,2610.00072,9333,826
0,0403,9110.00143,4265,038
0,0204,4220.00213,7826,234
0,0104,9570.00314,1317,735
0,0055,5190.00434,4769,616
0,0026,3130.00644,92912,850

Hình 10–3.
Biểu đồ thể hiện AEP cho trạm USGS 01134500 trên sông Moose tại Victory, Vermont, dựa trên phân tích tần suất lũ sử dụng Thuật toán Moment Kỳ vọng (EMA) kết hợp với phép kiểm định Multiple Grubbs-Beck (MGBT) và chỉ sử dụng độ lệch tại trạm (station skew). Đường màu đỏ là đường cong tần suất log-Pearson loại III đã lắp ráp; các đường màu xanh là giới hạn trên và dưới của khoảng tin cậy; các vòng tròn màu đen là các đỉnh hệ thống. PILF: lũ thấp có khả năng ảnh hưởng.

2. Ví dụ PILF — Suối Orestimba gần Newman, California

Ví dụ này minh họa cách Thuật toán Moment Kỳ vọng (EMA) và phép kiểm định Multiple Grubbs-Beck (MGBT) có thể được sử dụng để thực hiện phân tích tần suất lũ tại một trạm đo có hồ sơ gồm các đỉnh lũ hàng năm dạng Systematic Record và tồn tại các trận lũ thấp có khả năng ảnh hưởng (PILFs).

Trong ví dụ này, sử dụng trạm USGS số 11274500 trên suối Orestimba gần Newman, California (Parrett và cộng sự, 2011; Gotvald và cộng sự, 2012). Suối Orestimba là một nhánh của sông San Joaquin, có diện tích lưu vực 134 dặm vuông (mi²), nằm ở sườn phía đông của dãy núi Diablo Range thuộc vùng Coast Range Mountains của California (U.S. Army Corps of Engineers, 2008). Lưu vực này có cao độ trung bình 1.551 feet, với các đỉnh lũ thường xảy ra vào cuối mùa đông. Orestimba là một trong số ít các phụ lưu trong khu vực duy trì được kênh dòng chảy rõ ràng từ vùng đồi xuống sông San Joaquin (U.S. Army Corps of Engineers, 2008). Một số thông tin bổ sung về trạm này có thể xem trong Gotvald và cộng sự (2012).

Trạm USGS số 11274500 có hồ sơ đỉnh lũ hàng năm gồm 82 giá trị đỉnh, bắt đầu từ năm 1932 và kết thúc năm 2013. Các giá trị đỉnh hàng năm được liệt kê trong bảng 10–6 (tải về từ USGS NWIS: https://nwis.waterdata.usgs.gov/nwis/peak/?site_no=11274500&agency_cd=USGS) và được thể hiện trong hình 10–4. Trong số 82 giá trị đỉnh hàng năm này, có 12 năm mà giá trị đỉnh hàng năm là 0 ft³/s.

Hình 10–4.
Thể hiện chuỗi thời gian lưu lượng đỉnh hàng năm tại trạm USGS số 11274500 trên suối Orestimba gần Newman, California, gồm 82 giá trị đỉnh từ năm 1932 đến 2013. Các vòng tròn rỗng biểu thị các giá trị đỉnh mà hệ thống đã ghi nhận. Phạm vi có thể ghi nhận \(T_{s,lower}, T_{s,upper} \; (0, \infty)\) được thể hiện bằng các đường màu xanh.

Bảng 10–6.
Trạm USGS số 11274500 trên suối Orestimba gần Newman, California, hồ sơ lưu lượng đỉnh hàng năm gồm 82 giá trị đỉnh từ năm 1932 đến 2013. Bảng này bao gồm ngày xảy ra đỉnh lũ được ghi nhận tại trạm, năm thủy văn của đỉnh lũ, và lưu lượng đỉnh tương ứng.

[– : không có mục nhập hoặc không có sẵn]

Ngày
đỉnh lũ
Năm
thủy văn
Lưu lượng đỉnh
(ft³/s)
Ngày
đỉnh lũ
Năm
thủy văn
Lưu lượng đỉnh
(ft³/s)
Ngày
đỉnh lũ
Năm
thủy văn
Lưu lượng đỉnh
(ft³/s)
1932-02-0819324,2601960-02-1019604481988-00-0019880
1933-01-2919333451961-00-00196101989-00-0019890
1934-01-0119345161962-02-1519621,7401990-05-2819904
1935-04-0819351,3201963-02-0119638,3001991-03-2419911,260
1936-02-1319361,2001964-01-2219641561992-02-151992888
1937-02-1319372,1801965-01-0619655601993-01-1319934,190
1938-02-1119383,2301965-12-3019661281994-02-20199412
1939-03-0919391151967-01-2419674,2001995-03-10199512,000
1940-02-2719403,4401968-00-00196801996-02-1919963,130
1941-04-0419413,0701969-01-2519695,0801997-01-2319973,320
1942-01-2419421,8801970-03-0119701,0101998-02-0319989,470
1943-01-2119436,4501970-12-2119715841999-02-091999833
1944-02-2919441,2901972-00-00197202000-02-1420002,550
1945-02-0219455,9701973-02-1119731,5102001-03-052001958
1945-12-2519467821974-03-0319749222002-01-032002425
1947-00-00194701975-03-0819751,0102002-12-1620032,790
1948-00-00194801976-00-00197602004-02-2520042,990
1949-03-1219493351977-00-00197702005-02-1620051,820
1950-02-0519501751978-01-1719784,3602006-01-0220061,630
1950-12-0319512,9201979-02-2119791,2702007-00-0020070
1952-10-1219523,6601980-02-1619805,2102008-01-2520082,110
1952-12-0719531471981-01-2919811,1302009-02-172009310
1954-00-00195401982-01-0519825,5502010-01-2020104,400
1955-01-191955161983-01-2419836,3602011-03-2420114,440
1955-12-2319565,6201983-12-2519849912012-00-0020120
1957-02-2419571,4401985-02-091985502012-12-2420136,250
1958-04-02195810,2001986-02-1919866,990
1959-02-1619595,3801987-03-061987112

Biểu diễn EMA của dữ liệu lưu lượng đỉnh để phân tích tần suất lũ

Như đã mô tả trong phần Biểu diễn dữ liệu sử dụng các khoảng lưu lượng và ngưỡng nhận biết, khi sử dụng EMA, lưu lượng đỉnh hàng năm cho mỗi năm thủy văn được mô tả bằng một khoảng lưu lượng \((Q_{Y,lower}, Q_{Y,upper})\) cho mỗi năm thủy văn Y.

Với các giá trị đỉnh đã biết và không bị chặn, khoảng lưu lượng có thể được mô tả là: (\(Q_{Y,lower} = Q_Y, \ Q_{Y,upper} = Q_Y\))

Như được chỉ ra trong bảng 10–6, lưu lượng đỉnh của năm thủy văn 1932 được ghi nhận là 4,260 ft³/s. Giá trị đỉnh này là đã biết và không bị chặn, do đó khoảng lưu lượng cho năm thủy văn 1932 là: (\(Q_{1932,lower} = 4,260, \ Q_{1932,upper} = 4,260)\)

Bảng 10–7 chứa các khoảng lưu lượng EMA cho từng năm thủy văn trong chuỗi số liệu tại trạm 11274500.

Như đã mô tả trong phần Biểu diễn dữ liệu sử dụng các khoảng lưu lượng và ngưỡng nhận biết, EMA phân biệt các thuộc tính lấy mẫu bằng cách áp dụng các ngưỡng nhận biết được ký hiệu (\(T_{Y,lower}, T_{Y,upper}\)) cho từng năm thủy văn Y, phản ánh phạm vi lưu lượng sẽ được đo hoặc ghi lại nếu xảy ra.

Ngưỡng nhận biết mô tả phạm vi của các lưu lượng đỉnh tiềm năng có thể đo được và độc lập với giá trị lưu lượng đỉnh thực tế đã xảy ra. Giới hạn dưới \(T_{Y,lower}\) là lưu lượng đỉnh nhỏ nhất có thể dẫn đến một số liệu được ghi nhận trong năm thủy văn Y.

Đối với hầu hết các đỉnh tại trạm đo, \(T_{Y,upper}\) được giả định là vô hạn, vì những trận lũ lớn hơn có thể vượt quá khả năng đo của trạm sẽ được xác định qua khảo sát dấu vết mức nước cao và các bằng chứng vật lý khác về trận lũ.

Đối với các giai đoạn có số liệu lưu lượng đỉnh đo đạc liên tục từ hệ thống, ngưỡng cảm nhận được biểu diễn là: (\(T_{Y,lower} = 0, \ T_{Y,upper} = \infty)\)

trong đó \(T_{Y,lower} = 0\) là lưu lượng cơ bản của trạm. Bảng 10–8 chứa các ngưỡng nhận biết EMA cho từng năm thủy văn trong chỗi số liệu tại trạm USGS 11274500.

Bảng 10–7.

Trạm đo USGS 11274500, suối Orestimba gần Newman, California, các khoảng giá trị lưu lượng theo thuật toán Expected Moments Algorithm (EMA) cho giai đoạn có số liệu từ năm 1932 đến 2013. Bảng này bao gồm năm thủy văn của đỉnh lũ và khoảng lưu lượng tương ứng, được xác định bởi giới hạn dưới \(Q_{Y,lower}\) và giới hạn trên \(Q_{Y,upper}\) cho từng năm thủy văn Y.

[– : không có mục nhập hoặc không có sẵn]

Năm
thủy văn
\(Q_{Y,lower}\)\(Q_{Y,upper}\)Ghi chúNăm
thủy văn
\(Q_{Y,lower}\)\(Q_{Y,upper}\)Ghi chú
19324,2604,26019731,5101,510
19333453451974922922
193451651619751,0101,010
19351,3201,320197600Zero flow.
19361,2001,200197700Zero flow.
19372,1802,18019784,3604,360
19383,2303,23019791,2701,270
193911511519805,2105,210
19403,4403,44019811,1301,130
19413,0703,07019825,5505,550
19421,8801,88019836,3606,360
19436,4506,4501984991991
19441,2901,29019855050
19455,9705,97019866,9906,990
19467827821987112112
194700Zero flow.198800Zero flow.
194800Zero flow.198900Zero flow.
1949335335199044
195017517519911,2601,260
19512,9202,9201992888888
19523,6603,66019934,1904,190
195314714719941212
195400Zero flow.199512,00012,000
1955161619963,1303,130
19565,6205,62019973,3203,320
19571,4401,44019989,4709,470
195810,20010,2001999833833
19595,3805,38020002,5502,550
19604484482001958958
196100Zero flow.2002425425
19621,7401,74020032,7902,790
19638,3008,30020042,9902,990
196415615620051,8201,820
196556056020061,6301,630
1966128128200700Zero flow.
19674,2004,20020082,1102,110
196800Zero flow.2009310310
19695,0805,08020104,4004,400
19701,0101,01020114,4404,440
1971584584201200Zero flow.
197200Zero flow.20136,2506,250

Bảng 10–8.

Trạm 11274500 Orestimba Creek gần Newman, California, ngưỡng nhận biết của Thuật toán Moment Kỳ vọng (Expected Moments Algorithm – EMA) cho giai đoạn từ năm 1932 đến 2013.

Bảng này thể hiện khoảng năm thủy văn mà mỗi ngưỡng nhận biết được áp dụng; \(T_{Y,lower}\) là giới hạn dưới của ngưỡng nhận biết cho năm thủy văn Y; \(T_{Y,upper}\) là giới hạn trên của ngưỡng nhận biết cho năm thủy văn Y; và một ghi chú mô tả ngưỡng này.

Năm
bắt đầu
Năm
kết thúc
EMA perception thresholdGhi chú
\(T_{Y,lower}\)\(T_{Y,upper}\)
193220130Vô cựcGhi chép liên tục của hệ thống

Kết quả từ Phân tích Tần suất Lũ

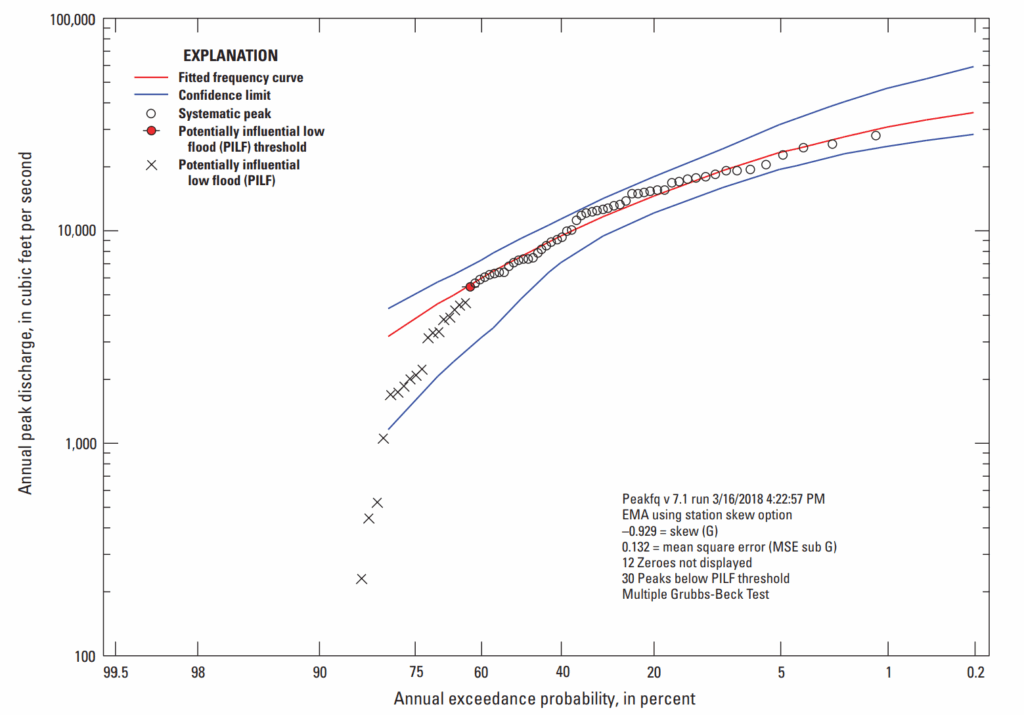
Phân tích tần suất lũ tại trạm USGS 11274500 được thực hiện bằng cách sử dụng các khoảng lưu lượng EMA và các ngưỡng nhận biết như thể hiện trong Bảng 10–710–8. Kết quả từ một phân tích tần suất lũ tại chỗ sử dụng EMA với Kiểm định Multiple Grubbs–Beck để sàng lọc các PILF được thể hiện. Lưu ý rằng độ lệch trạm được sử dụng, do đó cho phép tập trung vào dữ liệu tại chỗ. Đường tần suất đã lắp được hiển thị trong Hình 10–5 với các ước lượng được cung cấp trong Bảng 10–9. Các moment ước lượng cuối cùng là 3.0227 (trung bình), 0.6821 (độ lệch chuẩn) và –0.929 (độ lệch trạm).

Như thể hiện trong Hình 10–5, ngưỡng PILF \(T_{PILF}\) được thiết lập bởi MGBT là 782 ft³/s, với mức ý nghĩa bằng 0.0007. Do đó, toàn bộ 30 đỉnh lũ hàng năm (bao gồm 12 giá trị bằng 0) nhỏ hơn 782 ft³/s được giới hạn và mã hóa lại trong khuôn khổ của EMA với các khoảng lưu lượng (\(Q_{Y,lower} = 0,\ Q_{Y,upper} = 782\)). Ngưỡng MGBT cũng có tác dụng điều chỉnh giới hạn dưới của ngưỡng nhận biết. Do vậy, cho toàn bộ giai đoạn lịch sử từ 1932 đến 2013, ngưỡng nhận biết dựa trên \(T_{PILF}\) là (\(T_{Y,lower} = 782,\ T_{Y,upper} = \infty\)). Như thể hiện trong Hình 10–5, bằng cách giới hạn 30 đỉnh nhỏ nhất trong chuỗi số liệu, các đỉnh có xác suất vượt nhỏ nhất được khớp tốt với đường tần suất (đường màu đỏ).

Bảng 10–9.

Các phân vị lưu lượng đỉnh đối với trạm U.S. Geological Survey 11274500 Orestimba Creek gần Newman, California, dựa trên phân tích tần suất lũ sử dụng Thuật toán Moment Kỳ vọng (Expected Moments Algorithm – EMA) với Kiểm định Multiple Grubbs–Beck; phương sai của ước lượng được thể hiện trong không gian log.

AEP (%)Ước lượng EMA
(ft³/s)
Phương sai
của ước lượng
Giới hạn tin cậy
2,5% thấp hơn
(ft³/s)
Giới hạn tin cậy
97,5% cao hơn
(ft³/s)
0.5001 3390.0078620.61 840
0.2004 0260.00452 9655 595
0.1006 3280.00494 6869 394
0.0409 4260.00616 94416 110
0.02011 6900.00738 48921 920
0.01013 8200.00829 81327 730
0.00515 8000.010610 91033 500
0.00218 1500.013512 04041 610

Hình 10–5.
Biểu đồ thể hiện AEP cho trạm USGS 11274500 Orestimba Creek gần Newman, California, dựa trên phân tích tần suất lũ sử dụng Thuật toán Moment Kỳ vọng (Expected Moments Algorithm – EMA) với Kiểm định Multiple Grubbs–Beck (MGBT).

Đường màu đỏ là đường tần suất log-Pearson loại III đã lắp, các đường màu xanh là giới hạn trên và giới hạn dưới của khoảng tin cậy, các vòng tròn màu đen là các đỉnh lũ hệ thống (systematic peaks), vòng tròn đỏ đặc có đường kẻ ngang là ngưỡng lũ thấp có khả năng ảnh hưởng (PILF) được xác định bởi MGBT, và các dấu “x” màu đen là các PILF được MGBT xác định.

3. Ví dụ về hồ sơ bị gián đoạn — Back Creek gần Jones Springs, West Virginia

Ví dụ này minh họa cách sử dụng Thuật toán Moment Kỳ vọng (EMA) cho một hồ sơ bị gián đoạn, như đã mô tả trong mục Hồ sơ bị gián đoạn, không đầy đủ và ngừng hoạt động. Trong ví dụ này, trạm USGS 01614000 Back Creek gần Jones Springs, West Virginia, được sử dụng. Back Creek là phụ lưu của sông Potomac; lưu vực rộng 235 dặm vuông nằm trong khu vực thung lũng và núi Ridge ở West Virginia (Wiley và Atkins, 2010).

Trạm USGS 01614000 có hồ sơ lưu lượng đỉnh hàng năm gồm 56 đỉnh lũ, bắt đầu từ năm 1929 và kết thúc năm 2012. Có ba giai đoạn “hồ sơ bị gián đoạn” khi trạm ngừng hoạt động: 1932–1937, 1976–1991, và 1999–2003. Tổng cộng có 28 năm thiếu số liệu trong giai đoạn 1929–2012. Ngoài ra, có một trận lũ lịch sử xảy ra ngoài giai đoạn đo đạc vào ngày 17 tháng 3 năm 1936. Trận lũ này được ghi nhận trong Báo cáo Dữ liệu Nước Hàng năm của USGS cho trạm này (Grover, 1937). Các đỉnh lũ hàng năm được liệt kê trong bảng 10–10 và thể hiện trong hình 10–6. Trong số 56 đỉnh lũ hàng năm, trận lũ tháng 10/1942 vượt nhẹ so với trận lũ lịch sử tháng 3/1936. Dựa trên thông tin lũ lịch sử trong Grover (1937) về trận lũ năm 1936, và các lũ lớn ở khu vực được mô tả bởi Wiley và Atkins (2010), thông tin từ trận lũ tháng 3/1936 được sử dụng như một ngưỡng nhận biết để đại diện cho 28 năm thiếu dữ liệu.

Biểu diễn EMA của dữ liệu lưu lượng đỉnh phục vụ phân tích tần suất lũ

Như mô tả trong mục Biểu diễn dữ liệu bằng Khoảng lưu lượng và Ngưỡng nhận biết, khi sử dụng EMA, lưu lượng đỉnh hàng năm cho mỗi năm trong giai đoạn lịch sử được mô tả bằng một khoảng lưu lượng (\(Q_{Y,lower}, Q_{Y,upper}\)) cho từng năm thủy văn Y. Với các đỉnh lũ đã biết giá trị và không bị khuyết, khoảng lưu lượng được mô tả là (\(Q_{Y,lower} = Q_Y, Q_{Y,upper} = Q_Y\)). Trong ví dụ này, giá trị lưu lượng được biết cho tất cả các năm trạm hoạt động. Bảng 10–11 chứa các khoảng lưu lượng EMA cho từng năm tại trạm 01614000. Các năm thiếu dữ liệu được mô tả bằng ngưỡng nhận biết.

Như mô tả trong mục Biểu diễn dữ liệu bằng Khoảng lưu lượng và Ngưỡng nhận biết, EMA phân biệt các thuộc tính lấy mẫu bằng cách sử dụng ngưỡng nhận biết ký hiệu (\(T_{Y,lower}, T_{Y,upper}\)) cho từng năm Y, phản ánh phạm vi lưu lượng có thể đo được hoặc ghi lại nếu chúng xảy ra. Ngưỡng nhận biết mô tả phạm vi lưu lượng xả tiềm năng có thể đo được và độc lập với các trận lũ thực tế đã xảy ra. Giới hạn dưới \(T_{Y,lower}\) thể hiện trận lũ nhỏ nhất có thể ghi nhận được trong hồ sơ của một năm thủy văn Y. Với hầu hết các trạm, \(T_{Y,upper}\) thường được giả định là vô hạn, trừ các trận lũ quá lớn vượt khả năng đo đạc, được xác định qua nghiên cứu dấu vết lũ và các bằng chứng vật lý khác.

Với giai đoạn có hồ sơ lưu lượng đầy đủ và liên tục, ngưỡng nhận biết được biểu diễn là (\(T_{Y,lower} = 0, T_{Y,upper} = \infty\)), trong đó \(T_{Y,lower} = 0\) là lưu lượng tại thời điểm bắt đầu ghi nhận. Trong ví dụ này, các năm thiếu dữ liệu được mô tả bởi trận lũ lịch sử năm 1936. Dựa trên thông tin trận lũ lớn tháng 3/1936 (Grover, 1937) và thông tin lũ khu vực ở West Virginia (Wiley và Atkins, 2010), biết rằng nếu có lũ ở vị trí này thì nó đã vượt khoảng 21.000 ft³/s. Bảng 10–12 chứa các ngưỡng nhận biết EMA cho từng năm trong hồ sơ, bao gồm cả các năm thiếu dữ liệu, cho trạm USGS 01614000.

Hình 10–6.
Biểu đồ thể hiện chuỗi số liệu lưu lượng đỉnh hàng năm tại trạm USGS 01614000 Back Creek gần Jones Springs, West Virginia, gồm 56 giá trị đỉnh từ năm 1929 đến 2012.
Các khoảng lưu lượng lũ được biểu diễn bằng các cột dọc màu đen có mũ, đại diện cho ước lượng lưu lượng thấp nhất và cao nhất.
Các vùng tô xám biểu thị những trận lũ có cường độ không xác định nhưng nhỏ hơn ngưỡng nhận biết \(T_{d,lower}\) trong các giai đoạn số liệu bị gián đoạn.
Các đường màu xanh lá thể hiện khoảng giá trị mà lũ có thể được đo hoặc ghi nhận trong các giai đoạn số liệu gián đoạn 1932–1938, 1976–1992, và 1999–2003, với các ngưỡng nhận biết thấp và cao lần lượt là \(T_{d,lower}\) (21.000 ft³/s) và \(T_{d,upper}\) được ước lượng từ trận lũ lịch sử tháng 3 năm 1936.
Khoảng nhận biết cho các giai đoạn đo đạc hệ thống \(T_{s,lower}, T_{s,upper} (0, ∞)\) được thể hiện bằng các đường màu xanh dương.

Bảng 10–10.
Trạm USGS 01614000 Back Creek gần Jones Springs, West Virginia, chuỗi số liệu lưu lượng đỉnh hàng năm gồm 56 giá trị đỉnh từ năm 1929 đến 2012, bao gồm cả trận lũ lịch sử năm 1936.
Bảng này ghi lại ngày xảy ra lưu lượng đỉnh hàng năm được đo tại trạm, năm thủy văn của lưu lượng đỉnh hàng năm, và giá trị lưu lượng đỉnh hàng năm tương ứng (tính bằng ft³/s).
Các đường kẻ ngang thể hiện các giai đoạn số liệu bị gián đoạn.

[–, không có dữ liệu hoặc không sẵn có]

Bảng 10–11.
Trạm USGS 01614000 Back Creek gần Jones Springs, West Virginia, các khoảng lưu lượng theo thuật toán Expected Moments (EMA) cho giai đoạn số liệu hệ thống từ năm 1929 đến 2012.
Bảng này bao gồm năm thủy văn của lưu lượng đỉnh hàng năm và khoảng lưu lượng tương ứng được xác định bởi giới hạn dưới \(Q_{Y,lower}\) và giới hạn trên \(Q_{Y,upper}\), tính bằng feet khối trên giây (ft³/s) cho từng năm thủy văn Y.

Các đường kẻ ngang thể hiện các năm có số liệu bị gián đoạn.

[–, không có dữ liệu hoặc không sẵn có]

Bảng 10–12.
Trạm USGS 01614000 Back Creek gần Jones Springs, West Virginia, các ngưỡng nhận biết theo thuật toán Expected Moments Algorithm (EMA) cho giai đoạn số liệu hệ thống từ 1929 đến 2012.
Bảng này bao gồm các khoảng năm thủy văn áp dụng cho từng ngưỡng nhận biết; \(T_{Y,lower}\)​ là giới hạn dưới của ngưỡng nhận biết cho năm thủy văn Y; \(T_{Y,upper}\)​ là giới hạn trên của ngưỡng nhận biết cho năm thủy văn Y; và một phần ghi chú mô tả ngưỡng.

Năm
bắt đầu
Năm
kết thúc
\(T_{Y,lower}\)\(T_{Y,upper}\)Ghi chú
192919310Vô cựcHồ sơ hệ thống liên tục.
1932193821.000Vô cựcThiếu hồ sơ, có thông tin lịch sử.
193919750Vô cựcHồ sơ hệ thống liên tục.
1976199221,000Vô cựcThiếu hồ sơ, có thông tin lịch sử.
199319980Vô cựcHồ sơ hệ thống liên tục.
1999200321,000Vô cựcThiếu hồ sơ, có thông tin lịch sử.
200420120Vô cựcHồ sơ hệ thống liên tục.

Kết quả Phân tích Tần suất Lũ

Phân tích tần suất lũ tại trạm USGS 01614000 được thực hiện bằng cách sử dụng các khoảng lưu lượng EMA và các ngưỡng nhận biết như trình bày trong bảng 10–1110–12. Kết quả từ phân tích tần suất lũ tại vị trí (at-site) bằng EMA kết hợp với Multiple Grubbs-Beck Test (MGBT) để sàng lọc các trận lũ nhỏ có khả năng ảnh hưởng đáng kể (PILFs) được thể hiện bên dưới.

Lưu ý rằng độ lệch của trạm đã được sử dụng, nhờ đó trọng tâm được đặt vào dữ liệu tại chỗ. Đường cong tần suất đã lắp được hiển thị trong hình 10–7 với các giá trị ước lượng được cung cấp trong bảng 10–13. Các moment ước lượng cuối cùng là 3.7598 (trung bình), 0.2434 (độ lệch chuẩn) và 0.144 (độ lệch của trạm).

Như thể hiện trong hình 10–7, có hai trận lũ vượt quá ngưỡng lịch sử (21.000 ft³/s): trận lũ tháng 3 năm 1936 và trận lũ tháng 10 năm 1942. Sử dụng MGBT, đã xác định được hai PILF, với ngưỡng bằng 2.000 ft³/s và mức ý nghĩa bằng 0.0881. Hai đỉnh lũ hàng năm nhỏ hơn 2.000 ft³/s bị kiểm duyệt và mã hóa lại trong khuôn khổ EMA với khoảng lưu lượng (\(Q_{Y,lower} = 0, Q_{Y,upper} = 2.000\)).

Ngưỡng MGBT cũng có tác dụng điều chỉnh giới hạn dưới của ngưỡng nhận biết. Vì vậy, trong toàn bộ giai đoạn lịch sử từ 1929 đến 2012 (ngoại trừ các năm bị thiếu dữ liệu), ngưỡng nhận biết là (\(T_{Y,lower} = 2.000, T_{Y,upper} = \infty\)).

Đối với các năm bị thiếu dữ liệu trong chuỗi ghi chép bị gián đoạn, được bù bằng thông tin lịch sử, ngưỡng nhận biết lịch sử \(T_{Y,lower} = 21.000\) (bảng 10–12). Như thể hiện trong hình 10–7, bằng cách censoring đỉnh nhỏ nhất còn lại trong chuỗi, các đỉnh lũ có AEP nhỏ nhất và các trận lũ lớn nhất đều phù hợp tốt với đường cong tần suất (đường màu đỏ).

Bảng 10–13.
Các phân vị lưu lượng đỉnh đối với trạm 01614000 Back Creek gần Jones Springs, West Virginia, dựa trên phân tích tần suất lũ sử dụng Thuật toán Moment Kỳ vọng (Expected Moments Algorithm – EMA) với Kiểm định Multiple Grubbs–Beck; phương sai của ước lượng được thể hiện trong không gian log.

[% , phần trăm; ft³/s, feet khối trên giây]

AEPƯớc lượng
EMA
(ft³/s)
Phương sai
của ước lượng
Giới hạn tin cậy
2,5% thấp hơn (ft³/s)
Giới hạn tin cậy
97,5% cao hơn (ft³/s)
0.5005,6750.00134,8196,676
0.2009,1790.00157,74511,040
0.10011,8900.00199,87914,880
0.04015,7700.003112,69021,900
0.02018,9800.004514,82029,440
0.01022,4800.006516,95039,610
0.00526,2900.009019,06053,190
0.00231,8600.013321,84078,210

Hình 10-7: mô tả đồ thị AEP cho trạm 01614000 Back Creek, dựa trên phân tích tần suất lũ bằng Expected Moments Algorithm (EMA) kết hợp với Multiple Grubbs-Beck Test (MGBT).

Giải thích các ký hiệu:

  • Đường đỏ: đường cong tần suất log-Pearson loại III đã lắp ráp (fitted curve).
  • Đường xanh: giới hạn tin cậy trên và dưới (upper/lower confidence limits).
  • Vòng tròn đen: các đỉnh lũ (systematic peaks) trong chuỗi số liệu.
  • Vòng tròn đỏ đặc có gạch ngang: ngưỡng PILF (Potentially Influential Low Flood) do MGBT nhận diện.
  • Dấu “x” đen: các sự kiện PILF được MGBT xác định.
  • Tam giác đỏ + đường ngang: giới hạn dưới của ngưỡng cảm nhận lịch sử (historical perception threshold), ở đây là 21,000 ft³/s.

4. Ví dụ hồ sơ lịch sử—Sông Arkansas tại Pueblo, Colorado

Ví dụ này minh họa việc sử dụng EMA cho một hồ sơ lịch sử với một số trận lũ lớn (được mô tả trong mục Thông tin Lũ Lịch sử) và thông tin về lũ cổ (paleoflood). Sông Arkansas tại đập Pueblo gần Pueblo, Colorado, được trình bày để minh họa việc sử dụng EMA với thông tin lịch sử phong phú, dữ liệu lũ cổ, và khả năng đưa trận lũ tháng 6 năm 1921 vào bối cảnh dài hạn hơn. Những trận lũ lịch sử lớn nhất được mô tả dưới dạng dữ liệu khoảng (interval data), và nhiều ngưỡng được yêu cầu để mở rộng một cách hiệu quả chuỗi số liệu dòng chảy gián đoạn sau khi đập được xây dựng. Dữ liệu lũ cổ cũng được đưa vào ví dụ này nhằm phục vụ cho ứng dụng an toàn đập của Reclamation. Chi tiết của ví dụ này được trình bày trong England and others (2006)England and others (2010). Các ước tính xác suất lưu lượng đỉnh được thực hiện tại bốn địa điểm lũ cổ trên sông Arkansas tại Công viên Tiểu bang Pueblo, Parkdale, Loma Linda và Adobe Park. Chúng tôi tập trung vào chuỗi tần suất lũ của địa điểm Công viên Tiểu bang Pueblo trong ví dụ này; kết quả tần suất lũ cho các địa điểm khác, cũng như kết quả tần suất khu vực, được trình bày trong England and others (2006).

Trong ví dụ này, các ước tính lưu lượng đỉnh trên sông Arkansas tại Công viên Tiểu bang Pueblo được kết hợp từ các trạm đo của USGS tại Portland (07097000) (các năm 1975 đến 1976), gần Portland (07099200) (năm 1974), và gần Pueblo (07099500) (các năm 1864 đến 1973), và được sử dụng cùng với số liệu hồ chứa tại Pueblo (các năm 1977 đến 2004) nhằm thu được hồ sơ hoàn chỉnh của tất cả các trận lũ lớn vượt khoảng 10.000 ft³/s cho giai đoạn ghi nhận. Một số dữ liệu, đặc biệt là các ước tính lũ lịch sử, được lấy từ các Báo cáo Cung cấp Nước của USGS, Hồ sơ Nguồn Nước Bang Colorado, các bản tường thuật lịch sử về trận lũ tháng 6 năm 1921, và các nguồn khác. Do đó, chúng không trực tiếp tương ứng với các lưu lượng đỉnh trong cơ sở dữ liệu NWIS của USGS. Những trạm đo này trước đây đã được ghi nhận và phân tích bởi England and others (2006); xem thêm England and others (2010).

Các lưu lượng đỉnh hàng năm được liệt kê trong bảng 10–14 và thể hiện trong hình 10–8. Trong số 85 đỉnh hàng năm, bao gồm cả thông tin lịch sử, trận lũ ngày 3 tháng 6 năm 1921 (theo Follansbee và Jones, 1922; Munn và Savage, 1922) là lớn nhất. Tổng chiều dài hồ sơ kết hợp, không tính dữ liệu lịch sử, là 110 năm (1895 đến 2004) (xem hình 10–8). Các ước tính lưu lượng đỉnh lớn nhất từ các trạm đo này không bị ảnh hưởng bởi điều tiết dòng chảy ở thượng nguồn. Các bài đánh giá về thông tin lịch sử sẵn có (Follansbee và Jones, 1922; Munn và Savage, 1922; Follansbee và Sawyer, 1948) chỉ ra rằng có thông tin lũ lịch sử tại địa điểm này để phân tích tần suất. Hồ sơ lịch sử được ước tính bắt đầu từ năm 1859, dẫn đến chuỗi lịch sử 146 năm (1859 đến 2004). Ba trận lũ lịch sử đã được đưa vào: tháng 6 năm 1864, tháng 7 năm 1893, và tháng 5 năm 1894. Quy mô của các trận lũ này lớn so với các trận lũ trong hồ sơ đo; các ước tính trong một khoảng được dựa trên Follansbee và Sawyer (1948) và được đưa vào phân tích tần suất lũ. Những ước tính này có mức độ không chắc chắn tương đối lớn so với các trận lũ nhỏ hơn trong hồ sơ đo. Một trận lũ cổ được ước tính có tuổi khoảng 840 năm (trước khi hồ được xây dựng năm 2004) đã được đưa vào để phân tích tần suất lũ. Ước tính này dựa trên ba hố đất, hai niên đại đồng vị carbon, và mô hình thủy lực cho đoạn sông dài 7.500 feet (England and others 2006). Không có ước tính cho các lũ cổ riêng lẻ nào khác được thực hiện tại địa điểm này, do chiều rộng kênh biến đổi tương đối lớn và thiếu bằng chứng địa tầng rõ ràng của các lũ cổ trong suốt thời gian nghiên cứu giới hạn (England and others 2010). Các dữ liệu lưu lượng đỉnh, dữ liệu lịch sử, và tổng hợp dữ liệu giới hạn không vượt (nonexceedance-bound data) cho thấy các trận lũ lịch sử là lớn nhất trong hồ sơ, và khi kết hợp với dữ liệu lũ cổ, cho kết quả một chuỗi thời gian dài hơn đáng kể (xem hình 10–8).

Biểu diễn EMA của dữ liệu lưu lượng đỉnh để phân tích tần suất lũ

Như đã mô tả trong mục Data Representation Using Flow Intervals and Perception Thresholds, khi sử dụng EMA, lưu lượng đỉnh hàng năm cho mỗi năm thủy văn trong giai đoạn lịch sử được biểu diễn bằng một khoảng lưu lượng (\(Q_{Y,lower}, Q_{Y,upper}\)) cho từng năm thủy văn Y. Đối với các đỉnh lũ có giá trị đã biết và không bị kiểm duyệt, khoảng lưu lượng có thể được mô tả như (\(Q_{Y,lower} = Q_Y,\ Q_{Y,upper} = Q_Y\)). Trong ví dụ này, các giá trị lưu lượng được biết cho tất cả các năm mà trạm đo còn hoạt động.

Bảng 10–15 chứa các khoảng lưu lượng EMA cho từng năm thủy văn trong chuỗi số liệu tại trạm USGS số 07099500. Giai đoạn lịch sử được mô tả bằng một ngưỡng nhận biết(perception threshold), cũng như giai đoạn sau khi trạm ngừng hoạt động (từ năm 1977 đến 2004).

Bảng 10–14.

Hồ sơ lưu lượng đỉnh hàng năm tại trạm USGS số 07099500 (và các trạm khác) trên sông Arkansas, gồm 85 giá trị đỉnh từ năm 1864 đến 1976. Bảng này liệt kê năm thủy văn của đỉnh hàng năm và lưu lượng đỉnh tương ứng. Các đường ngang thể hiện những năm bị gián đoạn số liệu.

Năm
thủy văn
Lưu lượng
đỉnh hàng năm
(ft³/s)
Năm
thủy văn
Lưu lượng
đỉnh hàng năm
(ft³/s)
Năm
thủy văn
Lưu lượng
đỉnh hàng năm
(ft³/s)
1864>41,0001921>80,00019508,700
1893>20,00019228,85019519,300
1894>35,000192325,60019524,740
18956,10019246,51019536,770
189616,50019254,930195410,200
18974,30019264,520195511,100
18987,500192712,40019568,010
18998,20019287,80019579,070
19007,100192910,50019584,540
190111,10019306,05019592,820
190230,00019313,56019605,260
190310,50019324,38019615,760
19047,00019338,63019623,540
19058,00019342,58019638,360
190611,00019359,88019642,840
19076,600193611,200196523,500
19087,60019379,300196610,600
19095,800193811,20019675,870
19108,40019392,91019685,190
19113,70019403,86019696,620
191210,50019417,56019706,300
19137,800194210,30019713,360
19147,50019433,32019723,360
191517,00019445,98019736,760
19168,90019459,29019745,440
19176,80019467,050197510,200
19189,60019477,280197612,800
19196,300194810,900
19208,500194912,800

Như đã mô tả trong mục Data Representation Using Flow Intervals and Perception Thresholds, EMA phân biệt các thuộc tính mẫu bằng cách sử dụng các ngưỡng nhận biết (perception thresholds) ký hiệu (\(T_{Y,lower}, T_{Y,upper}\)) cho mỗi năm Y, phản ánh phạm vi lưu lượng có thể đo hoặc ghi lại nếu chúng xảy ra.

Ngưỡng nhận biết mô tả phạm vi lưu lượng tiềm năng có thể đo được và độc lập với các lưu lượng đỉnh thực tế đã xảy ra.

  • Giới hạn dưới \(T_{Y,lower}\) là lưu lượng đỉnh nhỏ nhất sẽ được ghi nhận trong năm thủy văn Y.
  • Với hầu hết các trạm đo, giới hạn trên \(T_{Y,upper}\) được giả định là vô hạn, trừ khi có những trận lũ lớn vượt quá khả năng đo của trạm. Khi đó, giới hạn trên sẽ được xác định thông qua nghiên cứu dấu vết mực nước cao (highwater marks) và các bằng chứng vật lý khác của trận lũ.

Trong những giai đoạn có chuỗi số liệu liên tục và đầy đủ về lưu lượng đỉnh, ngưỡng nhận thức được biểu diễn là (\(T_{Y,lower} = 0,\ T_{Y,upper} = \infty\)), trong đó \(T_{Y,lower} = 0\) chính là lưu lượng cơ sở của trạm.

Dựa trên số liệu lũ lịch sử và hồ sơ hồ chứa, người ta biết rằng lũ tại vị trí này sẽ được ước lượng (hoặc ghi lại) nếu vượt khoảng 20.000 ft³/s.

Bảng 10–16 liệt kê các ngưỡng nhận thức EMA cho từng năm thủy văn trong chuỗi số liệu, bao gồm cả giai đoạn lịch sử và giai đoạn lũ cổ (paleo-flood) của trạm 07099500.

Hình 10–8.

Biểu đồ thể hiện lưu lượng đỉnh, các ước lượng lũ lịch sử và lũ cổ trên sông Arkansas tại Công viên bang Pueblo. Một điểm ngắt tỉ lệ được sử dụng để tách dữ liệu từ trạm đo và dữ liệu lịch sử khỏi chuỗi số liệu dài hơn của hồ sơ lũ cổ.

Các khoảng lũ được biểu diễn bằng các thanh dọc màu đen có chóp, thể hiện giá trị ước lượng lưu lượng nhỏ nhất và lớn nhất, bao gồm cả các ước lượng (không quan trắc) trong giai đoạn lịch sử và các trận lũ lịch sử vào các năm 1864, 1893, 1894 và 1921.

Vùng tô xám thể hiện các trận lũ có lưu lượng không xác định được chính xác, nhưng nhỏ hơn ngưỡng nhận biết trong giai đoạn lũ cổ (\(T_{h2,lower}\)), giai đoạn lịch sử (\(T_{h1,lower}\)), và giai đoạn sau khi trạm ngừng hoạt động (\(T_{d,lower}\)).

Phạm vi ngưỡng nhận thức được thể hiện bằng:

  • Đường màu cam cho giai đoạn lũ cổ.
  • Đường màu magenta cho giai đoạn lịch sử.
  • Đường màu xanh dương cho giai đoạn số liệu hệ thống.
  • Đường màu xanh lá cây cho giai đoạn trạm ngừng hoạt động.

Bảng 10–15.

Các khoảng lưu lượng EMA trên sông Arkansas tại Pueblo cho giai đoạn từ năm 1864 đến 1976. Các đường ngang thể hiện những năm bị gián đoạn số liệu.

[–, không có mục hoặc không có sẵn dữ liệu]

Water year\(Q_{Y,lower}\)
(ft³/s)
\(Q_{Y,upper}\)
(ft³/s)
CommentsWater year\(Q_{Y,lower}\)
(ft³/s)
\(Q_{Y,upper}\)
(ft³/s)
Comments
186441,00060,000Historical flood.19359,8809,880
189320,00025,000Historical flood.193611,20011,200
189435,00040,000Historical flood.19379,3009,300
18956,1006,100193811,20011,200
189616,50016,50019392,9102,910
18974,3004,30019403,8603,860
18987,5007,50019417,5607,560
18998,2008,200194210,30010,300
19007,1007,10019433,3203,320
190111,10011,10019445,9805,980
190230,00030,00019459,2909,290
190310,50010,50019467,0507,050
19048,5008,50019477,2807,280
19058,0008,000194810,90010,900
190611,00011,000194912,80012,800
19076,6006,60019508,7008,700
19087,6007,60019519,3009,300
19095,8005,80019524,7404,740
19108,4008,40019536,7706,770
19113,7003,700195410,20010,200
191210,50010,500195511,10011,100
19137,8007,80019568,0108,010
19147,5007,50019579,0709,070
191517,00017,00019584,5404,540
19168,9008,90019592,8202,820
19176,8006,80019605,2605,260
19189,6009,60019615,7605,760
19196,3006,30019623,5403,540
19208,5008,50019638,3608,360
192180,000103,000Historical flood.19642,8402,840
19228,8508,850196523,50023,500
192325,60025,600196610,60010,600
19246,5106,51019675,8705,870
19254,9304,93019685,1905,190
19264,5204,52019696,6206,620
192712,40012,40019706,3006,300
19287,8007,80019713,3603,360
192910,50010,50019723,3603,360
19306,0506,05019736,7606,760
19313,5603,56019745,4405,440
19324,3804,380197510,20010,200
19338,6308,630197612,80012,800
19342,5802,580

Bảng 10–16.

Trạm USGS số 07099500 – Các ngưỡng nhận biết (perception thresholds) theo thuật toán EMA cho các giai đoạn lũ cổ (paleoflood), lịch sử, và giai đoạn số liệu hệ thống từ năm 1165 đến 2004.
Bảng này liệt kê các khoảng năm mà mỗi ngưỡng nhận biết áp dụng; \(T_{Y,lower}\) là giới hạn dưới của ngưỡng nhận biết cho năm thủy văn Y; \(T_{Y,upper}\) là giới hạn trên; cột “Comment” mô tả ngưỡng đó.

Năm bắt đầuNăm kết thúc\(T_{Y,lower}\)
(ft³/s)
\(T_{Y,upper}\)
(ft³/s)
Ghi chú
11651858150,000Giới hạn không vượt quá của lũ cổ (Paleoflood nonexceedance bound).
1859189240,000Thông tin lịch sử năm 1864.
1893189419,900Thông tin lịch sử năm 1893.
189519760Chuỗi số liệu hệ thống liên tục.
1977200420,000Giới hạn sau khi có hồ chứa (Post-reservoir bound).

Kết quả phân tích tần suất lũ

Phân tích tần suất lũ cho sông Arkansas tại Pueblo được thực hiện bằng cách sử dụng các khoảng lưu lượng EMA và các ngưỡng nhận thức như trình bày trong Bảng 10–1510–16. Kết quả từ phân tích tần suất lũ tại chỗ sử dụng EMA kết hợp với kiểm định Multiple Grubbs–Beck Test (MGBT) được trình bày dưới đây; không xác định được lũ thấp tiềm ẩn có ảnh hưởng (PILFs). Lưu ý rằng giá trị station skew được sử dụng, cho phép tập trung vào dữ liệu tại chỗ. Đường cong tần suất phù hợp được thể hiện trong Hình 10–9 với các ước lượng được cung cấp trong Bảng 10–17.

Kết quả phân tích tần suất lũ (Hình 10–9) cho thấy mô hình LP-III mô phỏng tốt phần lớn dữ liệu, bao gồm hầu hết các trận lũ lớn, nhưng lại thấp hơn so với giá trị của trận lũ lớn nhất (tháng 6/1921) do ảnh hưởng của dữ liệu lũ cổ. Dữ liệu giới hạn không vượt quá của lũ cổ tại Công viên bang Pueblo kéo dài đáng kể chuỗi số liệu lưu lượng đỉnh lên khoảng 840 năm, và ảnh hưởng đến phần giá trị lớn của đường cong tần suất ngoại suy, chủ yếu là do làm giảm hệ số độ lệch.

Có thể quan sát được độ lệch dương lớn và sự chuyển tiếp tương đối dốc từ lũ do tuyết tan chiếm ưu thế sang lũ do mưa lớn chiếm ưu thế khi lưu lượng vượt khoảng 10.000 ft³/s. Các trận lũ do mưa lớn này là nguyên nhân tạo ra hình dạng của phần phía trên đường cong tần suất. AEP của trận lũ lớn nhất từng được ghi nhận (tháng 6/1921) vào khoảng 1/270 khi dựa trên plotting position, và khoảng 1/1.600 khi dùng mô hình LP-III.

Bảng 10–17. Các phân vị lưu lượng đỉnh (tính bằng ft³/s) cho trạm USGS số 07099500 (và các trạm khác) trên sông Arkansas, dựa trên phân tích tần suất lũ sử dụng thuật toán Expected Moments Algorithm (EMA) kết hợp với kiểm định Multiple Grubbs–Beck Test; phương sai của ước lượng được thể hiện trong không gian log.

AEPƯớc lượng
EMA
(ft³/s)
Phương sai của
ước lượng
Giới hạn tin cậy
2,5% thấp hơn
(ft³/s)
Giới hạn tin cậy
97,5% cao hơn
(ft³/s)
0.5007,1000.0009606,3008,000
0.20011,9000.00128010,40013,700
0.10016,4000.00165014,10019,300
0.04023,8000.00290019,60029,600
0.02031,0000.00463024,30040,900
0.01039,8000.00717029,50056,800
0.00550,6000.01061035,60079,400
0.00268,8000.01666044,800124,100
0.00186,3000.02243053,000174,400
0.0001177,3000.04959088,700545,300

Hình 10–9.

Biểu đồ thể hiện đường cong tần suất lưu lượng đỉnh của sông Arkansas tại Công viên bang Pueblo, bao gồm dữ liệu từ trạm đo, dữ liệu lịch sử và dữ liệu lũ cổ.

  • Đường màu đỏ: đường cong tần suất được hiệu chỉnh theo mô hình log-Pearson loại III.
  • Đường màu xanh lam: giới hạn tin cậy trên và dưới.
  • Các vòng tròn rỗng: ước lượng lưu lượng đỉnh từ số liệu trạm đo.
  • Các thanh dọc: khoảng bất định của dữ liệu ước lượng cho một số trận lũ lớn.
  • Hộp màu xám: giới hạn không vượt quá của lũ cổ (paleoflood nonexceedance bound).

5. Ví dụ về Crest Stage Gage — Bear Creek tại Ottumwa, Iowa

Ví dụ này minh họa cách thuật toán Expected Moments Algorithm (EMA) và kiểm định Multiple Grubbs–Beck Test (MGBT) có thể được sử dụng để thực hiện chính xác phân tích tần suất lũ khi dữ liệu đỉnh lũ chỉ biết trong một khoảng giá trị (censored data) và có các ngưỡng nhận biết thay đổi, dựa trên số liệu từ một crest stage gage.

Crest-stage gage (CSG) là thiết bị đơn giản, tin cậy, dùng để xác định cao độ đỉnh lũ của một dòng chảy. Thông thường, CSG gồm một ống kim loại thẳng đứng chứa một thanh gỗ hoặc nhôm cố định theo mốc cao độ chuẩn. Ở đáy ống có nắp đục lỗ chứa hạt nút bần nghiền. Khi mực nước sông dâng và vượt quá cao độ nắp đáy (thường gọi là gage base), nước tràn vào ống. Khi nước dâng lên, nút bần nổi trên mặt; khi mực nước đạt đỉnh và bắt đầu rút, nút bần dính lại trên thanh đo, lưu giữ dấu vết đỉnh lũ (Sauer và Turnipseed, 2010).

Vì nguyên lý hoạt động này, CSG chỉ ghi nhận các đỉnh lũ cao hơn gage base. Những năm mà đỉnh lũ thấp hơn gage base sẽ không có số liệu lưu lượng, chỉ biết rằng đỉnh lũ nhỏ hơn một ngưỡng nhất định → gọi là đỉnh lũ dưới giới hạn đo.

Ví dụ này cho thấy EMA kết hợp MGBT có thể xử lý chính xác các giá trị đỉnh lũ hàng năm chỉ biết trong một khoảng, từ đó đưa vào phân tích tần suất lũ.

Trạm USGS số 05489490 tại Bear Creek ở Ottumwa, Iowa là một CSG, có diện tích lưu vực 22,9 mi², nằm ở đông nam Iowa trong vùng địa mạo Southern Iowa Drift Plain – đặc trưng bởi đồi thoải và kênh sông bị xẻ sâu (Prior, 1991). Bờ và đáy sông gồm cát, bùn, và đất sét – dễ thay đổi do tác động của các trận lũ. Vùng bãi bồi gồm rừng, đồng cỏ và đất canh tác.

Trạm này có chuỗi số liệu đỉnh lũ hàng năm gồm 49 giá trị, từ 1965 đến 2014 (Eash và cộng sự, 2013, bảng 1). Các giá trị này được liệt kê trong Bảng 10–18 (tải từ USGS NWIS) và thể hiện ở Hình 10–10.

Bảng 10–18.

Trạm USGS số 05489490 Bear Creek tại Ottumwa, Iowa – chuỗi số liệu lưu lượng đỉnh hàng năm gồm 49 giá trị từ 1965 đến 2014.
Bảng này liệt kê ngày xảy ra lưu lượng đỉnh, năm thủy văn, giá trị lưu lượng đỉnh.
Ký hiệu “<” nghĩa là nhỏ hơn giá trị ghi trong bảng; “–” nghĩa là không có số liệu.

Ngày xảy
ra đỉnh lũ
Năm
thủy văn
Lưu lượng
đỉnh
(ft³/s)
Ngày xảy
ra đỉnh lũ
Năm
thủy văn
Lưu lượng
đỉnh
(ft³/s)
Ngày xảy
ra đỉnh lũ
Năm
thủy văn
Lưu lượng
đỉnh
(ft³/s)
1965-09-2119654,0001982-07-0319824,0301998-06-1819981,940
1966-00-001966<1,1801982-10-0819832,1801998-10-0519992,840
1967-06-0919672,8801984-06-0819841,7802000-06-2320003,520
1968-10-1519681,3101985-03-0419851,6102001-05-1520012,430
1969-10-1519691,4201986-09-1919861,9102002-05-1120022,670
1970-04-1719703,1301987-05-3119879902003-06-262003560
1971-00-001971<1,1801988-02-2019888992004-08-2720043,000
1972-05-0819721,6201989-09-0919891,8202005-04-122005859
1973-01-1919731,5701990-05-2519903,1202006-00-002006<710
1974-05-1919742,0601991-04-1819911,8502007-08-2320072,390
1975-00-001975<7051992-09-1519921,8402008-05-1120083,160
1976-04-2419763,3401993-05-0719932,4102009-08-2720092,520
1977-08-0719773,5301994-06-2319941,4002010-08-0920103,750
1978-07-2119782,0101995-04-1119951,5602011-06-1420112,600
1979-03-2919791,8301996-05-2819963,1302012-04-1420121,450
1980-08-1719802,2401997-00-001997<7142013-05-2820133,850
1981-07-0419812,7702014-09-1020141,200

Biểu diễn EMA của dữ liệu lưu lượng đỉnh để phân tích tần suất lũ

Như đã mô tả trong mục Data Representation Using Flow Intervals and Perception Thresholds, khi sử dụng EMA, lưu lượng đỉnh hàng năm cho mỗi năm thủy văn trong giai đoạn lịch sử được mô tả bằng một khoảng lưu lượng (\(Q_{Y,lower}, Q_{Y,upper}\)) cho từng năm thủy văn Y. Với các đỉnh lũ có giá trị đã biết và không nằm trong dạng dữ liệu bị chặn, khoảng lưu lượng được mô tả như (\(Q_{Y,lower} = Q_Y, Q_{Y,upper} = Q_Y\)). Ví dụ, như trong Bảng 10–18, đỉnh lũ của năm thủy văn 1965 được ghi nhận là 4.000 ft³/s. Đỉnh lũ này đã biết và không phải dạng dữ liệu bị chặn, nên khoảng lưu lượng cho năm 1965 là (\(Q_{1965,lower} = 4.000,\ Q_{1965,upper} = 4.000\)).

Như thể hiện trong Bảng 10–18, có sáu năm có đỉnh lũ chỉ biết trong khoảng giá trị (censored peaks) gồm 1966, 1971, 1975, 1988, 1997 và 2006. Năm trong số đó (1966, 1971, 1975, 1997 và 2006) là do đỉnh lũ hàng năm không đạt tới cao độ gage base của CSG. Các đỉnh này có thể được mô tả bằng khoảng lưu lượng (\(Q_{Y,lower} = 0,\ Q_{Y,upper} = \text{cao độ gage base của CSG}\)). Trường hợp năm 1988, đỉnh lũ chỉ biết trong khoảng giá trị do vấn đề liên quan đến backwater. CSG ghi nhận đỉnh lũ hàng năm là 899 ft³/s, nhưng biết rằng giá trị này bị ảnh hưởng bởi hiện tượng nước đóng băng, khiến giá trị ghi nhận được nhỏ hơn thực tế. Do không có thông tin bổ sung về đỉnh lũ năm 1988, nên có thể biểu diễn nó dưới dạng khoảng lưu lượng (\(Q_{1988,lower} = 0,\ Q_{1988,upper} = 899\ \text{ft³/s}\)).

Bảng 10–19 chứa các khoảng lưu lượng EMA cho từng năm thủy văn trong chuỗi số liệu của trạm 05489490.

Như đã mô tả trong mục Data Representation Using Flow Intervals and Perception Thresholds, EMA phân biệt các đặc điểm lấy mẫu bằng cách sử dụng các ngưỡng nhận thức (\(T_{Y,lower}, T_{Y,upper}\)) cho mỗi năm Y, phản ánh phạm vi lưu lượng có thể đo hoặc ghi lại nếu xảy ra. Ngưỡng nhận thức mô tả phạm vi lưu lượng tiềm năng có thể đo được và độc lập với các lưu lượng đỉnh thực tế đã xảy ra. Giới hạn dưới \(T_{Y,lower}\) là đỉnh lũ nhỏ nhất sẽ được ghi nhận trong năm thủy văn Y. Với CSG, \(T_{Y,lower}\) có thể được điều chỉnh để phù hợp với sự thay đổi của lưu lượng tương ứng gage base.

Bảng 10–20 chứa các ngưỡng nhận thức EMA cho từng năm thủy văn trong chuỗi số liệu của trạm 05489490.

Bảng 10–19.

Trạm USGS số 05489490 Bear Creek tại Ottumwa, Iowa – Các khoảng lưu lượng theo thuật toán EMA cho giai đoạn số liệu hệ thống từ 1965 đến 2014.
Bảng này liệt kê năm thủy văn của đỉnh lũ hàng năm và khoảng lưu lượng tương ứng được xác định bởi giới hạn dưới \(Q_{Y,lower}\) và giới hạn trên \(Q_{Y,upper}\), cùng ghi chú về nguyên nhân nếu đỉnh lũ chỉ biết trong khoảng giá trị.

Ký hiệu:

  • “<” : nhỏ hơn giá trị ghi trong bảng.
  • “–” : không có số liệu.
  • Peak < gage base: đỉnh lũ thấp hơn mực gage base của CSG.
  • Peak affected by backwater: đỉnh lũ bị ảnh hưởng bởi hiện tượng backwater.
Năm
thủy văn
\(Q_{Y,lower}\)\(Q_{Y,upper}\)Ghi chúNăm
thủy văn
\(Q_{Y,lower}\)\(Q_{Y,upper}\)Ghi chú
19654,0004,00019903,1203,120
196601,180Peak < gage base19911,8501,850
19672,8802,88019921,8401,840
19681,3101,31019932,4102,410
19691,4201,42019941,4001,400
19703,1303,13019951,5601,560
197101,180Peak < gage base19963,1303,130
19721,6201,62019970714Peak < gage base
19731,5701,57019981,9401,940
19742,0602,06019992,8402,840
19750705Peak < gage base20003,5203,520
19763,3403,34020012,4302,430
19773,5303,53020022,6702,670
19782,0102,0102003560560
19791,8301,83020043,0003,000
19802,2402,2402005859859
19812,7702,77020060710Peak < gage base
19824,0304,03020072,3902,390
19832,1802,18020083,1603,160
19841,7801,78020092,5202,520
19851,6101,61020103,7503,750
19861,9101,91020112,6002,600
198799099020121,4501,450
19880899Peak affected by backwater20133,8503,850
19891,8201,82020141,2001,200

Hình 10–10.

Hình Thể hiện chuỗi số liệu lưu lượng đỉnh hàng năm tại trạm USGS số 05489490 Bear Creek ở Ottumwa, Iowa, gồm 49 giá trị từ năm 1965 đến 2014.

  • Các vòng tròn rỗng màu đen: giá trị đỉnh lũ trong giai đoạn số liệu hệ thống.
  • Các thanh dọc màu đen có chóp: ước lượng khoảng lưu lượng lũ.
  • Các khối chữ nhật đặc: ngưỡng nhận thức giới hạn dưới \(T_{CSG,lower}\) (thay đổi theo thời gian).
  • Đường màu xanh lá: ngưỡng nhận thức giới hạn trên \(T_{CSG,upper}\).

Bảng 10–20.

Trạm USGS số 05489490 Bear Creek tại Ottumwa, Iowa – Các ngưỡng nhận thức (perception thresholds) theo thuật toán EMA cho giai đoạn số liệu hệ thống từ 1965 đến 2014.
Bảng này liệt kê các khoảng năm thủy văn mà mỗi ngưỡng nhận thức (tính bằng ft³/s) được áp dụng; TY,lowerT_{Y,lower} là giới hạn dưới của ngưỡng nhận thức cho năm thủy văn YY; TY,upperT_{Y,upper} là giới hạn trên; cột “Ghi chú” mô tả ngưỡng này.

[CSG: crest-stage gage; HWM: high-water mark]

Kết quả từ phân tích tần suất lũ

Một phân tích tần suất lũ tại trạm USGS số 05489490 được thực hiện bằng cách sử dụng các khoảng lưu lượng EMA và ngưỡng nhận thức như trong Bảng 10–1910–20. Kết quả từ phân tích tần suất lũ tại chỗ sử dụng EMA kết hợp với kiểm định Multiple Grubbs–Beck Test (MGBT) để sàng lọc các trận lũ nhỏ tiềm ẩn có ảnh hưởng (PILFs) được trình bày dưới đây. Lưu ý rằng giá trị station skew đã được sử dụng, cho phép tập trung vào dữ liệu tại chỗ.

Đường cong tần suất đã lắp thể hiện trong Hình 10–11 với các giá trị ước lượng được trình bày trong Bảng 10–21. Các moment ước lượng cuối cùng là:

  • Trung bình (mean): 3,2787
  • Độ lệch chuẩn (standard deviation): 0,2331
  • Độ lệch (station skew): 0,925

Bảng 10–21.

Các phân vị lưu lượng đỉnh (đơn vị ft³/s) cho trạm USGS số 05489490 Bear Creek tại Ottumwa, Iowa, dựa trên phân tích tần suất lũ sử dụng EMA kết hợp MGBT; phương sai của ước lượng được thể hiện trong không gian log.

AEPƯớc lượng
EMA
(ft³/s)
Phương sai
của ước lượng
Giới hạn tin cậy
2,5% thấp hơn
(ft³/s)
Giới hạn tin cậy
97,5% cao hơn
(ft³/s)
0.5002,0610.00121,7022,406
0.2003,0040.00092,6113,444
0.1003,5070.00083,0804,064
0.0404,0210.00103,5434,856
0.0204,3290.00133,7795,454
0.0104,5860.00183,9426,074
0.0054,8020.00244,0576,746
0.0025,0360.00334,1607,750

Như minh họa trong ví dụ trên, EMA thể hiện chính xác các giá trị đỉnh lũ hàng năm chỉ biết trong khoảng giá trị (censored annual peak) thông qua việc sử dụng các khoảng lưu lượng và các ngưỡng nhận thức. Các khoảng lưu lượng EMA cung cấp một cách tiếp cận trực tiếp để biểu diễn đúng các giá trị lưu lượng dạng này, trong khi các ngưỡng nhận thức giúp điều chỉnh theo sự thay đổi của cao độ gage base.

Hình 10–11.

Biểu đồ xác suất vượt hàng năm cho trạm USGS số 05489490 Bear Creek tại Ottumwa, Iowa, dựa trên phân tích tần suất lũ sử dụng thuật toán EMA kết hợp kiểm định Multiple Grubbs–Beck Test (MGBT).

  • Đường màu đỏ: đường cong tần suất theo mô hình log-Pearson loại III.
  • Đường màu xanh lam: giới hạn tin cậy trên và dưới.
  • Các vòng tròn đen: giá trị đỉnh lũ trong giai đoạn số liệu hệ thống.
  • Các đường tím: ước lượng khoảng lưu lượng lũ.
  • Vòng tròn đỏ đặc có gạch chéo: ngưỡng của trận lũ nhỏ tiềm ẩn có ảnh hưởng (PILF) do MGBT xác định.
  • Dấu “x” màu đen: các trận PILF được MGBT nhận diện.
  • Các màu khác nhau ở phần chú giải “Threshold” biểu thị các giai đoạn ngưỡng nhận thức khác nhau: 1966–1972, 1973–1991, 1992–2005, 2006–2009.

6. Ví dụ về dữ liệu lịch sử và PILF — Sông Santa Cruz gần Lochiel, Arizona

Ví dụ này minh họa việc sử dụng Thuật toán Moment Kỳ vọng (Expected Moments Algorithm – EMA) cho một chuỗi số liệu lịch sử có một trận lũ lớn (được mô tả trong phần Historical Flood Information) và một số trận lũ nhỏ có khả năng ảnh hưởng (PILFs – Potentially Influential Low Floods) (được mô tả trong phần Zero Flows and Potentially Influential Low Floods).

Trong ví dụ này, sử dụng trạm USGS số 09480000 trên sông Santa Cruz gần Lochiel, Arizona. Sông Santa Cruz là phụ lưu của sông Gila; lưu vực có diện tích 82,2 dặm vuông nằm trong vùng Basin and Range ở Arizona (Paretti và cộng sự, 2014a). Trạm đo này trước đây đã được phân tích bởi Cohn và cộng sự (đang xuất bản)Paretti và cộng sự (2014a, hình 21).

Trạm 09480000 có chuỗi số liệu đỉnh lũ hàng năm gồm 65 giá trị, bắt đầu từ năm 1949 và kết thúc năm 2013. Có một trận lũ lịch sử xảy ra trong giai đoạn có số liệu quan trắc, vào ngày 9 tháng 10 năm 1977. Trận lũ này được ghi nhận trong Báo cáo Dữ liệu Nước Hàng năm của USGS cho trạm này, có trong hồ sơ lưu lượng đỉnh, và cũng có thông tin lịch sử cho thấy đây là trận lũ lớn nhất kể từ năm 1927 (Aldridge và Eychaner, 1984). Các đỉnh lũ hàng năm được liệt kê trong bảng 10–22 và thể hiện trong hình 10–12. Trong số 65 giá trị đỉnh lũ hàng năm, trận lũ ngày 15 tháng 8 năm 1984 có lưu lượng bằng với đỉnh lũ lịch sử tháng 10 năm 1977. Dựa trên thông tin lịch sử về trận lũ tháng 10 năm 1977 từ Aldridge và Eychaner (1984), giá trị lũ này được dùng làm ngưỡng nhận biết để đại diện cho 22 năm thiếu dữ liệu từ 1927 đến 1948.

Hình 10–12.

Thể hiện trạm đo USGS số 09480000 trên sông Santa Cruz gần Lochiel, bang Arizona, chuỗi số liệu đỉnh lũ hàng năm gồm 65 giá trị đỉnh từ năm 1949 đến 2013. Giai đoạn lịch sử được thể hiện bằng vùng tô xám, với ngưỡng nhận biết (12.000 ft³/s]) ước tính từ trận lũ lịch sử tháng 10 năm 1977. Các khoảng ngưỡng nhận biết được thể hiện bằng đường màu đỏ tươi (magenta) cho giai đoạn lịch sử và đường màu xanh dương cho giai đoạn số liệu hệ thống.

Bảng 10–22.

Trạm đo USGS số 09480000trên sông Santa Cruz gần Lochiel, bang Arizona, ghi nhận chuỗi số liệu đỉnh lũ hàng năm gồm 65 giá trị đỉnh từ năm 1949 đến 2013. Bảng này bao gồm ngày xảy ra đỉnh lũ hàng năm được ghi nhận tại trạm, năm thủy văn của đỉnh lũ hàng năm, lưu lượng đỉnh lũ hàng năm tương ứng (tính bằng feet khối trên giây [ft³/s]).
[– : không có số liệu hoặc không sẵn có]

Ngày
đỉnh lũ
Năm
thủy văn
Lưu lượng đỉnh
hàng năm
(ft³/s)
Ngày
đỉnh lũ
Năm
thủy văn
Lưu lượng đỉnh
hàng năm
(ft³/s)
Ngày
đỉnh lũ
Năm
thủy văn
Lưu lượng đỉnh
hàng năm
(ft³/s)
1949-09-1319491,6501971-08-1019712,8301993-01-1819934,880
1950-07-3019504,5201972-07-1619722,0701994-08-301994478
1951-08-0219512,5601973-06-3019731,4901995-07-1219952,020
1952-08-1619525501974-08-0419741,7301996-07-1019961,860
1953-07-1419533,3201975-07-2219753,3301997-09-1119972,970
1954-07-2219541,5701976-07-2219763,5401998-07-0719981,110
1955-08-0619554,3001977-09-0519771,1301999-07-2819994,870
1956-07-1719561,3601977-10-09197812,0002000-08-0620002,240
1957-08-0919576881979-01-2519791,0602000-10-2220011,080
1958-08-0719583801980-06-3019804062002-03-0420021.5
1959-08-1419592431981-07-1519811,1102003-08-14200322
1960-07-3019606251982-08-1119822,6402004-08-052004256
1961-08-0819611,1201983-03-0419831,1202005-08-23200573
1962-07-2919627.61984-08-15198412,0002006-08-0820065,940
1963-08-2519632,3901985-07-1919858502007-07-1920073,060
1964-09-0919642,3301986-08-2919864,2102008-07-2320081,180
1965-09-1219654,8101987-08-1019872912009-07-2020091,530
1966-08-1819661,7801988-08-2319888042010-07-312010392
1967-08-0319671,8701989-08-0419898712011-08-13201195
1967-12-2019689861990-07-1719903,5102012-07-28201212
1969-08-0519694841991-07-261991172013-09-082013612
1970-08-0319708801992-08-011992483

Biểu diễn EMA của dữ liệu lưu lượng đỉnh cho phân tích tần suất lũ

Như đã mô tả trong phần Biểu diễn dữ liệu sử dụng khoảng lưu lượng và ngưỡng nhận biết (Data Representation Using Flow Intervals and Perception Thresholds), khi sử dụng EMA, lưu lượng đỉnh hàng năm cho mỗi năm thủy văn trong giai đoạn lịch sử được mô tả bằng một khoảng lưu lượng (\(Q_{Y,lower}, Q_{Y,upper}\)) cho mỗi năm thủy văn Y. Đối với các giá trị đỉnh mà lưu lượng đã biết và không bị kiểm duyệt, khoảng lưu lượng có thể được mô tả là (\(Q_{Y,lower} = Q_Y, \; Q_{Y,upper} = Q_Y\)). Trong ví dụ này, các giá trị lưu lượng đã được biết cho tất cả các năm mà trạm đo hoạt động. Bảng 10–23 chứa các khoảng lưu lượng EMA cho từng năm thủy văn trong chuỗi số liệu của trạm 09480000. Giai đoạn lịch sử được mô tả bằng một ngưỡng nhận biết.

Như đã mô tả trong phần Biểu diễn dữ liệu sử dụng khoảng lưu lượng và ngưỡng nhận biết, EMA phân biệt các đặc điểm lấy mẫu bằng cách sử dụng các ngưỡng nhận biết ký hiệu (\(T_{Y,lower}, T_{Y,upper}\)) cho mỗi năm Y, phản ánh phạm vi lưu lượng sẽ được đo hoặc ghi lại nếu chúng xảy ra. Các ngưỡng nhận biết mô tả phạm vi của các lưu lượng cực đại tiềm năng có thể đo được và độc lập với các lưu lượng đỉnh thực tế đã xảy ra.

Giới hạn dưới, \(T_{Y,lower}\), đại diện cho lưu lượng đỉnh nhỏ nhất có thể gây ra một ghi nhận trong năm thủy văn Y. Đối với hầu hết các giá trị đỉnh tại các trạm đo, \(T_{Y,upper}\) thường được giả định là vô hạn, vì các trận lũ lớn hơn có thể vượt quá khả năng đo của trạm được xác định qua nghiên cứu các vết mốc cao và bằng chứng vật lý khác của trận lũ.

Đối với những giai đoạn có số liệu liên tục, bao quát toàn bộ phạm vi lưu lượng đỉnh, ngưỡng nhận biết được biểu diễn là (\(T_{Y,lower} = 0, \; T_{Y,upper} = \infty\)), trong đó \(0T_{Y,lower} = 0\\) là lưu lượng cơ sở tại trạm đo.

Dựa trên trận lũ lịch sử lớn vào tháng 10 năm 1977 (Aldridge and Eychaner, 1984), người ta biết rằng tại vị trí này, lũ có khả năng đã được ước tính (hoặc ghi nhận) khi vượt quá khoảng 12.000 ft³/s. Bảng 10–24 chứa các ngưỡng nhận biết EMA cho từng năm thủy văn trong chuỗi số liệu, bao gồm cả giai đoạn lịch sử, tại trạm 09480000.

Bảng 10–23.

Trạm đo USGS số 09480000 trên sông Santa Cruz gần Lochiel, bang Arizona, khoảng lưu lượng theo thuật toán Expected Moments (EMA) cho giai đoạn hệ thống từ năm 1949 đến 2013. Bảng này ghi lại năm thủy văn của đỉnh lũ hàng năm và khoảng lưu lượng tương ứng, được xác định bởi giới hạn dưới \(Q_{Y,lower}\) và giới hạn trên \(Q_{Y,upper}\) cho mỗi năm thủy văn Y.
[– : không có số liệu hoặc không sẵn có]

Năm
thủy văn
\(Q_{Y,lower}\)\(Q_{Y,upper}\)Ghi chúNăm
thủy văn
\(Q_{Y,lower}\)\(Q_{Y,upper}\)Ghi chú
19491,6501,65019822,6402,640
19504,5204,52019831,1201,120
19512,5602,560198412,00012,000
19525505501985850850
19533,3203,32019864,2104,210
19541,5701,5701987291291
19554,3004,3001988804804
19561,3601,3601989871871
195768868819903,5103,510
195838038019911717
19592432431992483483
196062562519934,8804,880
19611,1201,1201994478478
19627.67.619952,0202,020
19632,3902,39019961,8601,860
19642,3302,33019972,9702,970
19654,8104,81019981,1101,110
19661,7801,78019994,8704,870
19671,8701,87020002,2402,240
196898698620011,0801,080
196948448420021.51.5
197088088020032222
19712,8302,8302004256256
19722,0702,07020057373
19731,4901,49020065,9405,940
19741,7301,73020073,0603,060
19753,3303,33020081,1801,180
19763,5403,54020091,5301,530
19771,1301,1302010392392
197812,00012,000Lũ lịch sử20119595
19791,0601,06020121212
19804064062013612612
19811,1101,110

Bảng 10–24.

Trạm đo USGS số 09480000 trên sông Santa Cruz gần Lochiel, bang Arizona, ngưỡng nhận biết theo thuật toán Expected Moments (EMA) cho giai đoạn lịch sử và giai đoạn hệ thống từ năm 1927 đến 2013. Bảng này ghi lại khoảng năm thủy văn mà mỗi ngưỡng nhận biết áp dụng, gồm: \(T_{Y,lower}\) – giới hạn dưới của ngưỡng nhận biết cho năm thủy văn Y; \(T_{Y,upper}\) – giới hạn trên của ngưỡng nhận biết cho năm thủy văn Y; và ghi chú mô tả ngưỡng này.

Năm
bắt đầu
Năm
kết thúc
Ngưỡng nhận
biết EMA
(\(T_{Y,lower}\))
Ngưỡng nhận
biết EMA
(\(T_{Y,upper}\))
Ghi chú
1927194812,000Vô cực (Infinity)Thông tin lịch sử
194920130Vô cực (Infinity)Chuỗi số liệu hệ thống liên tục

Kết quả từ phân tích tần suất lũ

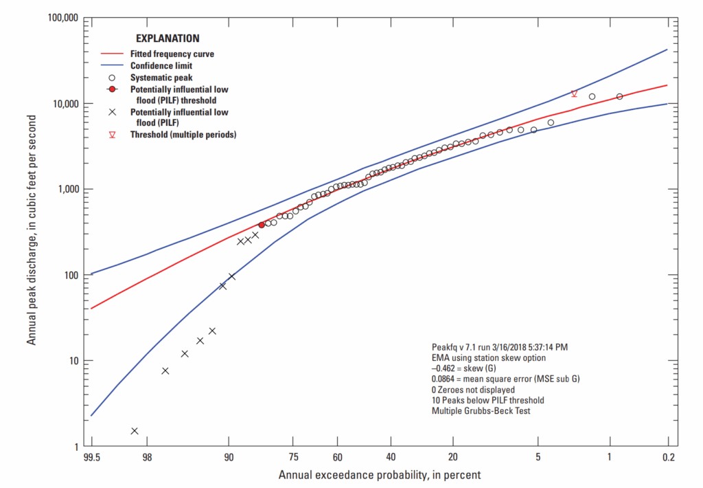
Phân tích tần suất lũ tại trạm USGS số 09480000 được thực hiện bằng cách sử dụng khoảng lưu lượng EMA và các ngưỡng nhận biết như thể hiện trong bảng 10–2310–24. Kết quả từ phân tích tần suất lũ tại chỗ (at-site) sử dụng EMA kết hợp với kiểm định Multiple Grubbs–Beck Test (MGBT) để sàng lọc các PILF được trình bày dưới đây. Lưu ý rằng không sử dụng station skew, do đó trọng tâm phân tích là dữ liệu tại chỗ. Đường cong tần suất phù hợp được thể hiện ở hình 10–13 với các giá trị ước lượng trong bảng 10–25.

Ba moment ước lượng cuối cùng lần lượt là:

  • Trung bình (mean): 3,0691
  • Độ lệch chuẩn (standard deviation): 0,4898
  • Độ lệch trạm (station skew): –0,462

Như thể hiện trong hình 10–13, có hai trận lũ vượt ngưỡng lịch sử (12.000 ft³/s): trận lũ tháng 10/1977 và trận lũ tháng 8/1984. Sử dụng MGBT, xác định được 10 PILF với ngưỡng bằng 380 ft³/s và mức ý nghĩa bằng 0,0228. Vì vậy, toàn bộ 10 giá trị đỉnh hàng năm nhỏ hơn 380 ft³/s được coi là bị chặn và được ghi nhận lại trong khung EMA với khoảng lưu lượng (\(Q_{Y,lower} = 0, Q_{Y,upper} = 380\)).

Ngưỡng MGBT này cũng có tác dụng điều chỉnh giới hạn dưới của ngưỡng nhận biết. Do đó, đối với giai đoạn hệ thống từ năm 1949 đến 2013, ngưỡng nhận biết là (\(T_{Y,lower} = 380, T_{Y,upper} = \infty)\). Đối với thông tin lịch sử, ngưỡng dưới là \(T_{Y,lower} = 12.000\) (bảng 10–24).

Như thể hiện trong hình 10–13, bằng cách kiểm duyệt 8 giá trị đỉnh nhỏ nhất trong chuỗi, các giá trị đỉnh còn lại của AEP nhất và các trận lũ lớn nhất đều khớp tốt với đường cong tần suất (đường màu đỏ).

Hình 10–13.

Biểu đồ thể hiện AEP cho trạm USGS số 09480000trên sông Santa Cruz gần Lochiel, bang Arizona, dựa trên phân tích tần suất lũ sử dụng thuật toán Expected Moments (EMA) kết hợp với kiểm định Multiple Grubbs–Beck Test (MGBT). Đường màu đỏ là đường cong tần suất dạng log-Pearson loại III được hiệu chỉnh; các đường màu xanh là giới hạn tin cậy trên và dưới; các vòng tròn màu đen là các đỉnh hệ thống; vòng tròn đỏ đặc có đường kẻ ngang qua là ngưỡng lũ nhỏ có khả năng ảnh hưởng (PILF) do MGBT xác định; các dấu “x” màu đen là các PILF do MGBT nhận diện; và tam giác màu đỏ với đường ngang thể hiện giới hạn dưới của ngưỡng nhận biết lịch sử (12.000 ft³/s).

7. Ví dụ về hồ sơ lũ cổ – Sông American tại Fair Oaks, California

Ví dụ này minh họa việc sử dụng thuật toán Expected Moments (EMA) cho một hồ sơ lịch sử có nhiều trận lũ lớn (mô tả trong phần Thông tin về lũ lịch sử – Historical Flood Information) và dữ liệu lũ cổ chi tiết (mô tả trong phần Thông tin về lũ cổ và thực vật học – Paleoflood and Botanical Information), sử dụng nhiều dữ liệu dạng khoảng và dữ liệu từ hồ chứa Folsom của Cục Khai hoang (Bureau of Reclamation, 2002).

Trong ví dụ này, trạm USGS 11446500 trên sông American tại Fair Oaks, California được sử dụng, kèm theo dữ liệu bổ sung từ hồ sơ lịch sử và lũ cổ, các báo cáo và điều tra của USACE, của Cục Khai hoang, và các nguồn lịch sử khác. Các trận lũ vào năm 1986 và 1997 trên sông American và khu vực trung tâm California đã làm gia tăng lo ngại về nguy cơ thủy lực tại đập Folsom. Một phần do những lo ngại này, hai ủy ban của Hội đồng Nghiên cứu Quốc gia (National Research Council, 1995, 1999) đã được thành lập để đánh giá nguy cơ lũ sông American. Các ủy ban này xem xét các vấn đề kiểm soát lũ và quản lý vùng ngập, tập trung vào việc ước tính lũ có AEP lớn hơn 0,005 (1/200), cụ thể là 1/100 (0,01). Đối với an toàn đập, mối quan tâm chính là các trận lũ có AEP rất nhỏ, thường nằm trong khoảng từ 0,001 đến 0,0001 (tương ứng với 1/1.000 đến 1/10.000).

Trong ví dụ này, các ước tính được thực hiện bằng cách sử dụng dữ liệu từ trạm đo, dữ liệu lịch sử và dữ liệu lũ cổ. Ví dụ này minh họa việc sử dụng một hồ sơ lũ cổ rất dài, với các trận lũ lớn vượt phạm vi đo của trạm, thông tin lịch sử, nhiều ngưỡng, và các quan sát nội suy. Đây chỉ là ví dụ minh họa và không nhằm mục đích sử dụng cho các quyết định quản lý vùng ngập dọc sông American.

Cục Khai hoang (Bureau of Reclamation, 2002) đã thực hiện một nghiên cứu tần suất lũ cổ để điều tra các vấn đề này. Mục tiêu chính của nghiên cứu là phát triển ước tính tần suất lưu lượng đỉnh của sông American tại đập Folsom trong khoảng xác suất hàng năm đã nêu. Thông tin tần suất lưu lượng đỉnh này sau đó được kết hợp với thủy đồ lịch sử để xây dựng các thủy đồ xác suất dựa trên thông tin lũ cổ.

Dữ liệu lũ cổ cho nghiên cứu của Bureau of Reclamation được thu thập từ thông tin địa mạo, địa tầng, và địa niên, tại bốn địa điểm trong lưu vực sông American:

  1. Nhánh Nam sông American gần Kyburz.
  2. Nhánh Nam sông American gần Lotus.
  3. Nhánh Bắc sông American tại cầu Ponderosa.
  4. Sông American hạ lưu gần Fair Oaks.

Hai loại dữ liệu lũ cổ chính được thu thập từ bốn địa điểm này để đánh giá nguy cơ lũ cho đập Folsom gồm:

  • Độ lớn và ước lượng tuổi của lũ cổ cho Nhánh Nam gần Kyburz và Lotus, và cho sông American hạ lưu.
  • Một giới hạn thủy văn cổ duy nhất cho Nhánh Bắc.

Thông tin địa tầng từ 14 địa điểm cung cấp bằng chứng về các trận lũ cuối Holocene được bảo tồn ở hoặc trên mức đỉnh của các trận lũ lớn nhất. Tuổi của các trận lũ cổ này được xác định dựa trên 38 mẫu tuổi carbon phóng xạ, các mối liên hệ khảo cổ đã công bố, và các ước lượng tuổi từ dữ liệu hydrat hóa obsidian.

Trong ví dụ này, dữ liệu lưu lượng đỉnh từ sông American tại Fair Oaks (trạm 11446500) được sử dụng và điều chỉnh dựa trên thông tin bổ sung từ các tài liệu của USGS, hồ sơ của Bureau of Reclamation, và các nguồn lịch sử khác. Do đó, chúng không trực tiếp tương ứng với các lưu lượng đỉnh trong cơ sở dữ liệu NWIS của USGS. Có 77 đỉnh được ghi nhận từ năm 1905 đến 1997, với một số năm thiếu số liệu hoặc lưu lượng thấp (1910, 1912–1913, 1918, 1929, 1977).

Ba trận lũ lịch sử lớn xảy ra vào các năm 1997, 1986 và 1862 được mô tả trong National Research Council (1999)Bureau of Reclamation (2002). Giai đoạn lũ cổ bao gồm 2.000 năm qua, từ năm 1 đến 1847; giai đoạn lịch sử bắt đầu từ 1848 và giai đoạn đo đạc tại trạm bắt đầu từ 1905. Các giá trị đỉnh hàng năm, các trận lũ lịch sử và lũ cổ được liệt kê trong bảng 10–26 và thể hiện trong hình 10–14. Các ngưỡng nhận biết được ước lượng dựa trên trận lũ tháng 3/1907, trận lũ tháng 1/1862 và các trận lũ cổ.

Biểu diễn EMA của dữ liệu lưu lượng đỉnh cho phân tích tần suất lũ

Như đã mô tả trong phần Biểu diễn dữ liệu sử dụng khoảng lưu lượng và ngưỡng nhận biết (Data Representation Using Flow Intervals and Perception Thresholds), khi sử dụng EMA, lưu lượng đỉnh hàng năm cho mỗi năm thủy văn trong giai đoạn lịch sử được mô tả bằng một khoảng lưu lượng (\(Q_{Y,lower}, Q_{Y,upper}\)) cho mỗi năm thủy văn Y.

Đối với các giá trị đỉnh mà lưu lượng đã biết và không bị chặn, khoảng lưu lượng có thể được mô tả là (\(Q_{Y,lower} = Q_Y, \; Q_{Y,upper} = Q_Y\)). Trong ví dụ này, các giá trị lưu lượng đã được biết cho tất cả các năm mà trạm đo hoạt động. Bảng 10–27 chứa các khoảng lưu lượng EMA cho từng năm thủy văn trong chuỗi số liệu của trạm 11446500. Giai đoạn lịch sử và giai đoạn lũ cổ được mô tả bằng các ngưỡng nhận biết.

Như đã mô tả trong phần Biểu diễn dữ liệu sử dụng khoảng lưu lượng và ngưỡng nhận biết, EMA phân biệt các đặc tính lấy mẫu bằng cách sử dụng các ngưỡng nhận biết ký hiệu (\(T_{Y,lower}, T_{Y,upper}\)) cho mỗi năm Y, phản ánh phạm vi lưu lượng sẽ được đo hoặc ghi nhận nếu chúng xảy ra. Các ngưỡng nhận biết mô tả phạm vi của các lưu lượng đỉnh tiềm năng có thể đo được và độc lập với các lưu lượng đỉnh thực tế đã xảy ra.

Giới hạn dưới, \(T_{Y,lower}\), đại diện cho lưu lượng đỉnh nhỏ nhất có thể gây ra một ghi nhận trong năm thủy văn Y. Đối với hầu hết các giá trị đỉnh tại các trạm đo, \(T_{Y,upper}\) thường được giả định là vô hạn, vì các trận lũ lớn hơn có thể vượt quá khả năng đo của trạm được xác định qua nghiên cứu các vết mốc cao và bằng chứng vật lý khác của trận lũ.

Đối với những giai đoạn có số liệu liên tục, bao quát toàn bộ phạm vi lưu lượng đỉnh, ngưỡng nhận biết được biểu diễn là (\(T_{Y,lower} = 0, \; T_{Y,upper} = \infty\)), trong đó \(T_{Y,lower} = 0\) là lưu lượng cơ sở tại trạm đo.

Dựa trên trận lũ lịch sử lớn vào tháng 3 năm 1907 (Bureau of Reclamation, 2002), người ta biết rằng tại vị trí này, lũ có khả năng đã được ước tính (hoặc ghi nhận) khi vượt quá khoảng 150.000 ft³/s. Bảng 10–28 chứa các ngưỡng nhận biết EMA cho từng năm thủy văn trong chuỗi số liệu, bao gồm cả giai đoạn lịch sử, tại trạm 11446500.

Bảng 10-26

Hình 10–14.

Biểu đồ thể hiện ước lượng lưu lượng đỉnh không điều tiết và lũ cổ, cùng với các ngưỡng xác suất vượt của lũ lịch sử và lũ cổ, tại sông American ở Fair Oaks. Trên biểu đồ có sử dụng ký hiệu ngắt tỷ lệ để tách dữ liệu của trạm đo khỏi chuỗi số liệu lũ cổ dài hơn nhiều.

Các khoảng lưu lượng cho các trận lũ lớn trong giai đoạn lũ cổ và giai đoạn lịch sử được thể hiện bằng các cột đứng màu đen có vạch ngang ở đầu, biểu thị giới hạn dưới và trên của ước lượng lưu lượng. Vùng tô xám thể hiện các trận lũ có lưu lượng không rõ, nhỏ hơn ngưỡng nhận biết của các giai đoạn lũ cổ (\(T_{h3,lower}\), \(T_{h2,lower}\)), giai đoạn lịch sử (\(T_{h1,lower}\)), và giai đoạn gián đoạn (\(T_{d,lower}\)).

Các khoảng ngưỡng nhận biết được biểu diễn bằng:

  • Đường màu cam cho giai đoạn lũ cổ.
  • Đường màu đỏ tươi (magenta) cho giai đoạn lịch sử.
  • Đường màu xanh dương cho giai đoạn hệ thống.
  • Đường màu xanh lá cho giai đoạn gián đoạn.

Giá trị trung bình của dữ liệu tuổi ngưỡng lũ cổ được thể hiện để đơn giản hóa.

Bảng 10–27.

Trạm 11446500 trên sông American tại Fair Oaks, thuật toán Expected Moments (EMA) – các khoảng lưu lượng cho giai đoạn lịch sử và giai đoạn hệ thống từ năm 650 đến năm 1997. Các đường ngang trong bảng biểu thị những năm bị gián đoạn số liệu.

[– : không có số liệu hoặc không sẵn có]

Bảng 10–28.

Trạm 11446500 trên sông American tại Fair Oaks, các ngưỡng nhận biết EMA cho giai đoạn lũ cổ, lịch sử và hệ thống từ năm 1 đến năm 2000. Bảng này ghi lại khoảng năm thủy văn mà mỗi ngưỡng nhận biết áp dụng, gồm: \(T_{Y,lower}\) – giới hạn dưới của ngưỡng nhận biết cho năm thủy văn Y; \(T_{Y,upper}\) – giới hạn trên của ngưỡng nhận biết cho năm thủy văn Y; và ghi chú mô tả ngưỡng này.

Năm
bắt đầu
Năm
kết thúc
Ngưỡng nhận
biết EMA
\(T_{Y,lower}\)
Ngưỡng nhận
biết EMA
\(T_{Y,upper}\)
Ghi chú
11301599,000Vô cựcLower Rossmoor terrace 1
13021847399,000Vô cựcLower Rossmoor terrace 2
18481904261,000Vô cựcNgưỡng lịch sử năm 1862
190519090Vô cựcHồ sơ trạm đo
19101910150,000Vô cựcLũ nhỏ và thiếu số liệu tháng 3/1907
191119110Vô cựcHồ sơ trạm đo
19121913150,000Vô cựcLũ nhỏ và thiếu số liệu tháng 3/1907
191419170Vô cựcHồ sơ trạm đo
19181918150,000Vô cựcLũ nhỏ và thiếu số liệu tháng 3/1907
191919280Vô cựcHồ sơ trạm đo
19291929150,000Vô cựcLũ nhỏ và thiếu số liệu tháng 3/1907
193019760Vô cựcHồ sơ trạm đo
19771977150,000Vô cựcLũ nhỏ và thiếu số liệu tháng 3/1907
197819860Vô cựcHồ sơ trạm đo
19871996150,000Vô cựcLũ nhỏ và thiếu số liệu tháng 3/1907
199719970Vô cựcHồ sơ trạm đo
19982000150,000Vô cựcLũ nhỏ và thiếu số liệu tháng 3/1907

Kết quả từ phân tích tần suất lũ

Phân tích tần suất lũ tại trạm 11446500 của USGS được thực hiện bằng cách sử dụng các khoảng lưu lượng EMA và các ngưỡng nhận biết như thể hiện trong bảng 10–2710–28. Kết quả từ phân tích tần suất lũ tại chỗ (at-site) sử dụng EMA kết hợp với kiểm định Multiple Grubbs–Beck Test (MGBT) để sàng lọc các trận lũ nhỏ có khả năng ảnh hưởng (Potentially Influential Low Floods – PILFs) được trình bày dưới đây.

Lưu ý rằng station skew đã được sử dụng, cho phép tập trung vào dữ liệu tại chỗ. Đường cong tần suất phù hợp được thể hiện ở hình 10–15, với các giá trị ước lượng được trình bày trong bảng 10–30.

Ước lượng lưu lượng đỉnh cho các trận lũ khoảng (interval floods) được thể hiện trên hình, kèm theo độ không chắc chắn ước tính. Xác suất xảy ra lưu lượng đỉnh được tính bằng Cunnane plotting positions kết hợp với công thức xác suất vượt ngưỡng có tính đến dữ liệu lũ cổ.

Kết quả cho thấy mô hình LP-III (Log-Pearson Type III) cung cấp mức độ phù hợp tốt đối với cả dữ liệu từ trạm đo và dữ liệu lũ cổ.

Bảng 10–30.

Các phân vị lưu lượng đỉnh cho trạm 11446500 trên sông American tại Fair Oaks, dựa trên phân tích tần suất lũ sử dụng thuật toán Expected Moments (EMA) kết hợp với kiểm định Multiple Grubbs–Beck Test; phương sai của ước lượng được thể hiện trong không gian log.

[%: phần trăm; ft³/s: feet khối trên giây]

AEPƯớc lượng
EMA
(ft³/s)
Phương sai
của ước lượng
Giới hạn tin cậy
dưới 2,5%
(ft³/s)
Giới hạn tin cậy
trên 97,5%
(ft³/s)
0,50045,7000.00189038,60053,700
0,20093,8000.00173079,800109,600
0,100135,5000.001590115,800157,000
0,040199,4000.001460170,700228,300
0,020255,0000.001450217,500291,100
0,010317,5000.001570268,800364,500
0,005387,3000.001830324,600451,400
0,002491,6000.002440404,700590,000
0,001580,2000.003110469,300720,800
0,0001941,2000.006810702,8001,325,300

Hình 10–15.

Biểu đồ thể hiện xấp xỉ đường cong tần suất lưu lượng đỉnh không điều tiết của sông American tại Fair Oaks, bao gồm dữ liệu trạm đo, dữ liệu lịch sử và dữ liệu lũ cổ. Đường màu đỏ là đường cong tần suất log-Pearson loại III được hiệu chỉnh; các đường màu xanh là giới hạn tin cậy trên và dưới.

Các ước lượng lưu lượng đỉnh từ trạm đo được thể hiện bằng các vòng tròn rỗng; các cột đứng thể hiện độ không chắc chắn của dữ liệu ước lượng đối với một số trận lũ lớn nhất. Các giới hạn không vượt của lũ cổ được thể hiện bằng các khối màu xám.