- 1.1 Mục tiêu nghiên cứu
- 1.2 Các phương pháp thiết kế
- 1.3 Thiết kế theo hệ số tải trọng và hệ số sức kháng
- 1.4 Định dạng để phát triển hệ số thiết kế
- 1.5 Sức chịu tải của móng nông
- 1.6 Một cách tiếp cận và phương pháp phân tích thay thế cho thiết kế theo trạng thái giới hạn của móng nông
- 1.7 Sức chịu tải của móng nông trên đá
- 1.8 Phân loại và tính chất của đá
Tóm tắt
Dự án NCHRP 24-31, “LRFD Design Specifications for Shallow Foundations” được khởi xướng với mục tiêu “xây dựng các sửa đổi khuyến nghị cho Mục 10 của AASHTO LRFD Bridge Design Specifications đối với thiết kế móng nông theo trạng thái giới hạn cường độ.” Các quy định của AASHTO từ lâu đã được áp dụng trên tất cả các dự án có hỗ trợ liên bang và thường được xem là bộ tiêu chuẩn quốc gia cho thực hành đường bộ của Hoa Kỳ; vì vậy, chúng ảnh hưởng đến việc xây dựng tất cả các móng của cầu đường bộ trên khắp nước Mỹ. Báo cáo này trình bày kết quả của các nghiên cứu và phân tích được thực hiện trong khuôn khổ Dự án NCHRP 24-31.
Các tiêu chuẩn AASHTO hiện hành, cũng như các tiêu chuẩn khác áp dụng nguyên lý thiết kế theo độ tin cậy (reliability-based design, RBD), đã được hiệu chuẩn bằng cách kết hợp lý thuyết độ tin cậy, khớp với thiết kế theo ứng suất cho phép (allowable stress design, ASD) (còn gọi là thiết kế theo ứng suất làm việc (working stress design, WSD)), và phán đoán kỹ thuật. Vì vậy, những thách thức chính của dự án này là biên soạn các cơ sở dữ liệu lớn, có chất lượng cao, về các móng đã được thí nghiệm đến trạng thái phá hoại, đồng thời phát triển một quy trình và khung quản lý dữ liệu cho phép đánh giá các tham số thiết kế theo hệ số tải trọng và sức kháng (Load and Resistance Factor Design, LRFD) đối với trạng thái giới hạn cường độ của móng nông. Nghiên cứu được trình bày trong báo cáo này là nghiên cứu đầu tiên đưa ra việc hiệu chuẩn RBD quy mô lớn cho móng nông.
(RBD là gì?)
RBD là viết tắt của Reliability-Based Design, dịch là thiết kế dựa trên độ tin cậy.
Ý chính của RBD là:
- không chỉ dùng một hệ số an toàn cố định,
- mà xem xét mức độ không chắc chắn của tải trọng, sức kháng, thông số đất, sai số mô hình, thi công…
- rồi chọn hệ số thiết kế sao cho công trình đạt mức độ an toàn mục tiêu.
Trong nền móng, RBD thường dùng để:
- hiệu chỉnh hệ số tải trọng
- hiệu chỉnh hệ số sức kháng
- liên hệ giữa cách thiết kế cũ như ASD/WSD và cách thiết kế mới như LRFD
Hiểu đơn giản:
- ASD/WSD: dùng ứng suất cho phép + hệ số an toàn
- LRFD: dùng tải trọng có hệ số và sức kháng có hệ số
- RBD: là cơ sở xác suất/độ tin cậy đứng phía sau để chọn các hệ số đó
Nói gọn:
RBD là phương pháp thiết kế dùng xác suất và độ không chắc chắn để bảo đảm công trình đạt mức an toàn mong muốn.
Trong tài liệu bạn đang đọc, họ nói nghiên cứu này đã dùng RBD để hiệu chỉnh các tham số LRFD cho móng nông.
(RBD khác LRFD thế nào?)
1. RBD là “tư tưởng nền”: RBD (Reliability-Based Design) = thiết kế dựa trên độ tin cậy / xác suất an toàn.
Nó hỏi kiểu:
- tải trọng có thể tăng bao nhiêu?
- sức kháng đất có thể giảm bao nhiêu?
- sai số thí nghiệm, mô hình, thi công lớn đến mức nào?
- với các bất định đó, xác suất hỏng có chấp nhận được không?
Tức là RBD không phải chủ yếu là một công thức thiết kế hằng ngày, mà là cơ sở để xây dựng hệ số thiết kế.
2. LRFD là “dạng áp dụng thực hành”: LRFD (Load and Resistance Factor Design) = thiết kế theo hệ số tải trọng và hệ số sức kháng.
Dạng kiểm toán quen thuộc là: \(\sum \eta_i \gamma_i Q_i \le \phi R_n\)
trong đó: \((Q_i\): tải trọng danh định; \(\gamma_i\): hệ số tải trọng; \(R_n\): sức kháng danh định;\(\phi\): hệ số sức kháng
Đây là thứ kỹ sư dùng trực tiếp để thiết kế.
3. Quan hệ giữa RBD và LRFD
Quan hệ đúng nhất là:
- RBD dùng để hiệu chỉnh / lựa chọn các hệ số
- LRFD là bộ khung thiết kế dùng các hệ số đó
Nói dễ hiểu:
- RBD = “lý do vì sao chọn hệ số như vậy”
- LRFD = “cách đưa các hệ số đó vào tính toán thiết kế”
4. Ví dụ rất dễ hiểu với móng nông
Giả sử bạn có móng nông chịu: tải đứng danh định: (1000) kN; sức kháng danh định của nền đất: (1500) kN
Cách nghĩ kiểu cũ, chỉ nhìn thấy: tải 1000, sức kháng 1500 → thấy có vẻ an toàn
Nhưng thực tế: tải có thể tăng vì xe, xung lực, sai số tổ hợp tải; sức kháng có thể giảm vì đất không đồng nhất, SPT/CPT sai số, mô hình tính sai, thi công khác giả thiết.
Cách nghĩ của RBD
RBD sẽ xét các bất định đó và hỏi: cần chọn hệ số bao nhiêu để xác suất hỏng đủ nhỏ?
Ví dụ sau khi hiệu chỉnh theo RBD, người ta chọn: hệ số tải trọng: 1.25; hệ số sức kháng: 0.45
Lúc đó LRFD sẽ kiểm toán:
\(1.25 \times 1000 \le 0.45 \times 1500\)
\(1250 \le 675\)
→ không đạt
Tức là dù nhìn danh định có vẻ ổn, nhưng khi xét bất định theo tinh thần độ tin cậy thì móng chưa đủ an toàn.
Muốn đạt, bạn phải:
- tăng bề rộng móng
- chôn sâu hơn
- cải thiện nền
- hoặc giảm tải
5. Vì sao không dùng luôn RBD trực tiếp mỗi lần thiết kế?
Vì nếu làm RBD đầy đủ cho từng móng, bạn phải có:
- phân bố xác suất của tải trọng
- phân bố xác suất của sức kháng đất
- sai số mô hình
- mức độ biến thiên của số liệu khảo sát
- chỉ số độ tin cậy mục tiêu (\beta)
Việc đó rất phức tạp.
Nên trong thực hành:
- giới nghiên cứu dùng RBD để hiệu chỉnh hệ số
- kỹ sư thiết kế dùng LRFD với các hệ số đã được ban hành
6. So sánh ngắn gọn
RBD
- dựa trên xác suất và bất định
- dùng để hiệu chỉnh mức an toàn
- là nền tảng lý thuyết
LRFD
- dùng hệ số tải và sức kháng
- áp dụng trực tiếp trong thiết kế
- là dạng thực hành của tư tưởng độ tin cậy
7. Một câu chốt dễ nhớ
RBD là nền tảng xác suất phía sau; LRFD là công cụ thiết kế phía trước.
Trình độ hiện tại của lĩnh vực này (state of the art) được xem xét thông qua một tổng quan tài liệu có tính phê bình về các phương pháp thiết kế cũng như các nguyên lý RBD và LRFD. Hiện trạng thực hành (state of the practice) được xác lập thông qua một bảng câu hỏi, được gửi đến và thu thập từ các quan chức giao thông cấp bang và liên bang, đồng thời được bổ sung bằng các cuộc phỏng vấn qua điện thoại. Kết quả cho thấy việc sử dụng móng nông trong xây dựng cầu trên toàn nước Mỹ vào khoảng 17%, và so sánh với các bảng câu hỏi trước đây cho thấy tỷ lệ này không thay đổi. Tuy nhiên, mức độ sử dụng thay đổi rất lớn giữa các vùng và các bang trong cả nước: từ khoảng hai phần ba số móng cầu ở Pennsylvania, Tennessee và Connecticut đến sáu bang hoàn toàn không sử dụng móng nông. Khoảng ba phần tư số móng nông được báo cáo là xây dựng trên đá hoặc Địa vật liệu trung gian (Intermediate Geomaterial, IGM), còn phần còn lại chủ yếu được xây dựng trên vật liệu hạt. Nghiên cứu được trình bày ở đây tập trung vào phân tích và hiệu chuẩn RBD chỉ đối với móng đặt trên đất hạt và trên đá.
Các cơ sở dữ liệu lớn đã được tập hợp, bao gồm 549 thí nghiệm tải liên quan đến ứng xử của móng nông trên/trong vật liệu hạt (trong đó 269 trường hợp được sử dụng trong hiệu chuẩn), và 122 trường hợp cho móng trên/trong đá (trong đó 119 trường hợp được sử dụng trong hiệu chuẩn). Cơ sở dữ liệu về ứng xử của móng nông trên đất bao gồm thí nghiệm trên mô hình và trên móng lớn dưới các điều kiện tải đứng, lệch tâm và nghiêng, cũng như các tổ hợp của các điều kiện đó. Cơ sở dữ liệu về ứng xử của móng nông trên đá bao gồm ứng xử của các mô hình và móng nông lớn, cũng như phần mũi của các hốc đá (rock sockets), đối với đó có thể xác định riêng biệt quan hệ tải trọng–chuyển vị. Các tiêu chí phá hoại đã được xác định và xem xét để thiết lập trạng thái giới hạn cuối cùng của các móng đã được thí nghiệm. Việc áp dụng các phương pháp này cho các trường hợp nghiên cứu đã cung cấp sức kháng đo được của từng thí nghiệm tải.
Các phương pháp tính sức chịu tải đã được thiết lập để phân tích trạng thái giới hạn cuối cùng của móng nông. Đối với đất, phương trình sức chịu tải tổng quát được sử dụng cùng với các tham số sức chịu tải của Prandtl \((N_c)\), Reissner \((N_q)\) và Vesić \((N_\gamma)\); các hệ số hiệu chỉnh hình dạng và hệ số hiệu chỉnh tải nghiêng theo Vesić (1975); và các hệ số hiệu chỉnh độ sâu theo Brinch-Hansen (1970). Các phương pháp của Goodman (1989) và Carter và Kulhawy (1988) được sử dụng để đánh giá sức chịu tải của móng đặt trong/trên đá.
Độ phù hợp của các phương pháp tính sức chịu tải được xác lập thông qua độ chệch (bias), được định nghĩa là tỷ số giữa sức kháng đo được và sức kháng tính toán. Các tham số thống kê của độ chệch, biểu diễn qua giá trị trung bình và hệ số biến thiên, được sử dụng để hiệu chuẩn các phân tích cho một ứng dụng thiết kế cụ thể, từ đó xây dựng hệ số sức kháng tương ứng. Việc áp dụng các thống kê này vào quá trình hiệu chuẩn là một thách thức, vì các yếu tố chi phối độ chính xác của các phương pháp thiết kế không phải lúc nào cũng dễ nhận diện.
Độ phù hợp của phương trình sức chịu tải tổng quát đối với vật liệu hạt phụ thuộc rất mạnh vào hệ số sức chịu tải \(N_\gamma\), mà bản thân hệ số này lại nhạy với độ lớn của góc ma sát trong của đất. Độ chệch của phương pháp thiết kế được nhận thấy là bám khá sát độ chệch của \(N_\gamma\), và độ chệch này tăng khi góc ma sát trong tăng lên. Tương tự, độ chệch của phương pháp Carter và Kulhawy (1988) được thấy là phụ thuộc vào chất lượng đá, tăng lên khi chất lượng đá (đo bằng RMR) giảm xuống. Vì vậy, trong cả hai trường hợp, đều cần có các hiệu chuẩn gắn với các yếu tố chi phối này.
Các tham số thống kê của tải trọng ngang không sẵn có hoặc không được xác định rõ trong các tiêu chuẩn AASHTO. Do đó, một nghiên cứu riêng đã được thực hiện để xây dựng các tham số này. Việc xem xét các số liệu thống kê về tải trọng tĩnh ngang và tải trọng động ngang đã giúp đề xuất các phân bố tải trọng ngang được sử dụng trong quá trình hiệu chuẩn. Các tham số này được dùng để xây dựng hệ số sức kháng cho bài toán phân tích trượt của móng.
Cơ chế tương tác tại mặt tiếp xúc đất–kết cấu được xác định dựa trên các kết quả nghiên cứu cơ bản và được sử dụng để thiết lập một khung phân tích. Dữ liệu từ các thí nghiệm móng liên quan đến hai phương pháp thi công, tức là bê tông đổ trực tiếp trên đất và cấu kiện chế tạo sẵn, đã cho phép xây dựng và hiệu chuẩn các sức kháng tương ứng với hai điều kiện phổ biến này. Dựa trên mức độ bất định đã được xác lập cho các phương pháp thiết kế và tải trọng, mô phỏng Monte Carlo (MC) được sử dụng để xác định hệ số sức kháng ứng với một chỉ số độ tin cậy cho trước. Các hệ số sức kháng cũng được đánh giá bằng nghiệm khép kín đơn giản hóa phát triển trên cơ sở nguyên lý FOSM (First Order Second Moment). Các kết quả cho thấy phương pháp đơn giản hóa này cho các hệ số sức kháng bảo thủ, tương tự với các giá trị thu được từ mô phỏng MC, do đó đủ thích hợp để xây dựng các tham số cho thực hành địa phương.
Các hệ số sức kháng được khuyến nghị được xây dựng một cách hợp lý dựa trên mức độ phù hợp đã được lượng hóa của các phương pháp thiết kế và tuân theo các tham số chi phối chúng. Những tham số này thể hiện một sự thay đổi đáng kể so với các tiêu chuẩn hiện hành, và được tóm tắt ngắn gọn như sau:
- Sức chịu tải của móng nông trên đất hạt được hiệu chuẩn theo điều kiện hình thành nền đất (tự nhiên hay được kiểm soát) và theo độ lớn của góc ma sát trong.
- Tất cả các điều kiện tải trọng, gồm tải đứng đúng tâm, lệch tâm, nghiêng đúng tâm và nghiêng lệch tâm, đều được hiệu chuẩn.
- Độ tin cậy của sức kháng ma sát chống trượt được lượng hóa và hiệu chuẩn.
- Các phương pháp tính sức chịu tải riêng cho móng nông trên đá được xác định, lượng hóa và hiệu chuẩn.
Việc áp dụng các kết quả nghiên cứu này được kỳ vọng sẽ mang lại thiết kế móng nông an toàn, với mức độ tin cậy nhất quán giữa các phương pháp thiết kế khác nhau, đồng thời phù hợp với các khuyến nghị trong NCHRP Report 507 đối với thiết kế móng sâu. Việc áp dụng các kết quả này vào thiết kế móng nông cần được thực hiện trong bối cảnh thiết kế tổng thể, tức là xét đến tất cả các trạng thái giới hạn, trong khi nghiên cứu được trình bày ở đây chỉ đề cập đến trạng thái giới hạn cuối cùng.
1.1 Mục tiêu nghiên cứu
Dự án NCHRP 24-31, “LRFD Design Specifications for Shallow Foundations”, được khởi xướng với mục tiêu “xây dựng các sửa đổi khuyến nghị cho Mục 10 của AASHTO LRFD Bridge Design Specifications đối với thiết kế móng nông theo trạng thái giới hạn cường độ.” Các tiêu chuẩn AASHTO hiện hành, cũng như các tiêu chuẩn khác áp dụng nguyên lý thiết kế theo độ tin cậy (RBD), đã được hiệu chuẩn bằng cách kết hợp lý thuyết độ tin cậy, khớp với thiết kế theo ứng suất cho phép (ASD) (còn gọi là thiết kế theo ứng suất làm việc (WSD)), và phán đoán kỹ thuật. Do đó, những thách thức chính của dự án là việc xây dựng các cơ sở dữ liệu lớn, chất lượng cao và phát triển một khuôn khổ quản lý dữ liệu cũng như quy trình, cho phép đánh giá các tham số của thiết kế theo hệ số tải trọng và sức kháng (LRFD) và cập nhật về sau. Để đáp ứng những thách thức này, cần đạt được các mục tiêu cụ thể sau:
- Xác lập hiện trạng thực hành trong thiết kế và thi công móng nông cho cầu.
- Xác định các trạng thái giới hạn cuối cùng (ULS) đối với móng nông dưới tác dụng của tải trọng riêng lẻ và tải trọng tổ hợp trong các điều kiện tải trọng cầu dự kiến.
- Xây dựng các cơ sở dữ liệu về ứng xử của móng nông dưới các điều kiện tải trọng đứng, tải trọng ngang và mô men.
- Thiết lập các phương pháp dự báo cho các trạng thái giới hạn khác nhau và đánh giá mức độ bất định của chúng thông qua cơ sở dữ liệu, phân tích mô hình, nghiên cứu tham số, và phương pháp xác suất khi cần thiết.
- Xây dựng một quy trình hiệu chuẩn hệ số sức kháng cho các trạng thái giới hạn cuối cùng đã được xác định.
- Xác lập các hệ số và quy trình.
- Sửa đổi các quy định kỹ thuật của AASHTO dựa trên các kết quả nêu trên.
1.2 Các phương pháp thiết kế
1.2.1 Thiết kế theo ứng suất làm việc
Phương pháp WSD (Working Stress Design), còn được gọi là ASD (Allowable Stress Design), đã được sử dụng trong kỹ thuật dân dụng từ đầu những năm 1800. Theo WSD, tải trọng thiết kế (Q), bao gồm các lực thực tế được ước tính tác dụng lên kết cấu (hoặc lên một bộ phận cụ thể của kết cấu), được so sánh với sức kháng danh định, hay cường độ danh định \(R_n\), thông qua hệ số an toàn \((FS)\):
\[Q \leq Q_{all}=\dfrac{R_n}{FS}=\dfrac{Q_{ult}}{FS}\tag{1}\]
trong đó:
\(\qquad Q =\) tải trọng thiết kế,
\(\qquad Q_{all} = \) tải trọng thiết kế cho phép,
\(\qquad R_n = \) sức kháng danh định của cấu kiện hoặc của kết cấu,
\(\qquad Q_{ult} =\) sức kháng địa kỹ thuật cực hạn của móng.
Standard Specifications for Highway Bridges của AASHTO (1997), dựa trên thực hành thông dụng, trình bày các hệ số an toàn truyền thống được sử dụng cùng với các mức độ kiểm soát khác nhau trong phân tích và thi công. Mặc dù kinh nghiệm kỹ thuật trong thời gian dài đã dẫn đến các hệ số an toàn được xem là thích hợp, nhưng nguồn gốc, độ tin cậy và mức độ thể hiện của chúng phần lớn vẫn chưa được biết rõ. Các hệ số an toàn không nhất thiết xét đến độ chệch (bias), đặc biệt là tính bảo thủ (tức là xu hướng đánh giá thấp) trong dự báo của các phương pháp phân tích; vì vậy, tính hợp lý của ảnh hưởng giả định của chúng đối với hiệu quả kinh tế của thiết kế vẫn còn có thể bị nghi ngờ.
1.2.2 Thiết kế theo trạng thái giới hạn
Nhu cầu về thiết kế kinh tế hơn và các nỗ lực nhằm nâng cao an toàn kết cấu đã dẫn đến việc xem xét lại toàn bộ quá trình thiết kế trong suốt 50 năm qua. Thiết kế của một kết cấu cần bảo đảm rằng, trong khi vẫn khả thi về mặt kinh tế, nó sẽ phù hợp với mục đích sử dụng dự kiến trong suốt thời gian làm việc của mình.
Trạng thái giới hạn (LS) là một trạng thái mà vượt quá đó, kết cấu (trong trường hợp liên quan ở đây là cầu), hoặc một bộ phận của kết cấu, không còn đáp ứng được theo một cách nào đó mục đích sử dụng mà nó được thiết kế để thực hiện. Thiết kế theo trạng thái giới hạn (LSD) ra đời để đáp ứng các yêu cầu về an toàn, khả năng sử dụng và kinh tế. Vì vậy, LSD thường đề cập đến hai loại trạng thái giới hạn:
- ULS (ultimate limit state): liên quan đến cường độ (khả năng chịu tải lớn nhất) của kết cấu;
- SLS (serviceability limit state): liên quan đến khả năng sử dụng và các yêu cầu phục vụ của kết cấu nhằm bảo đảm làm việc thỏa đáng trong các điều kiện dự kiến (ví dụ dưới tải trọng làm việc bình thường hoặc các sự kiện cực hạn như va chạm, động đất, v.v.).
Thiết kế theo ULS của một kết cấu và các bộ phận của nó (ví dụ cột hoặc móng nông) phụ thuộc vào việc dự báo tải trọng và khả năng chống lại các tải trọng đó của bộ phận kết cấu (tức là sức kháng). Cả tải trọng và sức kháng đều có nhiều nguồn và mức độ bất định khác nhau. Trong lịch sử, thiết kế kỹ thuật đã bù trừ cho các bất định này bằng kinh nghiệm và phán đoán chủ quan. Cách tiếp cận mới được phát triển nhằm lượng hóa các bất định này và đạt được các thiết kế hợp lý hơn với mức độ tin cậy nhất quán. Các bất định này có thể được lượng hóa bằng các phương pháp dựa trên xác suất, chẳng hạn theo định dạng LRFD, cho phép tách riêng bất định trong tải trọng với bất định trong sức kháng, đồng thời sử dụng các quy trình của lý thuyết xác suất để bảo đảm một mức dự trữ an toàn quy định trước.
Các nguyên lý tương tự dùng trong LRFD cho ULS cũng có thể áp dụng cho SLS, bằng cách thay sức kháng chịu lực của cấu kiện bằng một giới hạn khả năng sử dụng, chẳng hạn như chuyển vị được lượng hóa, vết nứt, độ võng hoặc rung động. Vì phá hoại theo SLS sẽ không dẫn đến sụp đổ, nên mức dự trữ an toàn quy định có thể nhỏ hơn, tức là SLS có thể chấp nhận xác suất “phá hoại” cao hơn (nghĩa là vượt quá tiêu chí giới hạn) so với ULS.
1.2.3 Quan điểm địa kỹ thuật và quan điểm của AASHTO
Các phương pháp LSD và LRFD đang dần trở thành các phương pháp tiêu chuẩn trong các quy chuẩn thiết kế địa kỹ thuật hiện đại. Tại châu Âu (CEN, 2004; DIN EN 1997-1, 2008 kể cả Phụ lục quốc gia; 1 draft 2009), Canada (Becker, 2003), Trung Quốc (Zhang, 2003), Nhật Bản (Honjo và cộng sự, 2000; Okahara và cộng sự, 2003), Hoa Kỳ (Kulhawy và Phoon, 2002; Withiam, 2003; Paikowsky và cộng sự, 2004), và ở nhiều nơi khác, các quy chuẩn thiết kế địa kỹ thuật chủ yếu đang chuyển từ ASD (hoặc WSD) sang LSD và LRFD.
Một biến thể của LRFD lần đầu được AASHTO áp dụng cho thiết kế một số loại kết cấu phần trên cầu vào năm 1977 theo một quy trình thiết kế gọi là Load Factor Design (LFD). AASHTO LRFD Bridge Design Specifications được công bố năm 1994 dựa trên NCHRP Project 12-33. Trong giai đoạn từ 1994 đến 2006, các quy định AASHTO LRFD áp dụng cho lĩnh vực địa kỹ thuật đã sử dụng các kết quả nghiên cứu của Barker và cộng sự (1991). Bộ quy định này phần lớn dựa trên việc chuyển đổi từ WSD sang LRFD và chỉ đề cập một cách hạn chế đến SLS.
Kể từ đó, nhiều nỗ lực liên tục đã được thực hiện để cải thiện cơ sở khoa học làm nền cho việc xây dựng các quy định này, bao gồm NCHRP Project 20-7 (Task 88), NCHRP Projects 12-35 và 12-55 về áp lực đất và tường chắn, NCHRP Project 12-24 về soil nailing, và NCHRP Project 24-17, là dự án đã lần đầu tiên hiệu chuẩn các tham số LRFD cho móng sâu dựa trên các cơ sở dữ liệu lớn về thí nghiệm móng sâu (Paikowsky và cộng sự, 2004).
NCHRP Project 12-66 giải quyết các yêu cầu của SLS trong thiết kế móng cầu. Cách tiếp cận của dự án này đòi hỏi phải phát triển các tiêu chí khả năng sử dụng cho cầu dựa trên ứng xử của móng, xác định các phương pháp đánh giá chuyển vị của móng và thiết lập mức độ bất định của chúng, đồng thời hiệu chuẩn các hệ số sức kháng được gán cho việc sử dụng các phương pháp này dựa trên SLS đã xác lập và mức độ tin cậy mục tiêu. Nền tảng của nghiên cứu này là việc xây dựng các cơ sở dữ liệu để xác lập mức độ bất định của các phương pháp dùng để đánh giá chuyển vị ngang và chuyển vị đứng của móng.
Trong số nhiều nghiên cứu của AASHTO liên quan đến việc hiệu chuẩn và triển khai LRFD, vẫn còn một thành phần quan trọng chưa được giải quyết đầy đủ, đó là trạng thái giới hạn cuối cùng (ULS) của móng nông. Vấn đề này gây khó khăn vì ULS dưới tác dụng của tải trọng tổ hợp không dễ xác định, và các quy định hiện hành (AASHTO, 2008), mặc dù có đưa ra cách xác định lý thuyết về sức chịu tải của đất (Mục 10.6.3.3.1), lại có quy định cụ thể loại trừ các hệ số tải trọng nghiêng (C10.6.3.1.2a), đồng thời lưu ý rằng các hệ số sức kháng được quy định là có phạm vi hạn chế, thay đổi cho mọi điều kiện trong khoảng từ \(\phi = 0.45\) đến \(\phi = 0.50\).
Việc tổ hợp các tải trọng tác dụng lên móng trong khuôn khổ ULS là khá phức tạp và cần được giải quyết một cách có hệ thống, либо thông qua quy trình tính sức kháng danh định hiện có với các giới hạn an toàn và hệ số sức kháng thích hợp, và/hoặc thông qua một phương pháp mới áp dụng trực tiếp để đánh giá ULS dưới các tổ hợp tải trọng xét đến. Vấn đề này được bàn luận thêm trong Mục 1.6.
1.3 Thiết kế theo hệ số tải trọng và hệ số sức kháng
1.3.1 Nguyên lý
Mục đích của LRFD là tách riêng các bất định trong tải trọng khỏi các bất định trong sức kháng, rồi sử dụng các quy trình của lý thuyết xác suất để bảo đảm một mức dự trữ an toàn quy định trước. Mục 1.3 và 1.4 trình bày các nguyên lý của phương pháp này và giới thiệu các kỹ thuật thường dùng để triển khai.
Hình 1 cho thấy các hàm mật độ xác suất (PDF) của hiệu ứng tải (Q) và sức kháng (R). “Hiệu ứng tải” là tải trọng được tính toán để tác dụng lên một cấu kiện cụ thể (ví dụ, một móng nông cụ thể), còn sức kháng là khả năng chịu tải của nó. Trong các bài toán địa kỹ thuật, tải trọng thường được biết rõ hơn sức kháng; do đó, (Q) thường có độ biến thiên nhỏ hơn (R), tức là có hệ số biến thiên (COV) nhỏ hơn, và vì vậy có PDF hẹp hơn.

của hiệu ứng tải và sức kháng.
Trong LRFD, các hệ số an toàn riêng phần được áp dụng tách biệt cho hiệu ứng tải và sức kháng. Hiệu ứng tải được tăng lên bằng cách nhân các giá trị đặc trưng (hoặc danh định) với hệ số tải trọng \((\gamma)\); còn sức kháng (cường độ) được giảm đi bằng cách nhân các giá trị danh định với hệ số sức kháng \((\phi)\). Theo cách tiếp cận này, sức kháng có hệ số (tức là sức kháng đã giảm) của một cấu kiện phải lớn hơn tổ hợp tuyến tính của các hiệu ứng tải có hệ số (tức là các tải trọng đã tăng).
Các giá trị danh định (ví dụ sức kháng danh định \(R_n\) và tải trọng danh định \(Q_n\)) là các giá trị được tính theo phương pháp thiết kế đã hiệu chuẩn và theo điều kiện tải trọng tương ứng, và không nhất thiết là giá trị trung bình (tức là tải trọng trung bình \(m_Q\), hoặc sức kháng trung bình \(m_R\) trong Hình 1). Ví dụ, \(R_n\) là giá trị dự báo cho một móng cụ thể đang được phân tích, thu được bằng cách dùng công thức tính sức chịu tải của Vesić, trong khi \(m_R\) là giá trị trung bình của các dự báo có thể có cho móng đó khi xét đến các bất định khác nhau gắn với phép tính ấy.
Nguyên lý này đối với trạng thái giới hạn cường độ được trình bày trong AASHTO LRFD Bridge Design Specifications (AASHTO, 1994, 1997, 2001, 2006, 2007, 2008) như sau:
\[R_r=\phi R_n \ge \sum \eta_i \gamma_i Q_i\tag{2}\]
trong đó sức kháng danh định (cực hạn) \(R_n\), khi nhân với hệ số sức kháng \(\phi\), trở thành sức kháng có hệ số \(R_r\), và giá trị này phải lớn hơn hoặc bằng tổng các tải trọng \(Q_i\) đã nhân với hệ số tải trọng tương ứng \(\gamma_i\) và hệ số điều chỉnh \(\eta_i\).
\[\eta_i=\eta_D \eta_R \eta_I \ge 0.95 \tag{3}\]
trong đó \(\eta_i\) là các hệ số dùng để xét đến ảnh hưởng của: tính dẻo \((\eta_D)\), tính dư \((\eta_R)\), tầm quan trọng khai thác \((\eta_I)\).
(tính dẻo, tính dư….)
Hệ số điều chỉnh tải trọng \(\eta_{i}\) theo tiêu chuẩn thiết kế cầu AASHTO LRFD. Hệ số này dùng để phản ánh các đặc tính quan trọng của kết cấu mà các công thức tính tải trọng thông thường chưa bao hàm hết. Theo quy định, tích của ba hệ số này không được nhỏ hơn 0.95.
\(\eta_{D}\) (Ductility) – Hệ số dẻo:
+ Phản ánh khả năng biến dạng dẻo của kết cấu trước khi bị phá hoại hoàn toàn.
+ Giá trị: Thường lấy \(\geq 1.05\) cho các chi tiết không dẻo, \(1.0\) cho các chi tiết dẻo thông thường, và \(0.95\) cho các chi tiết có độ dẻo cao vượt mức yêu cầu.
\(\eta_{R}\) (Redundancy) – Hệ số dư:
+ Phản ánh khả năng của hệ thống kết cấu vẫn có thể chịu tải khi một bộ phận bị hỏng (tính đa hệ/tính dư/ tính siêu tĩnh).
+ Giá trị: Kết cấu không có tính dư (ví dụ: cầu chỉ có 2 dầm chính) thường có \(\eta_{R} \geq 1.05\).
\(\eta_{I}\) (Operational Importance) – Hệ số tầm quan trọng khai thác:
+ Phản ánh mức độ quan trọng của công trình đối với mạng lưới giao thông hoặc an ninh quốc phòng.
+ Giá trị: Các cầu quan trọng (Critical bridges) sẽ có \(\eta_{I} \geq 1.05\), cầu thông thường là \(1.0\)$, và cầu ít quan trọng có thể lấy\($0.95\).
Dựa trên các xem xét từ các trường hợp hư hỏng trong quá khứ đến thực hành thiết kế hiện có, một giá trị quy định được lựa chọn cho xác suất phá hoại. Khi đó, đối với một thiết kế cấu kiện cho trước (khi đã áp dụng các hệ số sức kháng và hệ số tải trọng), xác suất phá hoại thực tế — tức là xác suất mà tải trọng có hệ số vượt quá sức kháng có hệ số — phải nhỏ hơn hoặc bằng giá trị quy định đó.
Trong thực hành thiết kế móng, các hệ số áp dụng cho hiệu ứng tải trọng thường được chuyển từ các quy chuẩn kết cấu, còn hệ số sức kháng thì được tính riêng để đạt được xác suất phá hoại quy định.
Tầm quan trọng của việc xét đến bất định liên quan đến sức kháng và quá trình thiết kế được minh họa trong Hình 1. Trong hình này, hệ số an toàn trung tâm là \(\overline{FS}=\frac{m_R}{m_Q}\) trong khi hệ số an toàn danh định là \(FS_n=\frac{R_n}{Q_n}\). Hệ số an toàn trung bình là giá trị trung bình của tỷ số \(R/Q\), và không bằng tỷ số giữa hai giá trị trung bình.
Hãy xét điều gì xảy ra khi bất định của sức kháng tăng lên, và vì vậy PDF được mở rộng hơn, như đường nét đứt gợi ý. Sức kháng trung bình của đường cong này (có thể đại diện cho kết quả của một phương pháp dự báo khác) vẫn không đổi, nhưng độ phân tán (tức là mức độ bất định) tăng lên. Cả hai phân bố đều có cùng hệ số an toàn trung bình nếu dùng WSD, nhưng phân bố có độ biến thiên lớn hơn sẽ đòi hỏi phải áp dụng hệ số sức kháng nhỏ hơn để đạt cùng xác suất phá hoại quy định cho cả hai phương pháp.
Hàm trạng thái giới hạn tương ứng với mức dự trữ an toàn, tức là hiệu giữa sức kháng và tải trọng, sao cho (tham chiếu Hình 2a):
\[g = R – Q \tag{4}\]
Đối với các vùng mà \(g < 0\), thì cấu kiện hoặc kết cấu được thiết kế là không an toàn, vì tải trọng vượt quá sức kháng. Do đó, xác suất phá hoại được biểu diễn bằng xác suất (P) của điều kiện:
\[p_f = P(g < 0)\tag{5}\]

(a) tải trọng, sức kháng và hàm trạng thái; và
(b) hàm trạng thái (g(R,Q)), biểu diễn mức dự trữ an toàn \((p_f)\) và
mối quan hệ của nó với chỉ số độ tin cậy \(\beta\) \((\sigma_g =\) độ lệch chuẩn của g).
Khi tính xác suất phá hoại quy định \((p_f)\), một hàm mật độ xác suất suy ra sẽ được xác lập cho mức dự trữ an toàn \(g(R,Q)\) (xem Hình 2a), và độ tin cậy được biểu thị bằng “chỉ số độ tin cậy”, \(\beta\). Theo Hình 2b, chỉ số độ tin cậy là số độ lệch chuẩn của PDF suy ra của \(g\), dùng để tách giá trị trung bình của mức dự trữ an toàn khỏi giá trị phá hoại danh định ứng với \(g=0\):
\[\beta=\frac{m_g}{\sigma_g}=\frac{m_R-m_Q}{\sqrt{\sigma_Q^2+\sigma_R^2}}\tag{6}\]
trong đó \(m_g\) và \(\sigma_g\) lần lượt là giá trị trung bình và độ lệch chuẩn của mức dự trữ an toàn được xác định trong phương trình 4 hàm trạng thái giới hạn.
Mối quan hệ giữa chỉ số độ tin cậy \((\beta)\) và xác suất phá hoại \((p_f)\), trong trường hợp cả \(R\) và \(Q\) đều tuân theo phân bố chuẩn, có thể được xác định từ Phương trình (6) như sau:
\[p_f=\Phi(-\beta)\tag{7}\]
trong đó \(\Phi\) là hàm lỗi được định nghĩa là: \(\Phi(z)=\int_{-\infty}^{z}\dfrac{1}{\sqrt{2\pi}} \ e^{-u^2/2} \ du\). Mối quan hệ giữa \(\beta\) và \(p_f\) được cho trong Bảng 1. Các quan hệ trong Bảng 1 vẫn đúng miễn là giả thiết rằng chỉ số độ tin cậy \((\beta)\) tuân theo phân bố chuẩn.
Do ứng xử thực tế của các hệ thống kỹ thuật thường không thể nhận giá trị âm (đối với tải trọng và sức kháng), nên chúng được mô tả phù hợp hơn bằng phân bố lognormal. Mức dự trữ an toàn được lấy là log R – log Q khi sức kháng và hiệu ứng tải trọng tuân theo phân bố lognormal. Khi đó, hàm trạng thái giới hạn trở thành:
\[g=\ln(R)-\ln(Q)=\ln\left(\frac{R}{Q}\right)\tag{8}\]
Nếu \(R\) và \(Q\) tuân theo phân bố lognormal, thì \(\log R\) và \(\log Q\) sẽ tuân theo phân bố chuẩn, do đó mức dự trữ an toàn (g) cũng tuân theo phân bố chuẩn. Vì vậy, quan hệ thu được trong Phương trình 7 vẫn còn hiệu lực để tính xác suất phá hoại. Hình 2b minh họa hàm trạng thái giới hạn \(g\), đối với trường hợp sức kháng và tải trọng tuân theo phân bố chuẩn, chỉ số độ tin cậy \(\beta\) đã xác định (cũng gọi là độ tin cậy mục tiêu, \(\beta_T\)), và xác suất phá hoại \(p_f\). Đối với phân bố lognormal, các quan hệ này sẽ tương ứng với hàm:\(g=\ln\left(\dfrac{R}{Q}\right)\) như đã giải thích ở trên.
Bảng 1. Quan hệ giữa chỉ số độ tin cậy và xác suất phá hoại
| Chỉ số độ tin cậy β |
Xác suất phá hoại pf |
|---|---|
| 1.0 | 0.159 |
| 1.2 | 0.115 |
| 1.4 | 0.0808 |
| 1.6 | 0.0548 |
| 1.8 | 0.0359 |
| 2.0 | 0.0228 |
| 2.2 | 0.0139 |
| 2.4 | 0.00820 |
| 2.6 | 0.00466 |
| 2.8 | 0.00256 |
| 3.0 | 0.00135 |
| 3.2 | 6.87 E-4 |
| 3.4 | 3.37 E-4 |
| 3.6 | 1.59 E-4 |
| 3.8 | 7.23 E-5 |
| 4.0 | 3.16 E-5 |
Các giá trị cho trong Bảng 1 dựa trên khai triển chuỗi và có thể được xác định bằng bảng tính (ví dụ, NORMSDIST trong Excel) hoặc từ các bảng toán học tiêu chuẩn liên quan đến hàm phân phối xác suất chuẩn tắc. Tuy nhiên, cần lưu ý rằng các phép hiệu chuẩn AASHTO LRFD trước đây và các tài liệu công bố trong lĩnh vực địa kỹ thuật, đáng chú ý là Barker và cộng sự (1991) và Withiam và cộng sự (1998), đã sử dụng một quan hệ xấp xỉ do Rosenblueth và Esteva (1972) đề xuất. Quan hệ này có sai số lớn đối với \(\beta < 2.5\), là vùng giá trị thường được quan tâm trong hiệu chuẩn thiết kế theo ULS \((\beta = 2 \text{ đến } 3)\), và còn sai khác nhiều hơn trong vùng quan tâm của hiệu chuẩn SLS \((\beta < 2.0)\).
Đối với phân bố lognormal của tải trọng và sức kháng, có thể chứng minh (ví dụ, Phoon và cộng sự, 1995) rằng Phương trình 6 trở thành:
\(\qquad \beta=\dfrac{m_{RN}-m_{QN}}{\sqrt{\sigma_{QN}^{2}+\sigma_{RN}^{2}}}\)
\(\qquad \beta=\dfrac{\ln\left[\left(\frac{m_R}{m_Q}\right)\sqrt{\frac{1+\mathrm{COV}_Q^{2}}{1+\mathrm{COV}_R^{2}}}\right]} {\sqrt{\ln\left[(1+\mathrm{COV}_R^{2})(1+\mathrm{COV}_Q^{2})\right]}}\) \(\qquad \qquad \qquad\) (9)
trong đó:
\(m_{QN}, m_{RN}\)
\(\sigma_{QN}, \sigma_{RN}\)
\(m_Q, m_R \)
\(COV_Q, COV_R \)
= giá trị trung bình của logarit tự nhiên của tải trọng và sức kháng;
= độ lệch chuẩn của logarit tự nhiên của tải trọng và sức kháng;
= các giá trị trung bình thông thường và hệ số biến thiên của tải trọng và sức kháng trong các phân bố chuẩn. Các giá trị này có thể được chuyển đổi từ phân bố lognormal bằng các biểu thức sau đối với tải trọng, và các biểu thức tương tự đối với sức kháng:
và
\(\sigma_{QN}^{2}=\ln(1+\mathrm{COV}_Q^{2}) \)
\(m_{QN}=\ln(m_Q)-0.5\sigma_{QN}^{2} \)
(10)
(11)
1.3.2 Quá trình hiệu chuẩn
Vấn đề đặt ra đối với phân tích LRFD trong quá trình hiệu chuẩn là xác định hệ số tải trọng \((\gamma)\) và hệ số sức kháng \((\phi)\) sao cho các phân bố của \(R\) và \(Q\) đáp ứng được yêu cầu của một giá trị \(\beta\) cho trước. Nói cách khác, các hệ số \(\gamma\) và \(\phi\) được mô tả trong Hình 3 cần phải đáp ứng độ tin cậy mục tiêu đã quy định (tức là một xác suất phá hoại định trước) như được trình bày trong Phương trình 9. Có nhiều nghiệm khả dụng cho bài toán này và sẽ được mô tả ở phần dưới, bao gồm cả quy trình được khuyến nghị cho nghiên cứu được báo cáo trong tài liệu này (xem Mục 1.3.5).

(thông thường \(\gamma \ge 1\), \(\phi \le 1\)) liên quan đến vùng
mà tại đó tải trọng lớn hơn sức kháng \((Q > R)\).
1.3.3 Phương pháp First Order Second Moment
Phương pháp hiệu chuẩn First Order Second Moment (FOSM) ban đầu do Cornell (1969) đề xuất và được xây dựng như sau. Đối với hàm trạng thái giới hạn \(g(m)\):
giá trị trung bình
\(m_g \approx g(m_1,m_2,m_3,\ldots,m_n)\)
(12)
phương sai
\(\sigma_g^2 \approx \sum_{i=1}^{n}\left(\dfrac{\partial g}{\partial x_i}\right)^2 \sigma_i^2\)
hoặc \(\sigma_g^2 \approx \sum_{i=1}^{n}\left(\dfrac{g_i^{+}-g_i^{-}}{\Delta x_i}\right)^2 \sigma_i^2\)
(13)
trong đó
\(m_i\) và \(\sigma_i =\)
\(x_i, i =\)
\(g_i^{+} =\)
giá trị trung bình và độ lệch chuẩn của các biến cơ bản (các tham số thiết kế);
\(1,2,\ldots,n\)
\(m_i+\Delta m_i\), và \(g_i^{-}=m_i-\Delta m_i\), với các gia số nhỏ \(\Delta m_i\);
\(\Delta x_i\) là một thay đổi nhỏ của giá trị biến cơ bản \(x_i\).
Trong thực tế, phương pháp FOSM đã được Barker và cộng sự (1991) sử dụng để xây dựng các nghiệm khép kín cho việc hiệu chuẩn hệ số sức kháng địa kỹ thuật \((\phi)\) đã xuất hiện trong các quy định AASHTO LRFD trước đây.
\[
\phi=\dfrac{\lambda_R\left(\sum \gamma_i Q_i\right)\sqrt{\dfrac{1+COV_Q^2}{1+COV_R^2}}}{m_Q \ e^{\beta_T\sqrt{\ln\left[(1+COV_R^2)(1+COV_Q^2)\right]}}} \tag{14}
\]
trong đó
\(\lambda_R =\)
hệ số độ chệch sức kháng (resistance bias factor), tức tỷ số trung bình giữa sức kháng đo được và sức kháng dự đoán;
\(COV_Q =\)
\(COV_R) =\)
\(\beta_T =\)
hệ số biến thiên của tải trọng;
hệ số biến thiên của sức kháng; và
chỉ số độ tin cậy mục tiêu.
Khi chỉ xét tải trọng tĩnh tải và hoạt tải, Phương trình 14 có thể được viết lại thành
\[
\phi=
\dfrac{
\lambda_R
\left(\gamma_D\dfrac{Q_D}{Q_L}+\gamma_L\right)
\sqrt{\dfrac{1+COV_{QD}^2+COV_{QL}^2}{1+COV_R^2}}
}{
\left(\lambda_{QD}\dfrac{Q_D}{Q_L}+\lambda_{QL}\right)
\ e^ {{
\beta_T
\sqrt{
\ln\left[
(1+COV_R^2)(1+COV_{QD}^2+COV_{QL}^2)
\right]
}
}}
}
\tag {15}
\]
trong đó
\(\gamma_D, \gamma_L =\)
\(Q_D/Q_L =\)
\(\lambda_{QD}, \lambda_{QL} =\)
\(COV_{QD} =\)
\(COV_{QL} =\)
hệ số tải trọng của tĩnh tải và hoạt tải,
tỷ số tĩnh tải trên hoạt tải,
hệ số độ chệch của tĩnh tải và hoạt tải;
hệ số biến thiên của tĩnh tải; và
hệ số biến thiên của hoạt tải.
Các đặc trưng xác suất của tải trọng móng được giả thiết là giống với các giá trị mà AASHTO dùng cho kết cấu phần trên (Nowak, 1999); do đó \(\gamma_D\), \(\gamma_L\), \(\lambda_{QD}\) và \(\lambda_{QL}\) là các giá trị cố định, còn hệ số sức kháng có thể được tính cho một phân bố sức kháng \((\lambda_R, COV_R)\) ứng với một dải các tỷ số tĩnh tải trên hoạt tải.
1.3.4 Phương pháp độ tin cậy bậc nhất (First Order Reliability Method)
Phương pháp LRFD dùng trong thiết kế kết cấu đã phát triển vượt ra ngoài FOSM để chuyển sang Phương pháp độ tin cậy bậc nhất, FORM (ví dụ: Ellingwood và cs, 1980; Galambos và Ravindra, 1978), trong khi các ứng dụng trong địa kỹ thuật lại chậm hơn trong việc áp dụng cách tiếp cận này (Meyerhof, 1994). Để bảo đảm phù hợp với mức hiệu chuẩn đã được áp dụng trước đó cho kết cấu và với các hệ số tải trọng tương ứng, việc hiệu chuẩn các hệ số sức kháng cho móng sâu trong Dự án NCHRP 24-17 đã sử dụng phương pháp này (Paikowsky và cs., 2004).
Các hệ số an toàn riêng phần trong LRFD được hiệu chuẩn bằng FORM theo phương pháp do Hasofer và Lind (1974) phát triển. FORM có thể được sử dụng để đánh giá độ tin cậy của một bộ phận kết cấu đối với các trạng thái giới hạn xác định trước, đồng thời là cơ sở để tính các hệ số an toàn riêng phần \(\phi\) và \(\gamma\) lần lượt cho sức kháng và tải trọng, ứng với chỉ số độ tin cậy mục tiêu \(\beta\). FORM yêu cầu thông tin mô men bậc nhất và bậc hai của sức kháng và tải trọng, tức là giá trị trung bình và phương sai, đồng thời phải giả định dạng phân bố của chúng (ví dụ: phân bố chuẩn, lognormal, v.v.). Quy trình hiệu chuẩn được trình bày ở Hình 4 và được mô tả chi tiết trong Paikowsky và cs. (2004).
Mỗi trạng thái giới hạn (trạng thái cường độ hoặc trạng thái sử dụng) có thể được biểu diễn bằng một hàm trạng thái giới hạn có dạng:
\[g(\mathbf{X}) = g(X_1, X_2, \ldots, X_n)\tag{16}\]
trong đó \(\mathbf{X} = (X_1, X_2, \ldots, X_n)\) là vectơ các biến ngẫu nhiên cơ bản của sức kháng và tải trọng. Hàm trạng thái giới hạn \(g(X)\), thường cũng được gọi là hàm giới hạn (limit state function), liên hệ các biến ngẫu nhiên với trạng thái giới hạn cường độ hoặc trạng thái giới hạn sử dụng. Giới hạn được xác định bởi \(g(X)=0\), nghĩa là phá hoại xảy ra khi \(g(X)\le 0\) (nói chặt chẽ hơn là \(g(X)<0\); xem Hình 2 và 4).
Theo Hình 4, chỉ số độ tin cậy \(\beta\) là khoảng cách từ gốc tọa độ trong không gian chuẩn tắc, được biến đổi từ không gian của các biến ngẫu nhiên cơ bản, đến mặt giới hạn tại điểm có xác suất xảy ra lớn nhất trên mặt đó; tức là tại điểm mà \(g(X)=0\) và tại đó hàm mật độ xác suất đồng thời của \(X\) đạt giá trị lớn nhất. Điểm này đôi khi được gọi là điểm thiết kế (design point), và được tìm bằng một quy trình giải lặp (Thoft-Christensen và Baker, 1982). Quan hệ này cũng có thể được dùng để tính ngược ra các giá trị đại diện của chỉ số độ tin cậy \(\beta\) từ thực hành thiết kế hiện hành. Các bước tính toán để xác định \(\beta\) bằng FORM được Paikowsky và cs. (2004) trình bày.
Trong quá trình xây dựng các quy định thiết kế, cần bám theo thực hành thiết kế hiện hành để bảo đảm mức độ tin cậy nhất quán giữa các phương pháp đánh giá khác nhau (ví dụ: sức kháng cọc hoặc chuyển vị). Cần hiệu chuẩn các quy định thiết kế hiện có để làm cho định dạng thiết kế mới càng đơn giản càng tốt và trình bày theo cách quen thuộc với kỹ sư thiết kế. Với một chỉ số độ tin cậy \(\beta\) cho trước và các phân bố xác suất của sức kháng cùng hiệu ứng tải trọng, các hệ số an toàn riêng phần xác định theo FORM có thể khác nhau tùy theo dạng phá hoại. Vì lý do đó, việc hiệu chuẩn các hệ số an toàn riêng phần (PSF) được tính toán là cần thiết để duy trì cùng một giá trị cho mọi tải trọng ở các dạng phá hoại khác nhau.
Trong trường hợp tiêu chuẩn địa kỹ thuật, việc hiệu chuẩn các hệ số sức kháng được thực hiện cho một bộ hệ số tải trọng đã được quy định sẵn trong tiêu chuẩn kết cấu. Do đó, các hệ số tải trọng được giữ cố định. Một thuật toán đơn giản hóa đã được sử dụng trong Dự án NCHRP 24-17 để xác định các hệ số sức kháng:
- Với chỉ số độ tin cậy mục tiêu \(\beta\) đã cho, cùng các phân bố xác suất, các mô men của biến tải trọng và hệ số biến thiên của sức kháng, sử dụng FORM để xác định giá trị trung bình của sức kháng \(m_R\).
- Với giá trị trung bình của \(R\) đã tính được ở Bước 1, hệ số an toàn riêng phần PSF \(\phi\) được hiệu chỉnh lại như sau:
\[
\phi=\dfrac{\sum_{i=1}^{n}\gamma_i m_{L_i}}{m_R}
\tag{17}
\]
trong đó \(m_{L_i}\) và \(m_R\) lần lượt là các giá trị trung bình của các biến tải trọng và sức kháng, còn \(\gamma_i\), với \(i = 1, 2, \ldots, n\), là bộ hệ số tải trọng đã cho.


(Ayyub và Assakkaf, 1999; Ayyub và cs., 2000; Hasofer và Lind, 1974).
Ghi chú:
ST = kết cấu (Structural)
MCS = mô phỏng Monte Carlo (Monte Carlo Simulation)
\(\mu\) = giá trị trung bình
g(x) = hàm trạng thái giới hạn
= hàm biểu diễn trạng thái làm việc của hệ tại trạng thái giới hạn
g(x)=0) = giới hạn xác định phá hoại, với phá hoại xảy ra khi g(x)<0
gL(x) = hàm trạng thái giới hạn tuyến tính hóa
So sánh giữa các hệ số sức kháng thu được bằng FORM và các hệ số sức kháng theo FOSM cho 160 lần hiệu chuẩn của các phương pháp dự đoán sức chịu tải dọc trục cọc được trình bày ở Hình 5. Dữ liệu trong Hình 5 cho thấy FORM cho các hệ số sức kháng luôn cao hơn các giá trị thu được từ FOSM. Có thể lấy như một quy tắc gần đúng rằng các hệ số sức kháng theo FORM dùng cho móng sâu lớn hơn khoảng 10% so với các giá trị theo FOSM. Kết luận thực tế rút ra từ dữ liệu quan sát được là việc đánh giá sơ bộ dữ liệu ban đầu có thể được thực hiện bằng cách tiếp cận FOSM dạng khép kín đã được đơn giản hóa, và các hệ số sức kháng thu được khi đó sẽ nằm về phía bảo thủ ( thiên về an toàn) đối với các phân bố sức kháng được xác lập trong Dự án NCHRP 24-17 (Paikowsky và cs., 2004).
1.3.5 Mô phỏng Monte Carlo
Mô phỏng Monte Carlo (MCS) đã trở thành công cụ hiệu chuẩn được AASHTO ưu tiên sử dụng và được khuyến nghị cho mọi hiệu chuẩn liên quan đến AASHTO. MCS là một công cụ mạnh để xác định xác suất phá hoại bằng phương pháp số, không cần dùng các nghiệm dạng khép kín như trong Phương trình 14 và 15. Mục tiêu của MCS là thực hiện tích phân số đối với biểu thức xác suất phá hoại, được cho bởi phương trình sau:
\[
p_f = P(g \le 0)=\frac{1}{N}\sum_{i=1}^{N} I[g_i \le 0]
\tag{18}
\]
trong đó \(I\) là hàm chỉ thị, nhận giá trị bằng 1 khi \(g_i \le 0\), tức là khi trạng thái giới hạn tương ứng nằm trong miền phá hoại, và nhận giá trị bằng 0 khi \(g_i > 0\), tức là khi trạng thái giới hạn tương ứng nằm trong miền an toàn. \(N\) là số lần mô phỏng được thực hiện. Khi \(N \to \infty\), giá trị trung bình của xác suất phá hoại ước tính theo Phương trình 18 có thể chứng minh là bằng với xác suất phá hoại thực (Rubinstein, 1981).
Việc hiệu chuẩn tiêu chuẩn, ở dạng lý tưởng, được thực hiện bằng một quá trình lặp, trong đó giả định các hệ số tải trọng \((\gamma)\) và hệ số sức kháng \((\phi)\) hợp lý, rồi xác định chỉ số độ tin cậy tương ứng \(\beta\). Khi đạt được chỉ số độ tin cậy mục tiêu mong muốn \(\beta_T\), thì một bộ hệ số tải trọng và hệ số sức kháng chấp nhận được đã được xác định. Không tồn tại một bộ duy nhất các hệ số tải trọng và sức kháng; các bộ hệ số khác nhau vẫn có thể đạt cùng một chỉ số độ tin cậy mục tiêu (Kulicki và cs., 2007).
Quy trình MCS khá đơn giản và có thể thực hiện như sau:
- Xác định các biến thiết kế cơ bản và các phân bố của chúng. Tải trọng được giả thiết tuân theo phân bố chuẩn.
- Sinh \(N\) mẫu ngẫu nhiên cho mỗi biến thiết kế theo phân bố tương ứng của nó, tức là sử dụng các số liệu thống kê đã công bố của tải trọng và sức kháng cùng với các số ngẫu nhiên do máy tính tạo ra.
- Đánh giá hàm trạng thái giới hạn \(N\) lần bằng cách dùng các bộ biến thiết kế đã sinh ở trên, rồi đếm số trường hợp mà hàm chỉ thị nhận giá trị bằng 1.
- Nếu tổng của hàm chỉ thị bằng \(N_f\), tức là trong tổng số \(N\) lần mô phỏng có \(N_f\) trường hợp hàm trạng thái giới hạn thỏa \(g_i \le 0\) (miền phá hoại), thì xác suất phá hoại \(p_f\) được tính trực tiếp bằng \(N_f/N\).

thu được theo FORM ứng với chỉ số độ tin cậy mục tiêu \(\beta = 2.33\) (Paikowsky và cs., 2004).
Sử dụng quy trình MCS, hệ số sức kháng có thể được tính dựa trên nguyên tắc rằng để đạt được xác suất phá hoại mục tiêu \(p_{fT}\), thì \(N_{fT}\) (số mẫu cần thiết để đạt trạng thái phá hoại mục tiêu tại trạng thái giới hạn) của hàm trạng thái giới hạn phải rơi vào miền phá hoại. Do trong LRFD địa kỹ thuật hiện nay chỉ sử dụng một hệ số sức kháng trong khi giữ các hệ số tải trọng không đổi, nên cách lựa chọn phù hợp đối với hệ số sức kháng là làm dịch chuyển hàm trạng thái giới hạn sao cho có \(N_{fT}\) mẫu rơi vào miền phá hoại. Hệ số sức kháng được xây dựng trong nghiên cứu này bằng MCS dựa trên khái niệm đó.
Kulicki và cs. (2007) đã nêu một số nhận xét về quy trình trình bày ở trên:
- Kết quả chỉ tốt tương ứng với mức độ đúng đắn của mô hình phân bố tải trọng và sức kháng. Ví dụ, nếu tải trọng không được mô hình hóa đúng hoặc sức kháng thực tế khác với phân bố đã mô hình hóa, thì kết quả sẽ không chính xác. Nói cách khác, nếu các tham số thống kê không được xác định tốt, thì kết quả cũng sẽ thiếu chính xác tương ứng.
- Nếu cả phân bố tải trọng và phân bố sức kháng đều được giả thiết là phân bố chuẩn hoặc lognormal, thì về lý thuyết, MCS sử dụng các giả thiết này sẽ cho cùng kết quả như các nghiệm dạng khép kín.
- Điểm mạnh của MCS là khả năng sử dụng các dạng phân bố khác nhau cho tải trọng và sức kháng.
Tóm lại, phần cần được tinh chỉnh là việc hiệu chuẩn, chứ không phải bản thân quy trình dùng để tính chỉ số độ tin cậy. MCS, như đã trình bày ở trên, là đủ phù hợp và dễ hiểu đối với kỹ sư hành nghề. Việc tinh chỉnh nên tập trung vào xác định các tham số thống kê của các thành phần khác nhau của hiệu ứng lực và sức kháng, cũng như sử dụng các phân bố tải trọng có sẵn cho phân tích kết cấu; điều đó có nghĩa là tập trung vào các tham số thống kê của sức kháng.
1.4 Định dạng để phát triển hệ số thiết kế
1.4.1 Khái quát
Việc AASHTO phát triển và triển khai LSD và LRFD chủ yếu được thúc đẩy bởi mục tiêu đạt được một triết lý thiết kế thống nhất cho kỹ thuật cầu, cả về kết cấu và địa kỹ thuật, qua đó xây dựng được một khuôn khổ quản lý rủi ro hợp lý và nhất quán hơn trong kỹ thuật địa kỹ thuật.
Mục 1.3 đã trình bày chi tiết các nguyên lý của LRFD và mô tả quy trình hiệu chuẩn. Tuy nhiên, các triết lý để đạt được sự hiệu chuẩn này lại rất khác nhau: các giá trị có thể được lựa chọn dựa trên một tập các tham số đã có sẵn, dựa trên ý kiến chuyên gia, dựa trên việc hiệu chuẩn toàn diện sức kháng, hoặc dựa trên cách tiếp cận theo hệ số vật liệu. Một nỗ lực trước đây nhằm hiệu chuẩn trạng thái giới hạn cường độ (ULS) của móng sâu đã tập trung vào việc hiệu chuẩn toàn diện các mô hình sức kháng như một chỉnh thể thống nhất (Paikowsky và cs., 2004). Triết lý này dựa trên thực tế rằng, trái với một số ngành kỹ thuật khác (ví dụ: phân tích kết cấu), độ không chắc chắn của mô hình trong kỹ thuật địa kỹ thuật là yếu tố chi phối. Các đặc thù này tạo ra một khuôn khổ lý tưởng cho một phương pháp luận toàn diện đã được quy định trước; vì vậy, khi có thể, việc hiệu chuẩn trực tiếp toàn bộ phương pháp luận sẽ dẫn đến LRFD có độ chính xác cao, như sẽ được minh họa trong các tiểu mục tiếp theo.
Cách tiếp cận này phần lớn đã được áp dụng trong quá trình xây dựng trạng thái giới hạn sử dụng (SLS) (Dự án NCHRP 12-66) và cũng được áp dụng trong nghiên cứu này khi có thể. Tuy nhiên, việc hiệu chuẩn móng nông đối với trạng thái giới hạn cường độ (ULS) lại có những khía cạnh phức tạp hơn, mà hiện tại chưa thể hiệu chuẩn trực tiếp. Do đó, Mục 1.4.2 (chủ yếu dựa trên Honjo và Amatya, 2005) được đưa vào như phần cơ sở nền nhằm giải thích cách tiếp cận đa dạng của nghiên cứu hiện tại.
1.4.2 Cách tiếp cận theo hệ số vật liệu và hệ số sức kháng
Một số vấn đề then chốt trong việc xây dựng các tiêu chuẩn thiết kế địa kỹ thuật hợp lý dựa trên LSD và LRFD là việc xác định các giá trị đặc trưng và việc xác định các hệ số riêng phần, cùng với khuôn dạng kiểm toán thiết kế (Simpson và Driscoll, 1998; Orr, 2002; Honjo và Kusakabe, 2002; Kulhawy và Phoon, 2002). Các giá trị đặc trưng của các tham số thiết kế được dùng một cách thuận tiện dưới dạng các giá trị trung bình của chúng.
Cách tiếp cận đối với khuôn dạng xây dựng hệ số thiết kế có thể được tóm lược như sau: hoặc là cách tiếp cận theo hệ số vật liệu (material factor approach, MFA), hoặc là cách tiếp cận theo hệ số sức kháng (resistance factor approach, RFA). Trong MFA, các hệ số riêng phần được áp dụng trực tiếp cho các giá trị đặc trưng của vật liệu trong phép tính thiết kế, trong khi ở RFA, một hệ số sức kháng được áp dụng cho giá trị sức kháng tính toán thu được khi sử dụng các giá trị đặc trưng của vật liệu. Một trong các biến thể của RFA là cách tiếp cận theo nhiều hệ số sức kháng (MRFA), trong đó một số hệ số sức kháng được dùng để xét đến các phạm vi tương đối lớn của các giá trị sức kháng tính toán. Ưu điểm của MRFA được cho là tạo ra mức độ an toàn nhất quán hơn trong thiết kế so với RFA (Phoon và cs., 1995, 2000; Kulhawy và Phoon, 2002). Nói chung, MFA bắt nguồn ở châu Âu, còn RFA bắt nguồn ở Bắc Mỹ. Tuy nhiên, hiện nay cả hai cách tiếp cận đều được sử dụng hoán đổi trên toàn thế giới; ví dụ, “cách tiếp cận của Đức” trong EC7 phù hợp với RFA, trong khi Eurocode 7 cho phép sử dụng nhiều cách tiếp cận thiết kế khác nhau (cả MFA và RFA), và mỗi quốc gia thành viên có thể quy định lựa chọn ưu tiên của mình trong Phụ lục Quốc gia của EC7.
1.4.3 Hiệu chuẩn tiêu chuẩn
Một quy trình nhằm xác định một cách hợp lý các hệ số riêng phần trong các công thức kiểm toán thiết kế dựa trên phân tích độ tin cậy được gọi là “hiệu chuẩn tiêu chuẩn” (code calibration). Mục 1.3.2 và chi tiết tại các Mục 1.3.3, 1.3.4 và 1.3.5 đã trình bày cơ sở phân tích của việc hiệu chuẩn trong phương pháp luận LRFD. Một trong những nghiên cứu nổi tiếng và quan trọng nhất trong lĩnh vực này là của Ellingwood và cs. (1982), trong đó các hệ số tải trọng và hệ số sức kháng được xác định dựa trên phân tích độ tin cậy bằng FORM. Kể từ đó, một số lượng hợp lý các nghiên cứu hiệu chuẩn tiêu chuẩn đã được thực hiện trong kỹ thuật kết cấu (ví dụ: Nowak, 1999). Tuy nhiên, các nghiên cứu hiệu chuẩn tiêu chuẩn hợp lý cho kỹ thuật địa kỹ thuật chỉ mới được tiến hành trong khoảng hơn một thập kỷ gần đây (Barker và cs., 1991; Phoon và cs., 1995; Honjo và cs., 2002; Paikowsky và cs., 2004).
Barker và cs. (1991) đã đề xuất các hệ số sức kháng cho tiêu chuẩn thiết kế móng cầu AASHTO được ban hành năm 1994 (AASHTO, 1994). Việc hiệu chuẩn này dựa trên FOSM nhưng có sử dụng phép tính ngược từ các hệ số an toàn, đồng thời đưa vào một số lượng đáng kể các phán đoán kỹ thuật trong quá trình xác định các hệ số theo một quy trình chưa được mô tả rõ ràng. Trên cơ sở những khó khăn gặp phải khi sử dụng công trình của Barker và cs. (1991), các hệ số riêng phần cho móng sâu trong quy định của AASHTO đã được Paikowsky và cs. (2004) hiệu chỉnh lại. Trong Paikowsky và cs. (2004), một cơ sở dữ liệu lớn đã được xây dựng và sử dụng trong một cách tiếp cận RFA trên mô hình hiệu chuẩn trực tiếp, kết hợp với phân tích độ tin cậy bằng FORM, để xác định các hệ số sức kháng. Việc hiệu chuẩn cho trạng thái giới hạn sử dụng (SLS) (Dự án NCHRP 12-66) được phát triển theo một cách tiếp cận tương tự, nhưng sử dụng MCS để xác định các hệ số. Một số ví dụ từ cả hai nghiên cứu này được trình bày ở các Mục 1.4.4 và 1.4.5. Phoon và cs. (1995, 2000) đã thực hiện hiệu chuẩn các hệ số cho móng truyền tải điện dựa trên MRFA bằng phân tích độ tin cậy. Một số khuôn dạng thiết kế đơn giản hóa đã được sử dụng, và các hệ số được hiệu chỉnh cho đến khi đạt được chỉ số độ tin cậy mục tiêu. Kobayashi và cs. (2003) đã hiệu chuẩn các hệ số sức kháng cho tải trọng xây dựng theo tiêu chuẩn thiết kế trạng thái giới hạn của Viện Kiến trúc Nhật Bản (AIJ, 2002). Tiêu chuẩn này quy định một bộ hệ số tải trọng và hệ số sức kháng thống nhất cho mọi khía cạnh của thiết kế công trình xây dựng. FORM được sử dụng cho phân tích độ tin cậy, và MRFA là khuôn dạng kiểm toán thiết kế được áp dụng đối với thiết kế móng.
1.4.4 Ví dụ về hiệu chuẩn tiêu chuẩn — ULS
Năng lực của cách tiếp cận hiệu chuẩn trực tiếp toàn diện theo hệ số sức kháng được minh họa trong phần này. Một cơ sở dữ liệu lớn gồm các thí nghiệm tải trọng tĩnh trên cọc đã được tổng hợp, và sức chịu tải tĩnh và động theo nhiều phương pháp thiết kế khác nhau đã được so sánh với sức kháng danh định thu được từ thí nghiệm tải trọng tĩnh. Sự biến thiên của các tham số địa kỹ thuật được giảm thiểu (một cách gián tiếp) bằng cách tuân theo một quy trình nhất quán cho việc lựa chọn tham số đất (ví dụ, hiệu chỉnh N SPT [số búa trong thí nghiệm xuyên tiêu chuẩn] và các tương quan với góc ma sát), cũng như cho việc diễn giải thí nghiệm tải trọng (ví dụ, xác lập độ không chắc chắn theo tiêu chuẩn Davisson cho xác định sức chịu tải rồi sử dụng nhất quán tiêu chuẩn đó). Hai ví dụ về các phép hiệu chuẩn quy mô lớn như vậy được trình bày ở Hình 6 và Hình 7, tương ứng cho bảy phương pháp dự đoán sức chịu tải động và sức chịu tải tĩnh của cọc (Paikowsky và cs., 2004).
Việc phân nhóm chi tiết hơn các kết quả phân tích đã dẫn đến các khuyến nghị cụ thể về hệ số sức kháng dựa trên loại cọc, loại đất và tổ hợp phương pháp phân tích. Việc tuân thủ cách xây dựng độ không chắc chắn của từng tổ hợp từ cơ sở dữ liệu và thực hiện hiệu chuẩn nhất quán đã tạo ra một dải các hệ số sức kháng (xem, chẳng hạn, Bảng 25 trong Báo cáo NCHRP 507, Paikowsky và cs., 2004). Các phiên bản tiêu chuẩn gần đây (AASHTO, 2006, 2008) đã tránh việc hiệu chuẩn quá chi tiết như vậy và đưa ra một hệ số sức kháng “đơn giản hóa” \((\phi = 0.45)\) cho phân tích tĩnh cọc, cùng với một phương pháp thiết kế duy nhất (Nordlund/Thurman).


Dự án thiết kế cầu LRFD quy mô lớn đầu tiên ở vùng New England (bao gồm cả kết cấu phần trên và kết cấu phần dưới) theo tiêu chuẩn AASHTO 2006 hiện đang được thi công. Một chương trình thí nghiệm tải trọng tĩnh quy mô lớn đã được tiến hành trước khi thiết kế. Thông tin nhận dạng cụ thể không được cung cấp, nhưng Bảng 2 và 3 trình bày việc đánh giá sức chịu tải cho hai cọc đã được thí nghiệm động và tĩnh (dự đoán loại Class A), do chuyên gia tư vấn của dự án, Tiến sĩ Samuel Paikowsky, nộp khoảng một tháng trước khi thí nghiệm, sử dụng các hệ số sức kháng đã được hiệu chuẩn cho tổ hợp cụ thể giữa loại cọc/loại đất/phương pháp phân tích, so sánh với phiên bản hệ số sức kháng “đơn giản hóa” của AASHTO.
Trong cả hai trường hợp, sức chịu tải tính toán theo hệ số sức kháng “đơn giản hóa” đã vượt quá sức kháng đo được và có xét tải trọng của bản thân móng cọc, theo một cách nguy hiểm, trong khi việc sử dụng các hệ số sức kháng đã được hiệu chuẩn lại dẫn đến thiết kế nhất quán và thận trọng. Chi phí bổ sung dự kiến cho phần kết cấu dưới đã tăng 100% (so với ước tính ban đầu dựa trên tiêu chuẩn AASHTO), vượt quá 100 triệu đô la Mỹ (tại thời điểm thực hiện chương trình thí nghiệm tải trọng), và làm chậm dự án 1 năm. Sức mạnh của việc hiệu chuẩn RFA trực tiếp toàn diện dựa trên cơ sở dữ liệu, so với việc gán tùy ý các hệ số sức kháng, được thể hiện rất rõ qua trường hợp sử dụng đáng kể đầu tiên này ở New England.
Bảng 2. Cọc H—tóm tắt (14 × 177, chiều sâu xuyên = 112 ft)
Tĩnh:
Tổ hợp sức chịu tải cọc tĩnh:
| Tổ hợp phân tích |
Sức chịu tải ước tính (Rn) (kips) |
Hệ số sức kháng theo NCHRP 507 cho cọc H trong cát (\(\phi\)) |
Sức kháng có xét hệ số (Rr) |
Hệ số sức kháng theo NCHRP 507 cho cọc H trong đất hỗn hợp (\(\phi\)) |
Sức kháng có xét hệ số (Rr) |
Hệ số sức kháng theo tiêu chuẩn AASHTO LRFD 2006 (\(\phi\)) |
Sức kháng có xét hệ số (Rr) |
|---|---|---|---|---|---|---|---|
| β-Method/Thurman (chỉ cọc thép) | 894 | 0.30 | 268 | 0.20 | 179 | Không quy định | |
| β-Method/Thurman (diện tích hộp) | 1,076 | 323 | 215 | ||||
| Nordlund/Thurman (chỉ cọc thép) | 841 | 0.45 | 379 | 0.35 | 252 | 0.45 | 379 |
| Nordlund/Thurman (diện tích hộp) | 1,023 | 460 | 307 | 460 | |||
| FHWA Driven Ver. 1.2 (chỉ cọc thép) | 845 | ||||||
| FHWA Driven Ver. 1.2 (diện tích hộp) | 1,032 |
Ghi chú:
\(\qquad \) 1. Các Hệ số Sức kháng (Resistance Factors) được lấy từ các hệ số sức kháng dành cho các kết cấu siêu tĩnh (redundant structures) được liệt kê trong Bảng 25 của Báo cáo NCHRP 507 (Paikowsky và cộng sự, 2004).
Tài liệu tham khảo: Sức chịu tải cọc tĩnh và Hệ số sức kháng cho Chương trình Thử tải cọc, báo cáo GTR đã nộp cho Haley và Aldrich, Inc. (H&A), ngày 21 tháng 6 năm 2006 (Paikowsky, Thibodeau, và Griffin).
Ghi chú: Các giá trị DRIVEN ở trên được xác định bằng cách nhập trực tiếp các giá trị ma sát và trọng lượng đơn vị vào phần mềm DRIVEN, giới hạn góc ma sát ở mức 36°.
Động:
Chương trình thí nghiệm cọc thử cầu sông Sakonnet, Portsmouth, Rhode Island — Tóm tắt các dự báo theo đo động và sức kháng có xét hệ số (cọc H)
| Loại cọc | Thời điểm đóng cọc | Phương pháp năng lượng | CAPWAP | ||||
|---|---|---|---|---|---|---|---|
| EA1 (kips) | \(\phi\)2 | Rr (kips) | CAP1 (kips) | \(\phi\)2 | Rr (kips) | ||
| H | EOD | 481 | 0.55 | 265 | 310 | 0.65 | 202 |
| BOR | 606 | 0.40 | 242 | 434 | 0.65 | 2823 | |
| 1 Các giá trị biểu thị dự báo tại EOD và giá trị trung bình của tất cả các dự báo tại BOR. | |||||||
| 2 Tất cả các hệ số \(\phi\) được lấy từ Báo cáo NCHRP 507 (Paikowsky và cs., 2004). | |||||||
|
3 Chỉ các hệ số \(\phi\) cho CAPWAP tại BOR mới xuất hiện trong tiêu chuẩn AASHTO (2006) và được đánh dấu bằng các ô tô bóng. |
|||||||
Tài liệu tham khảo: Sức chịu tải cọc dựa trên thí nghiệm động và các hệ số sức kháng cho chương trình thí nghiệm tải trọng cọc, báo cáo GTR gửi tới H&A, ngày 17 tháng 7 năm 2006 (dựa trên các lần nộp dữ liệu và phân tích trước đó) (Paikowsky, Chernauskas và Hart).
Tải trọng tĩnh
Sức chịu tải theo thí nghiệm tải trọng (theo tiêu chuẩn Davisson):
\[
Q_u = 378\ \text{kips tại } 0.68\ \text{in}
\]
Hệ số sức kháng theo Báo cáo NCHRP 507 và tiêu chuẩn AASHTO:
\[
\phi = 0.55 \quad \text{(1 cọc thử, mức biến thiên hiện trường lớn)}
\]
\[
\phi = 0.70 \quad \text{(1 cọc, mức biến thiên hiện trường trung bình)}
\]
Sức kháng có xét hệ số:
\[
R_r = 208 \text{ đến } 265\ \text{kips}
\]
Tài liệu tham khảo: Kết quả thí nghiệm tải trọng do H&A trình bày và phân tích.
1.4.5 Ví dụ về Hiệu chuẩn Tiêu chuẩn—SLS
Các yếu tố liên quan đến SLS (Trạng thái giới hạn sử dụng) đã được đánh giá theo Dự án NCHRP 12-66. Tiếp sau việc phát triển các tiêu chí về khả năng phục vụ cho cầu (Paikowsky, 2005; Paikowsky và Lu, 2006), các cơ sở dữ liệu lớn về hiệu suất nền móng đã được tích lũy và phân tích để hiệu chuẩn RFA (Phân tích độ tin cậy) trực tiếp (Paikowsky và các cộng sự, 2009a, 2009b).
Các ví dụ về cơ sở dữ liệu kiểm tra hiệu quả của các phân tích độ lún (biến dạng) của móng nông được trình bày trong Hình 8 và 9 cho các phương pháp phân tích độ lún của AASHTO (2008) và Schmertmann và các cộng sự (1978). Những kết quả phân tích mạnh mẽ này cho phép hiệu chuẩn trực tiếp các hệ số sức kháng đối với tải trọng áp dụng cho một tiêu chí SLS nhất định (độ lún).
Dữ liệu trong Hình 8 và 9 liên quan đến các thông số sau: 1 ft (0.30 m) ≤ B ≤ 28 ft (8.53 m), Bavg = 8 ft (2.44 m), 1.0 ≤ L/B ≤ 6.79, L/Bavg = 1.55, 25.2 ksf (1,205 kPa) ≤ qmax ≤ 177.9 ksf (8,520 kPa). Trong đó: B và L lần lượt là chiều rộng và chiều dài của móng, qmax là ứng suất tối đa tác động lên nền móng dưới độ lún đo được.
Bảng 3. Cọc ống 42 in—tóm tắt (đường kính = 42in, chiều dày thành (w.t.) = 1in, mũi 2 in, chiều sâu xuyên = 64ft)
Tĩnh:
Tổ hợp sức chịu tải cọc tĩnh: Giả định thể tích đất bị chiếm chỗ dựa trên chiều dày thành đồng đều (1.0 in)
| Tổ hợp phân tích |
Sức chịu tải ước tính (Rn) (kips) |
Hệ số sức kháng theo NCHRP 507 cho cọc ống trong cát (\(\phi\)) |
Sức kháng có xét hệ số (Rr) |
Hệ số sức kháng theo NCHRP 507 cho cọc ống trong đất hỗn hợp (\(\phi\)) |
Sức kháng có xét hệ số (Rr) |
Hệ số sức kháng theo tiêu chuẩn AASHTO LRFD 2006 (\(\phi\)) |
Sức kháng có xét hệ số (Rr) |
|---|---|---|---|---|---|---|---|
| β-Method/Thurman (chỉ thép) | 924 | 0.35 | 324 | 0.25 | 231 | Không quy định | – |
| β-Method/Thurman (30% diện tích mũi) | 984 | 345 | 246 | – | |||
| β-Method/Thurman (50% diện tích mũi) | 1,084 | 380 | 271 | – | |||
| β-Method/Thurman (70% diện tích mũi) | 1,184 | 415 | 296 | – | |||
| β-Method/Thurman (100% diện tích mũi, có nút đất) | 1,335 | 467 | 334 | – | |||
| Nordlund/Thurman (chỉ thép) | 690 | 0.55 | 379 | 0.35 | 241 | 0.45 | 310 |
| Nordlund/Thurman (30% diện tích mũi) | 750 | 412 | 262 | 337 | |||
| Nordlund/Thurman (50% diện tích mũi) | 850 | 467 | 297 | 382 | |||
| Nordlund/Thurman (70% diện tích mũi) | 950 | 522 | 332 | 427 | |||
| Nordlund/Thurman (100% diện tích mũi, có nút đất) | 1,101 | 605 | 385 | 495 |
| 1. | Hệ số sức kháng được lấy từ các hệ số sức kháng cho kết cấu siêu tĩnh được liệt kê trong Bảng 25 của Báo cáo NCHRP 507 (Paikowsky và cs., 2004). |
| 2. | Sức kháng mũi đối với trường hợp chỉ xét thép chỉ bao gồm chiều dày thành 2 in., có xét đến mũi thép khi đóng cọc. |
| Phạm vi khuyến nghị cho thiết kế sơ bộ chỉ áp dụng cho trường hợp có nút đất. |
Tải trọng tĩnh (cọc ống hở)
Sức chịu tải theo thí nghiệm tải trọng (theo tiêu chuẩn Davisson):
\[
Q_u = 320\ \text{kips tại } 0.52\ \text{in}
\]
Hệ số sức kháng theo Báo cáo NCHRP 507 và tiêu chuẩn AASHTO:
\[
\phi = 0.55 \quad \text{(1 cọc, mức biến thiên hiện trường lớn)}
\]
\[
\phi = 0.70 \quad \text{(1 cọc, mức biến thiên hiện trường trung bình)}
\]
Sức kháng có xét hệ số:
\[
R_r = 176 \text{ đến } 224\ \text{kips}
\]
Tài liệu tham khảo: Kết quả thí nghiệm tải trọng do H&A trình bày và phân tích.
1.4.6 Quan điểm về hiệu chuẩn ULS của móng nông
Các mục trước đã trình bày các khuôn dạng hiện có để xây dựng hệ số và một phương thức triển khai hiệu quả dựa trên các cơ sở dữ liệu tin cậy. Cách tiếp cận RFA đã được thiết lập này đã được sử dụng trong hai nghiên cứu quy mô lớn: một nghiên cứu liên quan đến ULS của móng sâu (Dự án NCHRP 24-17) và một nghiên cứu liên quan đến SLS của toàn bộ các loại móng (Dự án NCHRP 12-66).
Tính phức tạp của ULS đối với móng nông (sẽ được thảo luận ở mục tiếp theo) đòi hỏi một cách tiếp cận đa diện, trong đó các tổ hợp hiệu chuẩn khác nhau được sử dụng để thu được các hệ số mong muốn. Phương pháp tiếp cận này được trình bày ở Chương 2 của báo cáo này. Cần có nhiều cách tiếp cận cho ULS của móng nông vì các lý do sau:
- Sức chịu tải của móng nông trên đất rời dưới tải trọng thẳng đứng đúng tâm được tính bằng một mô hình tương đối đơn giản (mô hình sức chịu tải không có các hệ số liên quan đến lực dính, chỉ được hiệu chỉnh bởi các hệ số hình dạng và chiều sâu). Loại móng và dạng tải trọng này thường được thí nghiệm, do đó có thể được hiệu chuẩn bằng một cơ sở dữ liệu lớn (cơ sở dữ liệu được trình bày ở Mục 3.2).
- Việc xác định sức chịu tải của móng nông dưới điều kiện tải trọng tổ hợp đòi hỏi một mô hình nhiều tham số. Sự phân biệt giữa các điều kiện tải trọng thuận lợi và bất lợi khá phức tạp do tải trọng và sức kháng có quan hệ liên hợp. ULS dưới tải trọng tổ hợp đòi hỏi vừa phải hiệu chuẩn phương pháp hiện hành, vừa phải khảo sát một cách tiếp cận thiết kế khác, như mô tả trong Mục 1.5.
- Sức chịu tải của móng nông trên đá dưới mọi dạng tải trọng phụ thuộc rất lớn vào tỷ lệ tương đối giữa bề rộng móng với khoảng cách giữa các mặt gián đoạn trong đá, cũng như vào bản chất của đá và các mặt gián đoạn đó. Hiện chưa có lý thuyết sức chịu tải nào được thiết lập cho các trường hợp này. Vì vậy, hiệu chuẩn các trường hợp như vậy, cả cho ULS và SLS (không nằm trong Dự án NCHRP 12-66), đòi hỏi phải xây dựng các mô hình, sử dụng các phương pháp phân tích tinh vi để đánh giá cả cường độ lẫn trạng thái sử dụng, đồng thời thực hiện đánh giá xác suất đối với dữ liệu chưa đầy đủ và việc hiệu chuẩn.


Hình 8.
(a) Biểu đồ phân bố tần suất và các phân bố tần suất của tỷ số giữa tải trọng đo được và tải trọng tính toán ứng với độ lún \((\Delta = 0.25\ \text{in})\) theo phương pháp phân tích của AASHTO cho 85 trường hợp móng nông; và
(b) sự biến thiên của độ chệch \((\lambda)\) và độ không chắc chắn trong tỷ số giữa tải trọng đo được và tải trọng tính toán đối với móng nông trên đất rời, ứng với các chuyển vị trong khoảng từ 0.25 đến 3.00 in.
1.5 Sức chịu tải của móng nông
1.5.1 Công thức cơ bản
Buisman (1940) và Terzaghi (1943) đã áp dụng nghiệm về hiện tượng đâm thủng trong kim loại do Prandtl (1920, 1921) đề xuất cho bài toán sức chịu tải của móng. Họ đã thiết lập một phương trình sức chịu tải gồm ba thành phần bằng cách chồng chất tác dụng của lực dính của đất, áp lực phủ của đất và trọng lượng bản thân của đất, tương ứng. Đối với trường hợp tổng quát của tải trọng thẳng đứng đúng tâm tác dụng lên móng băng cứng (bài toán biến dạng phẳng) đặt trên bề mặt đất ma sát-dính có áp lực phủ đều bằng \(q\), sức chịu tải giới hạn \((q_u)\) được cho như sau:
\[
q_u = cN_c + qN_q + \left(\frac{1}{2}\right)\gamma BN_{\gamma}
\tag{19}
\]
trong đó
\(\qquad c =\) lực dính của đất;
\(\qquad \gamma =\) dung trọng của đất bên dưới móng;
\(\qquad B = \) bề rộng móng;
\(\qquad q = \)áp lực phủ tại cao độ đáy móng; và
\(\qquad \qquad N_c, N_q, N_{\gamma}\) lần lượt là các hệ số sức chịu tải ứng với lực dính, áp lực phủ và trọng lượng bản thân của đất.
Đối với đất không trọng lượng \((\gamma = 0)\), Prandtl (1920) và Reissner (1924) đã phát triển các công thức sau cho \(N_c\) và \(N_q\):
\[
N_c = (N_q – 1)\cot \phi_f\tag{20}
\]
\[
N_q=e^{\pi \tan \phi_f}\tan^2\left(45^\circ+\frac{\phi_f}{2}\right)\tag{21}
\]
trong đó \(\phi_f\) = góc ma sát.
Hệ số sức chịu tải \(N_c\) đôi khi được quy cho Caquot và Kérisel (1953). Các công thức này là các nghiệm dạng khép kín chính xác, dựa trên giả thiết của Prandtl’s về các mặt phá hoại (xem Hình 10), trong đó chuyển động đi xuống của nêm chủ động (\(I\)) được chống lại bởi sức kháng cắt dọc theo các mặt trượt CDE (dọc theo vùng chuyển tiếp (\(II\)) và nêm bị động (\(III\)) và bởi áp lực phủ \(q\).


Hình 9.
(a) Biểu đồ phân bố tần suất và các phân bố tần suất của tỷ số giữa tải trọng đo được và tải trọng tính toán ứng với độ lún \((\Delta = 0.25\ \text{in})\), sử dụng các phương pháp phân tích của Schmertmann (1970) và Schmertmann và cs. (1978) cho 81 trường hợp móng nông; và
(b) sự biến thiên của độ chệch \((\lambda)\) và độ không chắc chắn trong tỷ số giữa tải trọng đo được và tải trọng tính toán đối với móng nông trên đất rời, ứng với các chuyển vị trong khoảng từ 0.25 đến 3.00 in.

1.5.2 Hệ số \(N_{\gamma}\)
1.5.2.1 Các công thức của \(N_{\gamma}\)
Không thể có một nghiệm giải tích dạng khép kín cho bài toán sức chịu tải có xét đến ảnh hưởng của dung trọng đất bên dưới móng thông qua hệ số \(N_{\gamma}\). Nhiều nghiệm khác nhau cho \(N_{\gamma}\) đã được xây dựng dựa trên các quan hệ thực nghiệm, các phép suy dẫn giải tích hoặc các phân tích số. Một số nghiệm như vậy được liệt kê dưới đây và được trình bày trong Hình 11 để so sánh.
1.5.2.2 Các công thức dựa trên quan hệ thực nghiệm
Các công thức dựa trên quan hệ thực nghiệm như sau:
Meyerhof (1963):
\[
N_{\gamma}=(N_q-1)\tan(1.4\phi_f)
\tag{22}
\]

theo các đề xuất khác nhau.
Muhs và Weiss (1969) và Muhs (1971), được Eurocode 7 (2005) và DIN 4017 (2006) áp dụng:
\[
N_{\gamma}=2(N_q-1)\tan\phi_f \tag{23}
\]
Brinch Hansen (1970):
\[
N_{\gamma}=1.5(N_q-1)\tan\phi_f \tag{24}
\]
Steenfelt (1977):
\[
N_{\gamma}=
\left(0.08705+0.3231\sin(2\phi_f)-0.04836\sin^2(2\phi_f)\right)
\left[
N_q e^{\frac{\pi}{2}\tan\phi_f}-1
\right]
\tag{25}
\]
Gudehus (1981):
\[
N_{\gamma}=e^{\left(5.19\tan\phi_f\right)^{1.5}}-1
\tag{26}
\]
Ingra và Baecher (1983) cho móng có (L/B=6):
\[
N_{\gamma}=e^{(-1.646+0.173\phi_f)}
\tag{27}
\]
Ingra và Baecher (1983) cho móng vuông:
\[
N_{\gamma}=e^{(-2.046+0.173\phi_f)}
\tag{28}
\]
1.5.2.3 Các công thức dựa trên suy dẫn giải tích
Các công thức dựa trên suy dẫn giải tích như sau:
Vesić (1973):
\[
N_{\gamma}=2(N_q+1)\tan\phi_f
\tag{29}
\]
Chen (1975):
\[
N_{\gamma}=2(N_q+1)\tan\left(45+\frac{\phi_f}{2}\right)
\tag{30}
\]
Michalowski (1997) cho đáy móng nhám:
\[
N_{\gamma}=e^{(0.66+5.11\tan\phi_f)}\tan\phi_f
\tag{31}
\]
Zhu và cs. (2001):
\[
N_{\gamma}=(2N_q+1)\tan(1.07\phi_f)
\tag{32}
\]
1.5.2.4 Các công thức dựa trên phân tích số
Có một công thức dựa trên phân tích số:
Bolton và Lau (1993):
\[
N_{\gamma}=(N_q-1)\tan(1.5\phi_f)
\tag{33}
\]
1.5.3 Công thức sức chịu tải tổng quát
Phương trình cơ bản của Terzaghi đã được hiệu chỉnh để xét đến ảnh hưởng của hình dạng móng, độ nghiêng của tải trọng, độ lệch tâm của tải trọng và sức kháng cắt của đất chôn lấp phụ thuộc vào sức chịu tải giới hạn. Một số hiệu chỉnh này ban đầu được Meyerhof (1953) đưa vào và sau đó được Meyerhof (1963), Brinch Hansen (1961, 1970) và Vesić (1973, 1975) phát triển thêm để tạo thành cái gọi là phương trình sức chịu tải tổng quát:
\[
q_u = cN_c s_c d_c i_c + qN_q s_q d_q i_q + \left(\dfrac{1}{2}\right)\gamma B’N_{\gamma}s_{\gamma}d_{\gamma}i_{\gamma}
\tag{34}
\]
trong đó
- \(s_i =\)các hệ số hình dạng,
- \(i_i =\) các hệ số nghiêng tải,
- \(d_i =\) các hệ số chiều sâu, và
- \(B’\) = bề rộng hữu hiệu (tức bề rộng làm việc) của móng, có xét đến ảnh hưởng của độ lệch tâm tải trọng (xem Phương trình 35).
Các cách tiếp cận khác nhau để tính các hệ số này, bao gồm việc đánh giá và xem xét phê phán, được trình bày trong các mục sau.
1.5.4 Độ lệch tâm
Ảnh hưởng của tải trọng lệch tâm đến sức chịu tải thường được xét đến thông qua khái niệm diện tích hữu hiệu của Meyerhof (1953). Sức chịu tải được tính theo các kích thước hữu hiệu của móng như sau:
\(L’ = L – 2e_L\)
\(B’ = B – 2e_B\)
với \( e_B = \frac{M_L}{V}\) và \(e_L = \frac{M_B}{V} \qquad \qquad (35)\)
trong đó
- \(M\), \(M_B\) và \(M_L =\) các mô men tải trọng theo các phương \(L\) và \(B\), tương ứng;
- \(V =\) tổng tải trọng thẳng đứng; và
- \(e_L\) và \(e_B = \) độ lệch tâm tải trọng theo chiều dài móng \((L)\) và chiều rộng móng \((B)\), tương ứng.
Ngược lại, các cách tiếp cận khác mô tả sự suy giảm sức chịu tải khi độ lệch tâm của tải trọng tăng lên bằng cách giảm các hệ số. Các hệ số này biểu thị tỷ số giữa sức chịu tải giới hạn trung bình dưới tải trọng lệch tâm, \(q_u\), với sức chịu tải giới hạn dưới tải trọng đúng tâm, \(q_\text{u centric}\). Các công thức đó phần lớn dựa trên các thí nghiệm mô hình quy mô nhỏ trên đất không dính, không có chiều sâu chôn móng, tức là chiều sâu chôn móng \((D_f)\)=0 và \(c=0\). Một số cách tiếp cận được nêu dưới đây, và việc đánh giá chúng được trình bày ở Hình 12. Các cách tiếp cận như sau:

Meyerhof (1953):
\[
\dfrac{q_u}{q_\text{u centric}}=\left(1-2\dfrac{e}{B}\right)^2
\tag{36}
\]
Giraudet (1965):
\[
\dfrac{q_u}{q_\text{u centric}}=e^{-12\left(\frac{e}{B}\right)^2}
\tag{37}
\]
Ticof (1977):
\[
\dfrac{q_u}{q_\text{u centric}}=\left(1-1.9\dfrac{e}{B}\right)^2
\tag{38}
\]
Bowles (1996):
\[
\dfrac{q_u}{q_\text{u centric}}=1-\sqrt{\dfrac{e}{B}}
\qquad \text{cho } 0<\dfrac{e}{B}<0.3
\tag{39}
\]
Paolucci và Pecker (1997):
\[
\dfrac{q_u}{q_\text{u centric}}=\left(1-\dfrac{e}{0.5B}\right)^{1.8}
\qquad \text{cho } \dfrac{e}{B}<0.3
\tag{40}
\]
Ingra và Baecher (1983):
\[
\dfrac{q_u}{q_\text{u centric}}=1-3.5\left(\dfrac{e}{B}\right)+3.03\left(\dfrac{e}{B}\right)^2
\tag{41}
\]
Gottardi và Butterfield (1993):
\[
\dfrac{q_u}{q_\text{u centric}}=1-\dfrac{e}{0.36B}
\tag{42}
\]
Perau (1995, 1997):
\[
\dfrac{q_u}{q_\text{u centric}}=1-2.5\dfrac{e}{B}
\tag{43}
\]
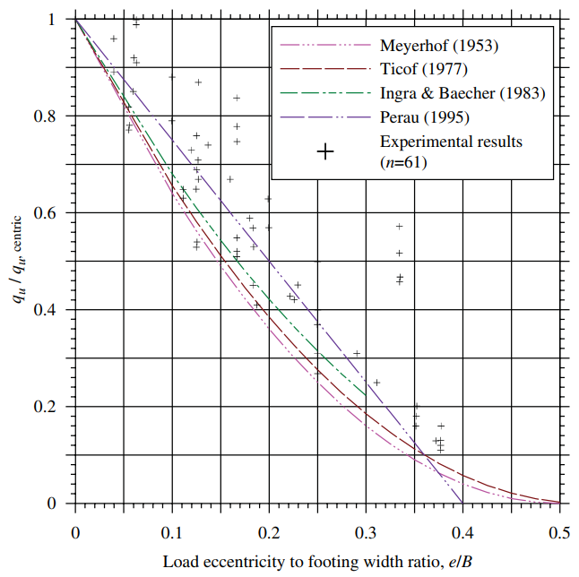
Hình 12 trình bày tỷ số giữa sức chịu tải dưới tải trọng lệch tâm và dưới tải trọng đúng tâm theo tỷ số giữa độ lệch tâm tải trọng và bề rộng nhỏ hơn của móng \((B)\) đối với móng băng. Từ hình này có thể thấy rằng ảnh hưởng của độ lệch tâm tải trọng trong các cách tiếp cận của Meyerhof (1953), Ticof (1977), và Ingra và Baecher (1983) là khá tương tự nhau. Đường cong theo Bowles (1996) cho thấy một xu hướng khác và, khi \(e/B > 0.1\), mức giảm sức chịu tải ít rõ rệt hơn so với ba cách tiếp cận nêu trên. Ngược lại, cách tiếp cận của Giraudet (1965) cho thấy một xu hướng hoàn toàn khác và mức giảm sức chịu tải nhỏ hơn nhiều đối với các độ lệch tâm tải trọng nhỏ. Không thể rút ra kết luận về tính hợp lệ của các cách tiếp cận khác nhau chỉ dựa trên riêng hình này. Ví dụ, có vẻ như cách tiếp cận của Meyerhof (1953) dẫn đến sức chịu tải lớn hơn; tuy nhiên, điều này không hoàn toàn đúng. Sự thay đổi của các hệ số hình dạng do sự thay đổi kích thước móng, tức là bề rộng hữu hiệu và chiều dài hữu hiệu, cũng phải được xét đến.
Hình 13 cho thấy một số cách tiếp cận đã được xem xét cùng với các kết quả thực nghiệm do Perau (1995) trích dẫn. Có thể thấy rằng ba phương trình được chọn lọc (Meyerhof, 1953; Ticof, 1977; và Ingra và Baecher, 1983) biểu diễn cận dưới của các kết quả thực nghiệm.

1.5.5 Các hệ số hình dạng
Ảnh hưởng của hình dạng móng khác với móng băng (điều kiện biến dạng phẳng) phải được xét đến thông qua các hệ số hình dạng của móng. Về mặt lý thuyết, một móng được xem là móng băng khi tỷ số chiều dài trên chiều rộng \(L/B > 10\). Trong thực tế, các móng có tỷ số \(L/B > 5\) đã có ứng xử như móng băng (Vesic, 1975). Do khó khăn trong việc xây dựng các nghiệm toán học có xét đến ảnh hưởng của hình dạng móng, các cách tiếp cận bán thực nghiệm đã được thiết lập. Nhiều quan hệ được đề xuất cho các hệ số hình dạng \(s_i\) được liệt kê trong Bảng 4. Đối với móng chịu tải lệch tâm, phải sử dụng các kích thước hữu hiệu của móng \(B’\) và \(L’\) để tính các hệ số hình dạng (ví dụ: AASHTO, 2007; EC 7, 2005).
Các hệ số hình dạng trình bày trong Bảng 4 đều là thực nghiệm, ngoại trừ các biểu thức của Zhu và Michalowski (2005), được suy ra từ các mô phỏng số. Chẳng hạn, để xác định hệ số hình dạng (s_{\gamma}), các móng có các tỷ số chiều dài trên chiều rộng \((L/B)\) khác nhau dưới tải trọng thẳng đứng đúng tâm và không có chiều sâu chôn móng đã được mô hình hóa và phân tích.
Hình 14 và 15 lần lượt trình bày các giá trị số của các hệ số hình dạng nêu trên \(s_{\gamma}\) và \(s_q\) theo tỷ số chiều rộng trên chiều dài của móng, \(B/L\). Do sức chịu tải theo Phương trình 19 được xây dựng cho móng băng với giả thiết điều kiện biến dạng phẳng, nên các giá trị của hệ số hình dạng tiến dần đến 1 đối với móng dài \((khi\ B/L \to 0)\). Trong thực tế, giá trị của \(s_{\gamma}\) nằm trong khoảng \(1 \pm 0.05\) khi \(L/B \ge 6.7\) \((B/L \le 0.15)\), và giá trị của \(s_q\) cũng nằm trong cùng khoảng đó khi \(L/B \ge 10.0\) \((B/L \le 0.10)\) đối với phần lớn các trường hợp.
Đối với các móng có tỷ số kích thước gần bằng 1 (tiến tới móng đẳng thước), sự sai khác của các hệ số hình dạng so với giá trị 1 theo đề xuất của các tác giả khác nhau cho thấy cần phải rất thận trọng khi lựa chọn các hệ số hình dạng. Các giá trị \(s_{\gamma}\) do Meyerhof (1963) đề xuất (xem Hình 14) luôn lớn hơn 1 và tăng khi tỷ số chiều rộng trên chiều dài \((B/L)\) giảm. Ngược lại, các giá trị tính theo các phương trình khác lại giảm xuống dưới 1 khi tỷ số này tăng. Lý do là vì các giá trị \(N_{\gamma}\) của Meyerhof (1963) đối với móng băng \((B/L \to 0)\) nhỏ hơn so với móng tròn \((B/L=1)\), và sức chịu tải của các móng có tỷ số chiều rộng trên chiều dài nằm giữa \(B/L \to 0\) và \(B/L=1\) được nội suy tuyến tính.
Vì vậy, nên sử dụng một bộ phương trình nhất quán cho các hệ số sức chịu tải và các hiệu chỉnh của chúng do cùng một tác giả đề xuất trong tính toán sức chịu tải. Tóm lại, hình dạng móng (thay đổi từ móng băng đến móng có kích thước hai phương xấp xỉ nhau), và do đó các hệ số hình dạng, có ảnh hưởng quan trọng đến sức chịu tải giới hạn.
Bảng 4. Các hệ số hình dạng do các tác giả khác nhau đề xuất.
| Tài liệu tham khảo | Hình dạng đáy móng | \(s_c\) | \(s_q\) | \(s_\gamma\) |
|---|---|---|---|---|
|
De Beer (1970) theo Meyerhof và Vesić (1973) |
Chữ nhật | \(1 + \dfrac{B’}{L’} \ \dfrac{N_q}{N_c}\) | \(1 + \dfrac{B’}{L} \ tan\phi_f\) | \(1-0.4\dfrac{B’}{L’}\) |
| Tròn và vuông | \(1 + \dfrac{N_q}{N_c}\) | \(1 + tan\phi_f\) | 0.6 | |
|
EC 7 (2005) và DIN 4017 (2006) |
Chữ nhật | \(\dfrac{s_q N_q – 1}{N_q-1}\) | \(1+\dfrac{B’}{L’} sin\phi_f\) | \(1 – 0.3 \dfrac{B’}{L’}\) |
| Tròn và vuông | \(\dfrac{s_q N_q – 1}{N_q-1}\) | \(1 + sin\phi_f\) | 0.7 | |
| Meyerhof (1963) | Chữ nhật | \(1 + 0.1\dfrac{B’}{L’} K_p\) |
\(= 1; \text{với} \phi_f = 0\) \(= 1 + 0.1 K_p (B’/L’)\); với \(\phi_f\) > 10° |
\(1 + 0.1\dfrac{B’}{L’}K_p\) \(K_p = tan^2(45^o+\dfrac{\phi_f}{2})\) |
| Perau (1995, 1997) | Chữ nhật | Không áp dụng | \(1 + 1.6 tan \phi_f \dfrac{B’/L’}{1+(B’/L’)^2}\) | \(\dfrac{1}{1+\dfrac{B’}{L’}}\) |
|
Zhu và Michalowski (2005) |
Chữ nhật | Không áp dụng | Không áp dụng |
\(1+(0.6sin^2\phi_f – 0.25)(B’/L’)\) với \(\phi_f \leq 30^o\); \(1+(1.3 sin^2\phi_f – 0.50)(L’/B’)^{1.5} e^{-L’/B’}\) với \(\phi_f > 30^o\); |
\(\\\)
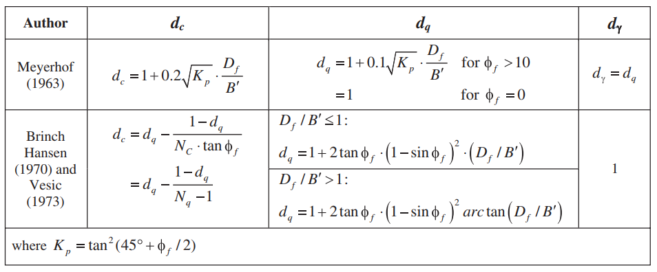
1.5.6 Các hệ số chiều sâu
Nếu móng được đặt ở một chiều sâu chôn móng nhất định, \(D_f\), dưới mặt đất, thì sức chịu tải bị ảnh hưởng theo hai cách: thứ nhất, bởi áp lực phủ, \(q=\gamma \cdot D_f\), và thứ hai, thông qua sức kháng cắt của lớp đất phía trên cao độ đáy móng. Bảng 5 trình bày các biểu thức thường dùng của các hệ số chiều sâu. Hình 16 trình bày các giá trị của hệ số chiều sâu \(d_q\) theo góc ma sát đất đối với các biểu thức khác nhau nêu trong Bảng 5. Trái với các hệ số do Meyerhof (1963) đề xuất, hệ số chiều sâu \(d_q\) theo Brinch Hansen (1970) giảm khi góc ma sát của đất tăng lên. Các hệ số chiều sâu do Brinch Hansen đề xuất lớn hơn các hệ số do Meyerhof đề xuất. Các hệ số chiều sâu được nêu trong AASHTO (2007) cũng được thể hiện trong Hình 16. Các giá trị này nằm giữa các biểu thức do Meyerhof và Brinch Hansen đề xuất.
\(\\\)
1.5.7 Các hệ số nghiêng của tải
Sự nghiêng của tải trọng tác dụng luôn làm giảm sức chịu tải, thường với mức độ đáng kể (Brinch Hansen, 1970). Meyerhof (1953) đề xuất rằng thành phần thẳng đứng của sức chịu tải dưới tác dụng của tải trọng nghiêng một góc \(\alpha\) so với phương thẳng đứng được xác định bằng các hệ số nghiêng tải sau:
\[
i_c=i_q=(1-\alpha/90^\circ)^2
\tag{44}
\]
\[
i_{\gamma}=(1-\alpha/\phi_f)^2
\tag{45}
\]
Các biểu thức này đã được Meyerhof và Koumoto (1987) hiệu chỉnh và trình bày cho các trường hợp móng đặt trên bề mặt cát, khi tỷ số chiều sâu chôn móng ((D_f/B)) bằng 1, và cho các móng đặt trên bề mặt sét, như thể hiện trong các Phương trình 46 đến 48. Với giả thiết rằng một móng có đáy nhám hoàn toàn đặt trên bề mặt cát bắt đầu trượt khi góc nghiêng của tải trọng so với phương thẳng đứng xấp xỉ bằng góc ma sát của đất, biểu thức sau đã được đề xuất:
\[
i_{\gamma}=\cos\alpha\left(1-\dfrac{\sin\alpha}{\sin\phi_f}\right)
\qquad \text{cho } D_f/B’ = 0, \quad c=0
\tag{46}
\]
Bảng 5. Các hệ số chiều sâu do các tác giả khác nhau đề xuất.

Đối với trường hợp móng có tỷ số chiều sâu chôn móng bằng 1 trong nền đất có góc ma sát lớn hơn \(30^\circ\), hệ số nghiêng tải được biểu diễn như sau:
\[
i_{\gamma}=\cos\alpha(1-\sin\alpha)
\qquad \text{cho } \phi_f>30^\circ,\ D_f/B’ = 1,\ c=0
\tag{47}
\]
Đối với móng đặt trên bề mặt đất sét:
\(i_{\gamma}=\cos\alpha(1-\sin\alpha) \qquad \text{cho } c_a=0\)
\(i_{\gamma}=\cos\alpha(1-0.81\sin\alpha) \qquad \text{cho } c_a=c_n=\) sức kháng cắt không thoát nước của đất sét \(\qquad \qquad \qquad \) (48)
trong đó \(c_a\) = lực dính bám giữa đất sét và đáy móng.

Muhs và Weiss (1969) đã đề xuất, dựa trên các thí nghiệm DEGEBO (Deutsche Forschungsgesellschaft für Bodenmechanik) với các mô hình móng nông kích thước lớn trên cát, rằng có sự khác biệt rõ rệt giữa ảnh hưởng của tải trọng nghiêng khi hướng nghiêng theo phương cạnh dài \(L\) và khi hướng nghiêng theo phương cạnh ngắn \(B\). Vì vậy, hướng nghiêng của tải trọng cũng như tỷ số \(B/L\) đều ảnh hưởng đến hệ số nghiêng tải. Brinch Hansen (1970) đã đưa các ảnh hưởng của tải trọng nghiêng vào dưới dạng sau:
\[
i_q=\left(1-\frac{0.5H}{(V+A’c\cot\phi_f)}\right)^5
\tag{49}
\]
\[
i_{\gamma}=\left(1-\frac{0.7H}{(V+A’c\cot\phi_f)}\right)^5
\tag{50}
\]
Vesic (1975) đề xuất các hệ số dưới các dạng sau:
\[
i_q=\left(1-\frac{H}{(V+A’c\cot\phi_f)}\right)^n
\tag{51}
\]
\[
i_{\gamma}=\left(1-\frac{H}{(V+A’c\cot\phi_f)}\right)^{n+1}
\tag{52}
\]
\[
n=
\left[\frac{2+L’/B’}{1+L’/B’}\right]\cos^2\theta+
\left[\frac{2+B’/L’}{1+B’/L’}\right]\sin^2\theta
\tag{53}
\]
trong đó
- \(H\) và \(V =\) các thành phần tải trọng nghiêng theo phương ngang và phương đứng tương ứng, (P) (xem Hình 17);
- \(\theta\) = hướng chiếu của tải trọng trong mặt phẳng móng, đo từ cạnh có chiều dài (L), tính bằng độ;
- \(A’\) = diện tích hữu hiệu của móng;
- \(c\) = lực dính của đất; và
- \(L’\) và \(B’\) được xác định như trong Phương trình 35.
Hình 18 và 19 là các biểu diễn đồ thị của các Phương trình từ 49 đến 53 tương ứng cho các hệ số nghiêng tải \(i_q\) và \(i_{\gamma}\).


Hệ số nghiêng tải \(i_c\) được suy ra từ định lý của Caquot về các trạng thái ứng suất tương ứng (De Beer và Ladanyi, 1961, và Vesić, 1973, được Vesić, 1975 trích dẫn):
\(i_c=i_q-\dfrac{1-i_q}{N_c\tan\phi_f}=i_q-\dfrac{1-i_q}{N_q-1} \qquad\) cho \(\phi_f>0 \qquad \qquad \qquad \) (54a)
\(i_c=1-\dfrac{nH}{A’cN_c} \qquad \) cho \( \phi_f=0 \qquad \qquad\qquad \) (54b)
trong đó \(i_q\) được xác định theo Phương trình 51.


trọng nghiêng \((c = 0,\ D_f = 0)\).
Các hệ số giảm cho trường hợp tải trọng nghiêng so với trường hợp móng chịu tải đúng tâm và thẳng đứng có thể tìm thấy trong Ticof (1977), Ingra và Baecher (1983), và Gottardi và Butterfield (1993) (xem Hình 20). Các biểu thức này được xác định dựa trên kết quả thí nghiệm mô hình móng trên cát không có chiều sâu chôn móng, và do đó có giá trị cho trường hợp (\D_f = 0,\ c = 0\):
Ticof (1977):
\[
\frac{q_u}{q_\text{u, centric}}=\left(1-1.36\frac{H}{V}\right)^2
\tag{55}
\]
Ingra và Baecher (1983):
\[
\frac{q_u}{q_\text{u, centric}}=1-2.41\left(\frac{H}{V}\right)+1.36\left(\frac{H}{V}\right)^2
\tag{56}
\]
Gottardi và Butterfield (1993):
\[
\frac{q_u}{q_\text{u, centric}}=1-\frac{H}{0.48\cdot V}
\tag{57}
\]
1.6 Một cách tiếp cận và phương pháp phân tích thay thế cho thiết kế theo trạng thái giới hạn của móng nông
1.6.1 Một số khía cạnh về ổn định và an toàn của móng nông
1.6.1.1 Các trạng thái giới hạn về sức chịu tải và trượt
Các sức kháng địa kỹ thuật như sức chịu tải của móng nông phụ thuộc hoàn toàn vào tải trọng. Vì vậy, việc áp dụng LRFD trong các trường hợp móng chịu tải trọng phức tạp là khó khăn, do không có sự phân tách chặt chẽ giữa tải trọng và sức kháng. Hơn nữa, không phải lúc nào cũng rõ một tải trọng nên được phân loại là thuận lợi hay bất lợi, điều này có thể ảnh hưởng đến việc hiệu chuẩn các hệ số an toàn. Khó khăn trong việc phân loại này đặc biệt áp dụng đối với ảnh hưởng của tải trọng thẳng đứng lên sức chịu tải.
Để minh họa vấn đề này, Hình 21a cho thấy trạng thái giới hạn về sức chịu tải và trạng thái giới hạn về trượt của một móng nông dưới tải trọng nghiêng như một hàm của tải trọng thẳng đứng và tải trọng ngang. Trong cái gọi là biểu đồ tương tác này, trạng thái giới hạn trượt được biểu diễn bằng một đường thẳng đơn giản có độ nghiêng bằng \(\delta_s\), đại diện cho sức kháng cắt tại mặt tiếp xúc đất–móng có xét đến độ nhám của đáy móng. Trạng thái giới hạn về sức chịu tải là một đường cong kín trong hình minh họa này. Biểu đồ tương tác mô tả hiện tượng vật lý quen thuộc rằng sự xuất hiện của tải trọng ngang làm giảm sức chịu tải của móng nông, điều này được biểu diễn bằng các hệ số nghiêng tải trong phương trình sức chịu tải truyền thống. Một biểu đồ tương tự có thể được xây dựng cho trường hợp tải trọng thẳng đứng lệch tâm hoặc trong không gian ba chiều đối với tải trọng vừa lệch tâm vừa nghiêng.
Vì các hệ số nghiêng tải phụ thuộc vào độ nghiêng tải trọng đặc trưng \(H_k/V_k\), nên việc tính sức chịu tải hàm ý một quỹ đạo tải trọng hướng tâm, quỹ đạo này là như nhau đối với cả tải trọng và sức kháng như được chỉ ra trong Hình 21(a). Tuy nhiên, trong kiểm toán ổn định chỉ có các thành phần thẳng đứng của tải trọng và sức kháng được đem ra so sánh. Mặt khác, việc tính sức kháng trượt dựa trên giả thiết về một quỹ đạo tải trọng dạng bậc. Với một tải trọng thẳng đứng cho trước, sức kháng ngang tương ứng được tính toán, rồi bản thân nó được so sánh với thành phần tải trọng ngang. Các khoảng cách giữa tải trọng thiết kế (\(H_d\) hoặc \(V_d\), tương ứng) và sức kháng thiết kế (\(R_{h,d}\) hoặc \(R_{v,d\}), tương ứng) trong Hình 21(a) biểu thị mức độ huy động thực tế.
Trong Hình 21(b), trạng thái giới hạn sức chịu tải và trạng thái giới hạn trượt được quy chiếu theo sức kháng thẳng đứng lớn nhất, \(V_{max}\) (tức là dưới tác dụng của tải trọng thẳng đứng đúng tâm). Do đó, biểu đồ này thể hiện sự tương tác thuần túy giữa các thành phần tải trọng, không xét đến các ảnh hưởng khác lên sức chịu tải. Trong hình minh họa này cho thấy có thể tác dụng một tải trọng ngang lớn nhất \(H_{max}\) khi \(V/V_{max}=0.42\). Bây giờ xét một tải trọng ngang nào đó, \(H < H_{max}\). Trong trường hợp này, cần có một tải trọng thẳng đứng nhỏ nhất (min \(V\)) để mang tải trọng ngang đó. Điều này có nghĩa là độ nghiêng tải trọng bị giới hạn, và giới hạn này được quyết định bởi либо trạng thái giới hạn sức chịu tải, либо trạng thái giới hạn trượt, tùy theo trạng thái nào khống chế hơn.
Khi tải trọng thẳng đứng tăng lên, độ nghiêng tổng hợp của tải trọng giảm xuống, và do đó sức chịu tải của hệ tăng lên. Tuy nhiên, do dạng lồi của đường trạng thái giới hạn sức chịu tải, mức độ huy động tăng lên nếu \(V/V_{max} > 0.42\), vì vậy trị số tải trọng thẳng đứng có thể tác dụng cũng bị giới hạn (max \(V\)).

| Ghi chú: | |||
| H | tải trọng ngang tổng hợp | V | tải trọng thẳng đứng tổng hợp |
| Hmax | tải trọng ngang lớn nhất mà hệ có thể chịu được | min V |
tải trọng thẳng đứng nhỏ nhất cần thiết đối với một tải trọng ngang tác dụng nhất định |
| Hd | giá trị thiết kế của tải trọng ngang | max V |
tải trọng thẳng đứng lớn nhất có thể có đối với một tải trọng ngang tác dụng nhất định |
| Hk/Vk | độ nghiêng tải trọng (các giá trị đặc trưng) | VG | tải trọng thẳng đứng thường xuyên |
| Rv,d | giá trị thiết kế của sức chịu tải | ΔVG | tải trọng thẳng đứng thường xuyên bổ sung |
| Rv,k | giá trị đặc trưng của sức chịu tải | Vk | tải trọng thẳng đứng đặc trưng |
| Rh,d | giá trị thiết kế của sức kháng trượt | Vd | giá trị thiết kế của tải trọng thẳng đứng |
| Rh,k | giá trị đặc trưng của sức kháng trượt | Vmax |
sức chịu tải dưới tải trọng thẳng đứng thuần túy, tức tải trọng thẳng đứng lớn nhất mà hệ có thể chịu được |
| γR | hệ số sức kháng | V/Vmax | mức độ huy động của tải trọng thẳng đứng lớn nhất |
| δs | góc ma sát đáy | ||
1.6.1.2 Tác động tải trọng thuận lợi và bất lợi
Bây giờ xét một tải trọng thẳng đứng cho trước, chẳng hạn tải trọng tĩnh của móng, \(V_G\). Ở trạng thái giới hạn cường độ ULS (tức là trạng thái mà sức chịu tải đã được huy động hoàn toàn), tải trọng này đi kèm với một tải trọng ngang xác định. Một tải trọng ngang lớn hơn chỉ có thể được đặt vào nếu đồng thời tăng tải trọng thẳng đứng, ví dụ bằng cách tăng tĩnh tải tác dụng lên móng. Khi đó, tải trọng thẳng đứng đóng vai trò thuận lợi vì sự gia tăng tải trọng thẳng đứng làm cho tải trọng ngang có thể tăng lên. Tuy nhiên, các quan hệ này chỉ đúng khi \(V/V_{max} < 0.42\). Các tải trọng thẳng đứng lớn hơn \((V_G + \Delta V_G)\) lại trở thành bất lợi vì chúng làm giảm tải trọng ngang lớn nhất cho phép. Trong tình huống này, việc tăng tùy ý tĩnh tải tác dụng lên móng sẽ phản tác dụng vì nó không giúp cải thiện khả năng của hệ trong việc kháng tải trọng ngang. Các mối liên hệ tương tác phức tạp này cho thấy vai trò của thành phần tải trọng thẳng đứng không phải là duy nhất. Vì vậy, trong quy trình thiết kế tiêu chuẩn, rất khó phân loại tải trọng thẳng đứng là thuận lợi hay bất lợi. Tuy nhiên, việc sử dụng các biểu đồ tương tác đơn giản đã trình bày có thể giúp hiểu rõ hơn sự tương tác phức tạp giữa các thành phần tải trọng (Lesny, 2006).
1.6.1.3 Ví dụ
Các tác động thuận lợi và bất lợi có thể ảnh hưởng đến độ an toàn của hệ, như được minh họa trong ví dụ sau về một đê chắn sóng đứng (Lesny và Kisse, 2004; Lesny, 2006). Đê chắn sóng này là một kết cấu được đỡ bởi móng băng có bề rộng \(B_c\), đặt trên nền cát và chịu tải trọng thẳng đứng, tải trọng ngang và mô men (xem Hình 22). Các tham số cơ bản của hệ như sau (Lesny và cs., 2000; Oumeraci và cs., 2001):
- Thân khối (caisson): \(B_c = 17.5\ \text{m},\ h_c = 23\ \text{m}\)
- Lớp đá dăm: \(\phi_f = 44.2^\circ,\ \gamma’ \text{ (dung trọng hữu hiệu)} = 10.4\ \text{kN/m}^3,\ \tan\delta_s = 0.5\)
- Lớp đất nền bên dưới: \(\phi_f = 38.2^\circ,\ \gamma’ = 10.2\ \text{kN/m}^3\)
- Chiều sâu nước tại mực nước tĩnh: \(h_s = 15.5\ \text{m}\)

| hs | chiều sâu nước tại mực nước tĩnh (SWL) | ec | độ lệch tâm của trọng lượng bản thân FG của đê chắn sóng |
| hr | chiều cao gò đá đổ | Fh(t) | tải trọng sóng ngang |
| h* | chiều cao đỉnh sóng | Fu(t) | hợp lực áp lực nước đẩy nổi do tải trọng sóng |
| hC | chiều cao đê chắn sóng | S(t) | lực thấm trong gò đá đổ |
| BC | bề rộng đê chắn sóng |
Hình 23 biểu diễn trạng thái giới hạn sức chịu tải và trạng thái giới hạn trượt của đê chắn sóng đối với độ lệch tâm cố định \(e_c/B = 0.12\) trong mặt phẳng V-H.
Giả sử có một tổ hợp tải trọng đặc trưng giả định chủ yếu do trọng lượng bản thân và tải trọng sóng gây ra, như sau:
\(\qquad H_{Q,k}\) (tải trọng đặc trưng giả định theo phương ngang do trọng lượng bản thân) = 2.55MN
\(\qquad V_{G,k}\) (tải trọng đặc trưng giả định theo phương đứng do sóng) = 15MN
Các tải trọng thiết kế có hệ số dưới đây được xây dựng với giả thiết hệ số tải trọng theo phương đứng và phương ngang là \(\gamma_G = 1.35\) và \(1.00\), tương ứng cho tác động thường xuyên bất lợi và thuận lợi, và \(\gamma_Q = 1.50\) và \(1.0\), tương ứng cho tác động biến đổi bất lợi và thuận lợi. Hệ số \(\gamma_G\) chỉ áp dụng cho các tải trọng thẳng đứng, còn hệ số \(\gamma_Q\) được áp dụng cho các tải trọng ngang. Các tải trọng thiết kế có hệ số theo phương ngang và phương đứng như sau:
\(\qquad H_{Q,d} = \) 3.82MN
\(\qquad V_{G,d} = \) 15MN (V thuận lợi)
\(\qquad V_{G,d} = \) 20.3MN (V bất lợi)
Ở đây, độ an toàn của hệ có thể được biểu thị bằng hệ số sức kháng khả dụng, thu được từ sức kháng đặc trưng chia cho tải trọng thiết kế tương ứng: \(\gamma_R = R_k \ / L_d\). Do đó, đối với trạng thái giới hạn trượt, độ an toàn là: \(\gamma_{R,h} = R_{h,k}/H_{Q,d} = 2.0\). Đối với trạng thái giới hạn sức chịu tải, độ an toàn là: \(\gamma_{R,v} = R_{v,k}/V_{G,d} = 2.7\) nếu V là thuận lợi, nhưng chỉ là \(\gamma_{R,v} = 2.0 \) nếu V là bất lợi. Trong cả hai trường hợp, độ an toàn của hệ có vẻ là đủ.
Tuy nhiên, các kết quả này không phản ánh độ an toàn thực sự của móng. Trong biểu đồ tương tác ở Hình 23, độ an toàn thực được biểu diễn bằng khoảng cách ngắn nhất từ điểm tải trọng đến đường sức kháng của móng, như được chỉ ra bằng các mũi tên. Các thành phần tải trọng bổ sung tác dụng dọc theo quỹ đạo này là nguy hiểm nhất. Nếu có thể xảy ra các quỹ đạo tải trọng bất kỳ, thì chỉ những thành phần tải trọng bổ sung tác dụng trong phạm vi các đường tròn phác họa trên Hình 23 mới là chấp nhận được. Tình huống tải trọng tới hạn như vậy không phải là giả tạo; nó có thể xảy ra nếu chiều cao sóng lớn hơn giá trị giả định trong thiết kế, dẫn đến tải trọng ngang tăng lên đồng thời tải trọng thẳng đứng giảm do lực đẩy nổi.
Độ an toàn thực có thể được xác định với sự trợ giúp của vectơ tải trọng thiết kế có hệ số \(\vec{Q} = [V_{G,d}; H_{Q,d}]\) và vectơ tải trọng bổ sung \(\Delta \vec{Q}\) trong mặt phẳng V-H, vectơ này trùng với bán kính của các đường tròn trong Hình 23 (Butterfield, 1993). Đối với các thành phần tải trọng thiết kế đã cho (\(\vec{Q}\)), thành phần tải trọng bổ sung lớn nhất bị khống chế bởi trạng thái giới hạn trượt và có giá trị: \(\Delta Q = 3.30\)MN (V thuận lợi), hoặc \(\Delta Q = 5.68\)MN (V bất lợi). Tương ứng, độ an toàn thực của hệ là:
\(\\\)
\(\\\)

| H | tải trọng ngang tổng hợp | V | tải trọng thẳng đứng tổng hợp |
| Hd | giá trị thiết kế của tải trọng ngang tổng hợp | Vd | giá trị thiết kế của tải trọng thẳng đứng tổng hợp |
| Rh,k | giá trị đặc trưng của sức kháng trượt | γR,h | hệ số sức kháng khả dụng đối với trượt |
| Rv,k | giá trị đặc trưng của sức chịu tải | γR,v | hệ số sức kháng khả dụng đối với sức chịu tải |
\(\\\)
Độ an toàn thực trong cả hai trường hợp đều nhỏ hơn đáng kể so với giá trị đã tính trước đó theo quy trình thiết kế thông thường. Tuy nhiên, độ an toàn khi giả thiết V là bất lợi lại lớn hơn khi V là thuận lợi, điều này cũng được thể hiện qua mũi tên dài hơn trong Hình 23. Kết quả này không chỉ mâu thuẫn với kết quả tính toán độ an toàn theo cách thông thường, mà còn không nhất quán với việc phân loại V là tải trọng bất lợi ngay từ đầu, bởi vì tải trọng này trên thực tế đã làm tăng độ an toàn của hệ.
Nguyên nhân của những điểm không nhất quán này nằm ở dạng lồi của đường sức kháng tổng hợp. Do đó, độ an toàn của hệ phụ thuộc vào quỹ đạo tải trọng. Điều này có thể rất nghiêm trọng đối với các tình huống thiết kế có tải trọng biến đổi lớn, đặc biệt khi tải trọng thẳng đứng nhỏ.
1.6.1.4 Kết luận và phương án thay thế
Ví dụ ở Mục 1.6.1.3 cho thấy rõ rằng việc giả định một số đường truyền tải trọng nhất định trong các quy trình thiết kế truyền thống có thể dẫn đến diễn giải sai về mức độ an toàn. Vì vậy, để hiệu chỉnh các hệ số sức kháng, cần phải xác định trước các tổ hợp tải trọng có thể có và các đường truyền tải trọng tương ứng để đánh giá mức độ ảnh hưởng của chúng đến sức chịu tải. Vì mục đích này, việc sử dụng biểu đồ tương tác để trực quan hóa và hiểu rõ hơn là hữu ích, và thậm chí có thể là cần thiết.
Bài toán này cũng có thể được giải bằng một phương pháp thiết kế thay thế, trong đó xét trực tiếp sự tương tác giữa các thành phần tải trọng khác nhau mà không giả định các đường truyền tải trọng cụ thể. Phương pháp này dựa trên một định nghĩa nhất quán về ULS của móng nông thông qua một phương trình trạng thái giới hạn duy nhất, không cần phân biệt giữa các dạng phá hoại khác nhau. Mô hình này cũng có thể được mở rộng để phân tích biến dạng của móng trong SLS. Một mô hình như vậy sẽ được giới thiệu trong mục tiếp theo.
1.6.1.5 Ghi chú về tài liệu tham khảo của các công trình liên quan
Khái niệm biểu đồ tương tác để mô tả ULS của móng nông được Butterfield và Ticof (1979) giới thiệu. Khái niệm này sau đó được Nova và Montrasio (1991), Montrasio và Nova (1997), Gottardi và Butterfield (1993, 1995), Martin và Houlsby (2000, 2001), cùng nhiều tác giả khác sử dụng. Tuy nhiên, các công trình này tập trung vào việc tính toán chuyển vị và góc quay, về cơ bản là xét các lực và mô men tác dụng trong một mặt phẳng duy nhất (bài toán một phương, tải lệch tâm có xét độ nghiêng). Do đó, điều kiện phá hoại chỉ đóng vai trò thứ yếu và được xác lập thuần túy bằng phương pháp khớp đường cong.
Nghiên cứu về các điều kiện tải trọng bất kỳ (tải ngang theo hai phương, lệch tâm và tải xoắn) lần đầu tiên được Lesny (2001) phát triển, với các tham số ảnh hưởng thu được gắn với các yếu tố vật lý thay vì chỉ khớp đường cong (xem thêm Lesny và Richwien, 2002, và Lesny và nnk., 2002). Lesny đã sử dụng các nghiên cứu thực nghiệm trước đó do Perau (1995, 1997) thực hiện tại Viện Cơ học đất và Kỹ thuật nền móng, Đại học Duisburg-Essen (UDE), Essen, Đức. Gần đây, Byrne và Houlsby (2005) và Bienen và nnk. (2006) cũng đã trình bày các nghiên cứu thực nghiệm về móng nông trên cát dưới điều kiện tải trọng bất kỳ.
Trong nghiên cứu này, điều kiện phá hoại hoặc chảy dẻo được xác định bằng cái gọi là các thử nghiệm quét (swipe tests), trong đó đường truyền tải trọng bám sát bề mặt phá hoại hoặc bề mặt chảy dẻo trong biểu đồ tương tác. Tuy nhiên, việc sử dụng các dữ liệu này cho dự án nghiên cứu được báo cáo ở đây (Dự án NCHRP 24-31) có thể bị hạn chế vì các thí nghiệm chỉ tiến gần đến trạng thái phá hoại nhưng vẫn thấp hơn ngưỡng phá hoại. Nói cách khác, tải trọng phá hoại ứng với các điều kiện tải trọng xác định không có sẵn một cách trực tiếp.
1.6.2 Phương pháp thiết kế thay thế dành cho móng nông
1.6.2.1 Tổng quan
Phương pháp thiết kế thay thế bao gồm hai thành phần. Thành phần thứ nhất là một điều kiện phá hoại mô tả ULS của móng nông mà không cần phân biệt giữa các dạng phá hoại khác nhau. Thành phần thứ hai là một quy luật chuyển vị phản ánh đầy đủ quan hệ tải trọng–chuyển vị trong SLS trước khi hệ đạt tới ULS.
Điều kiện phá hoại có thể được sử dụng độc lập với quy luật chuyển vị và có thể kết hợp với các phương pháp khác để phân tích độ lún. Nó đã được phát triển cho móng đặt trên đất rời có và không có độ chôn sâu, trong khi quy luật chuyển vị hiện mới chỉ được phát triển cho móng không có độ chôn sâu. Cần lưu ý rằng trong định nghĩa tổng quát của điều kiện phá hoại và quy luật chuyển vị, ký hiệu của các thành phần tải trọng khác với ký hiệu đã dùng trước đó. Phần thảo luận chi tiết về chủ đề này và việc kiểm chứng khái niệm chuẩn hóa thông qua thí nghiệm mô hình kích thước nhỏ được trình bày trong Phụ lục A. Để biết thêm thông tin, xem Kisse và Lesny (2007) và Kisse (2008).
1.6.2.2 Điều kiện phá hoại
Trong trường hợp tổng quát, một móng đơn chịu tải trọng thẳng đứng \(F_1\), các thành phần tải trọng ngang \(F_2\) và \(F_3\), mô men xoắn \(M_1\), và các thành phần mô men uốn \(M_2\) và \(M_3\) (xem Hình 24). Các thành phần tải trọng được tổng hợp trong vectơ tải trọng \(\vec{Q}\):
\[\vec{Q}^{,T} = [F_1, F_2, F_3, M_1, M_2, M_3]\tag{59}\]
Đối với trường hợp cơ bản của móng đặt trên đất không dính, không có độ chôn sâu, hình học của móng được mô tả bằng tỷ số cạnh \((\bar{b}=b_2/b_3)\), trọng lượng thể tích \((\gamma)\), sức kháng cắt của đất \((\tan \phi_f)\), và một đại lượng mô tả độ nhám của đáy móng \((\mu_s)\) cũng cần được xét đến (xem Hình 24). Với các tham số đầu vào này, điều kiện phá hoại có dạng tổng quát
\[F(\vec{Q}, \bar{b}, \gamma, \tan \phi_f, \mu_s)=0\tag{60}\]
được xác định bởi biểu thức sau:
\[
\sqrt{
\frac{F_2^2+F_3^2}{(a_1F_{10})^2}
+
\frac{M_1^2}{\left(a_2(b_2+b_3)F_{10}\right)^2}
+
\frac{M_2^2+M_3^2}{(a_3 b_2 F_{10})^2}
}
\ – \frac{F_1}{F_{10}}
\left(1-\frac{F_1}{F_{10}}\right)^{\alpha}
=0
\tag{61}
\]

| Ghi chú: | |||
| b2, b3 | chiều dài móng theo các trục x2-, x3– | M1, M2, M3 | mô men xoắn và mô men uốn (theo các trục x1-, x2-, x3-) |
| d | độ chôn sâu | \(\gamma\) | trọng lượng thể tích của đất |
| F1 | tải trọng thẳng đứng | \(\phi\)f | góc ma sát trong |
| F2, F3 | tải trọng ngang (theo các trục x2-, x3-) | ||
Trong Phương trình 61, tất cả các thành phần tải trọng đều được quy chiếu theo \(F_{10}\), là sức kháng của móng dưới tác dụng của tải trọng thẳng đứng thuần túy. Đại lượng này được tính bằng các công thức sức chịu tải truyền thống. Ưu điểm của công thức được mô tả trong Phương trình 61 là sự tương tác phức tạp giữa các thành phần tải trọng được xét trực tiếp mà không sử dụng các hệ số giảm hoặc khái niệm diện tích móng hữu hiệu. Các ảnh hưởng khác đến sức chịu tải được bao hàm trong \(F_{10}\). Cần lưu ý rằng vì \(F_{10}\) là sức chịu tải dưới tải trọng thẳng đứng đặt đúng tâm nên các bất định của phương pháp tính chỉ còn giới hạn ở các hệ số sức chịu tải, cùng với các hệ số hình dạng và hệ số chiều sâu (nếu cần) của các phép tính sức chịu tải truyền thống. Do đó, không cần các hệ số nghiêng tải hay việc sử dụng diện tích hữu hiệu. Việc dùng các hệ số như vậy và khái niệm diện tích hữu hiệu chính là nguyên nhân gây khó khăn trong việc xác lập mức độ bảo thủ và vì thế là nguồn gốc của sự áp dụng chưa nhất quán của LRFD khi đối chiếu với các quy định hiện hành của AASHTO 2008.
Trong biểu đồ tương tác như ở Hình 21 hoặc 23, điều kiện phá hoại tạo thành một bề mặt phá hoại, là biên ngoài của miền tải trọng cho phép. Các tham số \(a_\text{1, 2, 3}\) chi phối độ nghiêng của bề mặt phá hoại này đối với trường hợp tải trọng thẳng đứng nhỏ, tại đó trước đây các trạng thái giới hạn trượt và giới hạn độ lệch tâm đến \(1/3\) của bề rộng móng còn có ý nghĩa (xem Hình 25). Các trạng thái giới hạn này được tích hợp bằng cách xác định các tham số \(a_\text{1,_2, 3}\) và \(\alpha\) theo Phương trình 62:
\[a_1=(\pi/2)\mu_s(\tan \phi_f)e^{(-\pi/3)\tan \phi_f} \ , \ a_2=0.098,\quad a_3=0.42,\quad \alpha=1.3 \tag{62}\]
Trạng thái giới hạn nhổ đã được bao hàm trong Phương trình 61 vì chỉ các tải trọng thẳng đứng dương mới được chấp nhận. Các tham số nêu trong Phương trình 62 được suy ra từ việc phân tích nhiều thí nghiệm mô hình kích thước nhỏ được thực hiện tại Viện Cơ học đất và Kỹ thuật nền móng thuộc UDE. Hình 26 và 27 cho thấy sự so sánh giữa điều kiện phá hoại và kết quả thí nghiệm mô hình đối với các tổ hợp tải trọng khác nhau.
Trong trường hợp móng chôn trong đất, điều kiện phá hoại theo Phương trình 61 cần được mở rộng nếu sức kháng cắt trong vùng chôn sâu được xét đến:
\[
\sqrt{
\dfrac{F_2^2+F_3^2}{(a_1F_{10})^2}
+
\dfrac{M_1^2}{\left(a_2(b_2+b_3)F_{10}\right)^2}
+
\dfrac{M_2^2+M_3^2}{(a_3 b_2 F_{10})^2}
}
\ – \ \left[
(1+f_z)\frac{F_1}{F_{10}}-f_z
\right]
\left[
1-\left((1+f_z)\frac{F_1}{F_{10}}-f_z\right)
\right]^{\alpha}
=0
\tag{63a}
\]
với
\[
f_z=\dfrac{F_\text{1 min}/F_{10}}{1-F_\text{1 min}/F_{10}}
\tag{63b}
\]
Trong Phương trình 63b, \(F_\text{1 min}\) là sức chịu tải do kéo thẳng đứng thuần túy gây ra bởi sức kháng cắt trong vùng chôn sâu, và có thể được xác định cẩn thận bằng mô hình áp lực đất. \(F_{10}\) có thể được xác định bằng phương trình sức chịu tải truyền thống có xét đến các hệ số chiều sâu do Brinch Hansen (1970) đề xuất. Sức chịu tải tăng lên đối với tải trọng ngang và tải trọng mô men được xét thông qua tham số \(a_i\) theo Phương trình 64, trong đó cần kiểm tra bổ sung ở giai đoạn này:
\(\qquad
a_1=
\left(\frac{\pi}{2}\right)\mu_\text{S,k}(\tan \phi_f) \ e^{(-\pi/3)\tan \phi_f}
\left[
1+\left(2-\frac{\pi}{2}\right)\tan \phi_f
\right]
\left(1-e^{(-\tan \phi_f) d/b_2}\right)
\) \(\qquad \qquad \qquad \) (64)
\(\qquad a_2=0.098\)
\(\qquad a_3=0.42\left[1+0.5\left(1-e^{-\pi d/b_1}\right)\right]\)
\(\qquad \alpha=1.3\)
trong đó \(\mu_\text{s,k} = \) giá trị đặc trưng của độ nhám đáy móng

| Ghi chú: | |||
| b2 | chiều dài móng theo trục x2 | M3 | mô men uốn (theo trục x3) |
| F | điều kiện phá hoại | δs | góc ma sát đáy móng |
| F1 | tải trọng thẳng đứng | ψ | góc được xác định bởi độ lệch tâm cho phép |
| F2 | tải trọng ngang (theo trục x2) | ψ = arctan ( adm e b2 ) , adm e thường lấy bằng b2/3 | |
\(\\\)

so với tải trọng phá hoại thu được từ các thí nghiệm mô hình kích thước nhỏ.
| Ghi chú: | |||
| F1 | tải trọng thẳng đứng | F10 |
sức chịu tải dưới tác dụng của tải trọng thẳng đứng thuần túy, tức là tải trọng thẳng đứng lớn nhất mà hệ có thể chịu được |
| F2 | tải trọng ngang (theo trục x2) | M3 | mô men uốn |
| b | tỷ số cạnh b2/b3 | ||
\(\\\)
1.6.2.3 Quy luật chuyển vị
Chuyển vị và góc quay của móng do tải trọng bất kỳ gây ra bên trong bề mặt phá hoại được mô tả bằng quy luật chuyển vị. Các chuyển vị \(u_i\) và góc quay \(\omega_i\) được tổng hợp trong một vectơ chuyển vị:
\[
\vec{u}^{T}=[u_1\ \ u_2\ \ u_3\ \ \omega_1\ \ \omega_2\ \ \omega_3]
\tag{65}
\]

thu được từ các thí nghiệm mô hình kích thước nhỏ.
| Ghi chú: | |||
| b2, b3 | chiều dài móng theo các trục x2-, x3– | F10 |
sức chịu tải dưới tác dụng của tải trọng thẳng đứng thuần túy, tức là tải trọng thẳng đứng lớn nhất mà hệ có thể chịu được |
| b | tỷ số cạnh b2/b3 | M1, M2, M3 | mô men xoắn và mô men uốn (theo các trục x1-, x2-, x3-) |
| F1 | tải trọng thẳng đứng | a1, a2, a3 | các tham số của điều kiện phá hoại theo (Pt. 61) |
| F2, F3 | tải trọng ngang (theo các trục x2-, x3-) | ||
Do sự tương tác phức tạp giữa các thành phần tải trọng, chuyển vị và góc quay, quy luật chuyển vị được thiết lập dựa trên lý thuyết dẻo hóa bền biến dạng quen thuộc với hóa bền đẳng hướng (ví dụ, Zienkiewicz, 2005). Vì vậy, chuyển vị và góc quay được tính theo Phương trình 66, với giả thiết rằng mọi biến dạng đều là biến dạng dẻo:
\[
d\vec{u} = \frac{1}{H}
\left(\frac{\partial F}{\partial \vec{Q}}\right)^{T}
\frac{\partial G}{\partial \vec{Q}}
d\vec{Q}
\tag{66}
\]
Các thành phần của quy luật chuyển vị là một bề mặt chảy dẻo được mô tả bằng điều kiện chảy dẻo (F), được suy ra từ phương trình điều kiện phá hoại (Phương trình 61):
\[
F(\vec{Q},F_a)=
\frac{F_2^2+F_3^2}{(a_1F_a)^2}
+
\frac{M_1^2}{\left(a_2(b_2+b_3)F_a\right)^2}
+
\frac{M_2^2}{(a_3b_3F_a)^2}
+
\frac{M_3^2}{(a_3b_2F_a)^2}
\ – \ \left[
\frac{F_1}{F_a}
\left(1-\frac{F_1}{F_a}\right)^a
\right]^{r^2}
=0
\tag{67}
\]
với các tham số (a_1, a_2, a_3) của Phương trình 62, một thế dẻo (G):
\[
G(\vec{Q},F_b)=
\frac{F_2^2+F_3^2}{(c_1F_b)^2}
+
\frac{M_1^2}{\left(c_2(b_2+b_3)F_b\right)^2}
+
\frac{M_2^2}{(c_3b_3F_b)^2}
+
\frac{M_3^2}{(c_3b_2F_b)^2}
\ – \ \left[
\frac{F_1}{F_b}
\left(1-\frac{F_1}{F_b}\right)^b
\right]^{r^2}
=0
\tag{68}
\]
và một hàm hóa bền (H):
\[
H=
-\frac{\partial F}{\partial F_a}
\frac{\partial F_a}{\partial u_1}
\frac{\partial G}{\partial F_b}
\tag{69}
\]
Trong Phương trình 68, \(F_b\) là hàm hóa bền, còn \(c_1\), \(c_2\) và \(c_3\) là các tham số của thế dẻo.

| Ghi chú: | |||
| b3 | chiều dài móng theo trục x3 | F2 | tải trọng ngang |
| F1 | tải trọng thẳng đứng | M2 | mô men uốn (theo trục x2) |
Bề mặt chảy dẻo theo Phương trình 67 giãn nở do hóa bền đẳng hướng cho đến khi đạt tới bề mặt phá hoại được xác định bởi Phương trình 61 (xem Hình 28). Do đó, các tham số \(c_i\) và \(\beta\) trong Phương trình 68 phải được xác định lần lượt như các hàm của \(a_i\) và \(\alpha\). Sự giãn nở của bề mặt chảy dẻo chủ yếu phụ thuộc vào chuyển vị thẳng đứng \(u_1\), mà bản thân nó phụ thuộc vào mức độ huy động của sức kháng cực hạn, \(F_{10}\). Vì vậy, chỉ cần xác định tham số hóa bền \(F_a\) trong Phương trình 67 như một hàm của hai đại lượng này theo biểu thức sau:
\[
F_a=(F_{10}+k_f u_1)\left\{1 – e^{\left(\frac{-k_0 u_1}{F_{10}+k_f u_1}\right)}\right\}
\tag{70}
\]
Nhiều quy luật hóa bền (ví dụ, Nova và Montrasio, 1991) đòi hỏi các thí nghiệm mô hình kích thước nhỏ dưới tải trọng thẳng đứng đặt đúng tâm để xác định tham số hóa bền. Vì điều này không thuận tiện cho ứng dụng thực tế, độ cứng ban đầu và độ cứng cuối của đường cong tải trọng–chuyển vị tương ứng, lần lượt là \(k_0\) và \(k_f\), có thể được xác định bằng phương pháp do Mayne và Poulos (2001) đề xuất, trong đó độ cứng của đất có thể được xác định bằng bất kỳ quy trình tiêu chuẩn nào.
Hình 29 cho thấy kết quả của mô hình được đề xuất khi áp dụng cho ví dụ đê chắn sóng ở Hình 22. Ở đây không áp dụng các hệ số an toàn. Ở phía bên trái của Hình 29, điều kiện phá hoại và tải trọng trong mặt phẳng \(F_1\)–\(F_2\) và trong mặt phẳng \(F_1 – M_3/B_C\) được trình bày. Rõ ràng, độ ổn định của đê chắn sóng bị chi phối bởi tải trọng ngang lớn. Chỉ khi tăng tải trọng thẳng đứng (tức là tăng trọng lượng của đê chắn sóng) thì mới đạt được mức độ an toàn đủ lớn. Phía bên phải của Hình 29 cho thấy chuyển vị thẳng đứng và chuyển vị ngang của đê chắn sóng phụ thuộc vào các thành phần tải trọng tương ứng, \(F_1\) và \(F_2\). Tuy nhiên, do một số giả thiết bảo thủ được đưa ra trong phiên bản hiện tại của mô hình đề xuất, cần bề rộng đê chắn sóng 21.0 m thay vì 17.5 m để đạt được ổn định.
1.6.2.4 Triển khai khái niệm an toàn
Để triển khai một khái niệm an toàn cho ULS dựa trên các hệ số tải trọng và hệ số sức kháng, trước hết cần xét sức chịu tải và tải trọng ứng với các tham số đầu vào đặc trưng. Sức chịu tải được xác định bởi điều kiện phá hoại được minh họa lại một cách định tính trong biểu đồ tương tác ở Hình 30. Mỗi tổ hợp tải trọng cần kiểm tra sẽ biểu diễn một điểm trong biểu đồ tương tác. Nối tất cả các điểm tải trọng này sẽ tạo thành một đa giác trong biểu đồ tương tác (xem Hình 30). Có thể chỉ ra rằng các đỉnh của đa giác này được đại diện bởi các tổ hợp tải trọng hoặc là xét tải trọng trực tiếp đến toàn bộ giá trị của chúng, hoặc là bỏ qua chúng. Do tính lồi của điều kiện phá hoại, chỉ cần kiểm tra các tổ hợp tải trọng này.
Để thu được điều kiện phá hoại thiết kế, \(F_d\), các tham số \(a_i\) trong Phương trình 61 và 62 được chia cho hệ số sức kháng yêu cầu \(\gamma_{R,i}\). Ngoài ra, một hệ số sức kháng cũng phải được áp dụng cho \(F_{10}\). Trên thực tế, quá trình này có nghĩa là bề mặt phá hoại bị thu nhỏ lại như minh họa trong Hình 30.

| Ghi chú: | |||
| Bc | bề rộng đê chắn sóng | M3 | mô men xoắn và mô men uốn (theo các trục x1-, x2-, x3-) |
| F1 | tải trọng thẳng đứng | u1 | chuyển vị thẳng đứng (độ lún) |
| F2 | tải trọng ngang (theo trục x3) | u2 | chuyển vị ngang |
\(\\\)
Các hệ số sức kháng không còn được phân biệt theo các trạng thái giới hạn khác nhau nữa, mà theo các dạng tương tác tải trọng có thể xảy ra. Vì vậy, tối thiểu có thể xác định các hệ số sức kháng cho tải trọng thẳng đứng thuần túy, tải trọng nghiêng, tải trọng xoắn và tải trọng lệch tâm như sau:
\(\gamma_\text{R, pure vertical}\)
\(\gamma_\text{R, horizontal}\)
\(\gamma_\text{R, torsional}\)
\(\gamma_\text{R, eccentric}\)
cho \(F_{10}\) (tải trọng thẳng đứng thuần túy)
cho \(a_1\) (tải trọng nghiêng)
cho \(a_2\) (tải trọng xoắn)
cho \(a_3\) (tải trọng lệch tâm)
Trường hợp tổ hợp tải trọng nghiêng và lệch tâm có thể dẫn đến sự tương tác liên hợp giữa các hệ số sức kháng. Các trường hợp này, cũng như các khía cạnh khác của khái niệm này, cần được phân tích thêm. Việc áp dụng các hệ số tải trọng có nghĩa là các thành phần tải trọng sẽ được giảm đi nếu chúng tác dụng có lợi và sẽ được tăng lên nếu chúng tác dụng bất lợi đối với sức chịu tải của móng (xét theo các khía cạnh đã được thảo luận trước đó). Điều này có thể gây ra chuyển vị và biến dạng của đa giác tải trọng trong biểu đồ tương tác.

| Ghi chú: | |||
| b2 | chiều dài móng theo trục x2 | F10 |
sức chịu tải dưới tác dụng của tải trọng thẳng đứng thuần túy, tức là tải trọng thẳng đứng lớn nhất mà hệ có thể chịu được |
| b | tỷ số cạnh b2/b3 | Lk | tổ hợp tải trọng đặc trưng |
| Fk | điều kiện phá hoại đặc trưng | Ld | tổ hợp tải trọng thiết kế |
| Fd | điều kiện phá hoại thiết kế | γR | hệ số sức kháng |
| F1 | tải trọng thẳng đứng | ϕf | góc ma sát trong |
| F2 | tải trọng ngang | ||
| M3 | mô men uốn | ||
Để đơn giản, ở đây giả thiết rằng đa giác tải trọng trong Hình 30 giãn nở đều.
Cuối cùng, độ ổn định của móng được kiểm tra thỏa mãn nếu có thể chứng minh rằng
\[
\forall_{\vec{L}d \in L_d}\quad F(\ldots,\gamma_\text{R,i},\vec{L}_d)<0
\tag{71}
\]
trong đó \(\vec{L}_d\) là một tổ hợp tải trọng thiết kế thuộc tập tất cả các tổ hợp tải trọng thiết kế \(L_d\) cần phải kiểm tra. Nếu bất đẳng thức (Phương trình 71) được thỏa mãn, thì mọi tổ hợp tải trọng thiết kế đều nằm bên trong bề mặt phá hoại thiết kế.
1.7 Sức chịu tải của móng nông trên đá
1.7.1 Tổng quan
Sức chịu tải của móng đặt trên khối đá phụ thuộc chủ yếu vào tỷ số giữa khoảng cách khe nứt và bề rộng móng, cũng như khối lượng riêng và chất lượng của khối đá như phương khe nứt, tình trạng khe nứt (kín hoặc hở), loại đá, mức độ phong hóa và cường độ khối đá. Các dạng phá hoại có thể bao gồm sự kết hợp của nhiều cơ chế, trong đó một số cơ chế có bao gồm phá hoại về sức chịu tải. Trong tài liệu này trình bày tổng quan hạn chế về sức chịu tải của móng trên đá, cũng như mối quan hệ giữa các cơ chế sức chịu tải, cường độ nén không hạn chế \((q_u)\), và các tham số khác của đá. Trọng tâm được đặt vào các cách phân loại và các tham số đã được AASHTO quy định, cũng như các phương pháp phân tích được sử dụng trong nghiên cứu này để hiệu chỉnh sức kháng chịu tải.
Tải trọng tác dụng lên các bộ phận móng bị giới hạn bởi cường độ kết cấu, trạng thái giới hạn cường độ cuối cùng (địa kỹ thuật), và tải trọng gắn với trạng thái giới hạn sử dụng. Các quan hệ giữa các trạng thái giới hạn này khi áp dụng cho móng trên đá thường rất khác so với khi áp dụng cho móng nông trên đất. Đối với các cường độ bê tông điển hình hiện đang sử dụng, cường độ của cấu kiện bê tông nhỏ hơn đáng kể so với sức chịu tải của nhiều khối đá. Thiết kế kết cấu của bộ phận móng sẽ quyết định, do đó, kích thước phần tử tối thiểu và kéo theo đó là ứng suất tiếp xúc lớn nhất trên đá. Trong các điều kiện tải trọng nhất định, chẳng hạn như đầu cọc chịu tải lớn, tải trọng tập trung của gối cố định trong hầm, hoặc sức chịu tải của đá bị nứt nẻ mạnh hay đá đồng nhất mềm hơn (như đá phiến sét và đá sa thạch), trạng thái giới hạn địa kỹ thuật của móng (sức chịu tải) có thể là tới hạn. Trong khi độ lún, tức trạng thái giới hạn sử dụng, thường không chi phối thiết kế móng nông trên đất, thì đối với nhiều loại đá, tải trọng cần thiết để tạo ra giới hạn độ lún chấp nhận được thông thường lại vượt quá sức chịu tải. Vì vậy, cả độ lún và sức chịu tải đều quan trọng cần được định lượng trong thiết kế móng nông trên cả đất và đá. Tuy nhiên, nghiên cứu này chỉ đề cập đến sức chịu tải (tức là ULS của móng nông).
1.7.2 Cơ chế phá hoại của móng trên đá
Phá hoại của móng trên đá có thể xảy ra do một trong nhiều cơ chế khác nhau, như thể hiện ở Hình 31 (Franklin và Dusseault, 1989). Các dạng phá hoại được mô tả trong Canadian Foundation Engineering Manual (Canadian Geotechnical Society, 2006) như sau:
- Phá hoại sức chịu tải xảy ra khi móng trên đất bị quá tải (xem Hình 31a và b). Dạng phá hoại này, tuy không phổ biến, có thể xảy ra dưới các móng chịu tải trọng lớn đặt trên đá phiến sét yếu.
- Phá hoại do cố kết, thường gặp trong đá phong hóa, xảy ra khi móng được đặt trong tầng phong hóa (xem Hình 31c và d). Trong trường hợp này, các lõi đá chưa phong hóa bị đẩy xuống dưới tải trọng móng do cường độ kháng cắt theo dòng chảy phân lớp dọc theo các khe bên phủ sét hoặc các chỗ lấp đầy bị nén ép trong các khe nằm ngang.
- Phá hoại đâm thủng (xem Hình 31d) có thể xảy ra khi đá nền dưới móng là loại đá rỗng xốp, như đá phiến sét, tuff và đá vôi rỗng xốp. Cơ chế này bao gồm biến dạng đàn hồi của bộ khung rắn giữa các lỗ rỗng và sự nghiền vỡ của đá khi chịu ứng suất cục bộ rất lớn (Sowers và Sowers, 1970). Sau dạng phá hoại này, các hạt vật liệu tiếp xúc gần nhau hơn. Quá trình phong hóa và thấm lọc liên tục sẽ làm suy yếu thêm các loại đá này, dẫn đến sự cố kết tiếp theo theo thời gian.
- Phá hoại mái dốc có thể bị gây ra bởi tải trọng móng tác dụng lên bề mặt đất liền kề với một chỗ trũng hoặc mái dốc (xem Hình 31f). Trong trường hợp này, ứng suất do móng gây ra đủ lớn để vượt quá cường độ của vật liệu mái dốc.
- Lún sụt bề mặt đất có thể phát sinh do sự sập của một địa tầng bị rỗng ngầm bên dưới. Các khoảng rỗng này có thể là tự nhiên hoặc do hoạt động khai thác mỏ gây ra. Các hốc rỗng tự nhiên có thể hình thành do sự phong hóa hòa tan của thạch cao hoặc muối mỏ, và thường chỉ gặp trong địa hình đá vôi (xem Hình 31g). Khi quá trình phong hóa tập trung tại các khe giao nhau, một hốc dạng ống khói gọi là pipe được hình thành, có thể kéo dài từ đáy lớp phủ đất tới độ sâu hàng chục mét. Khi các pipe này bị phủ bởi vật liệu hạt rời, các hạt mịn và thành phần cát có thể bị rửa trôi xuống các pipe, để lại một vòm cát thô và sỏi có độ ổn định hạn chế, sau đó có thể bị sập (xem Hình 31h).

1.7.3 Cơ chế phá hoại sức chịu tải
Trong số các dạng phá hoại có thể xảy ra của móng trên đá đã nêu ở trên, nghiên cứu này tập trung vào những dạng liên quan đến cơ chế sức chịu tải. Cơ chế phá hoại tiềm năng trong đá có khe nứt phụ thuộc chủ yếu vào kích thước của vùng chịu tải so với khoảng cách khe nứt, độ mở khe nứt và vị trí của tải trọng. Hình 32 (a đến c) trình bày ba cách phân tích đơn giản có thể có liên quan đến tỷ số giữa bề rộng móng và khoảng cách khe nứt, cũng như điều kiện khe nứt.
1. Khe nứt hở, khoảng cách nhỏ: Hình 32a minh họa trường hợp khoảng cách khe nứt, \(s\), chỉ là một phần của \(B_f\), và các khe nứt là khe hở. Móng được đỡ bởi các cột đá không bị gò bó; vì vậy, sức chịu tải cực hạn tiến gần đến tổng cường độ nén không hạn chế của từng lăng trụ đá. Do không phải tất cả các cột đá đều có cùng độ cứng nên một số cột sẽ phá hoại trước khi các cột khác đạt đến cường độ cực hạn của chúng; do đó, tổng sức chịu tải sẽ nhỏ hơn đôi chút so với tổng cường độ của các lăng trụ.

2. Khe nứt sít nhau, các mặt khe tiếp xúc: Phân tích Bell–Terzaghi được trình bày ở Hình 32b. Khi \(s < B\) và các khe nứt kín, để áp lực có thể truyền qua chúng mà không có chuyển vị, thì khối đá về cơ bản được xem như một môi trường liên tục, và sức chịu tải có thể được đánh giá theo cách thể hiện ở Hình 33; trong đó ứng suất chính lớn của Lăng trụ II \((\sigma_{1\text{-II}})\) bằng ứng suất gò bó do chôn sâu \(q_o\), còn ứng suất chính nhỏ của Lăng trụ II \((\sigma_{3\text{-II}})\) bằng ứng suất chính lớn của Lăng trụ I \((\sigma_{1\text{-I}})\), sao cho sức chịu tải là ứng suất chính lớn của Lăng trụ I và được biểu diễn theo Phương trình 72:
\[
q_{ult}=2c\tan\left(45+\frac{\phi_f}{2}\right)
\tag{72}
\]
trong đó \(c\) là lực dính, và \(\phi_f\) là góc ma sát của khối đá.

3. Khe nứt rộng: Nếu khoảng cách khe nứt lớn hơn nhiều so với bề rộng móng, \(s \gg B\) (xem Hình 32c), thì cơ chế phá hoại được đề xuất là một vùng dạng nón hình thành bên dưới móng, làm tách khối đá được tạo thành bởi các khe nứt. Có thể dùng Phương trình 73 để xấp xỉ sức chịu tải với giả thiết tải trọng đặt đúng tâm trên khối khe nứt và chỉ có rất ít áp lực được truyền qua các khe nứt:
\[
q_{ult}\approx J_c N_{cr}
\tag{73}
\]
Đối với móng băng liên tục (continuous strip foundations):
\[
q_{ult}=\frac{JcN_{cr}}{\left(2.2+0.18\frac{L}{B}\right)}
\tag{74}
\]
trong đó:
- \(B\) và \(L\) lần lượt là chiều rộng và chiều dài của móng;
- \(J\) = hệ số hiệu chỉnh phụ thuộc vào chiều dày của lớp đá nền bên dưới móng và chiều rộng của móng; và
- \(N_{cr}\) = hệ số sức chịu tải.
Dựa trên kết quả thí nghiệm trong phòng và nghiệm \(N_{cr}\) của Bishoni (1968), \(J\) được ước tính như sau:
\[
\frac{H}{B}\le 5
\qquad
J=0.12\frac{H}{B}+0.4
\tag{75a}
\]
\[
\frac{H}{B}>5
\qquad
J=1
\qquad (75b)
\]
trong đó \(H\) là khoảng cách trung bình giữa một cặp khe gián đoạn nằm ngang.
Các giá trị của \(N_{cr}\) suy ra từ các mô hình phá hoại do tách nứt phụ thuộc vào tỷ số \(s/B\) và \(\phi_f\), sẽ được bàn sau. Các giá trị đối với móng vuông bằng 85% giá trị của móng tròn. Các nghiệm đồ thị cho hệ số sức chịu tải \((N_{cr})\) và hệ số hiệu chỉnh \((J)\) của Bishoni (1968) lần lượt được trình bày ở Hình 34a và 34b. Hệ số sức chịu tải \((N_{cr})\) được Goodman (1980) cho như sau:
\[
N_{cr}=
\frac{2N_{\phi}^2}{1+N_{\phi}}
(\cot \phi_f)
\left(\frac{s}{B}\right)
\left(1-\frac{1}{N_{\phi}}\right)
\ – \
N_{\phi}(\cot \phi_f)+2N_{\phi}^{1/2}
\tag{76}
\]
trong đó:
- \(s\) = khoảng cách giữa một cặp khe gián đoạn đứng hở;
- \(\phi_f\) = góc ma sát của đá nguyên khối; và
- \(N_{\phi}\) = hệ số sức chịu tải, được cho bởi:
\[
N_{\phi}=\tan^2\left(45+\frac{\phi_f}{2}\right)
\tag{77}
\]
4. Lớp đá cứng dày và mỏng nằm trên lớp yếu có tính nén lún:
Như thể hiện trong các Hình 31d, 32d và 32e, tùy theo tỷ số \(H/B\), \(S/B\), và cường độ kháng uốn của tầng đá, có hai dạng phá hoại xảy ra khi thành tạo đá gồm một lớp đá cứng kéo dài nằm trên một tầng yếu có tính nén lún. Nếu tỷ số \(H/B\) lớn và cường độ kháng uốn nhỏ, sự phá hoại của đá xảy ra do uốn (xem Hình 32d). Nếu tỷ số \(H/B\) nhỏ, phá hoại chọc thủng có nhiều khả năng xảy ra hơn (xem Hình 32e). Cùng phương pháp phân tích này cũng có thể được dùng cho thiết kế có các lớp đá cứng nằm trên các khoảng rỗng. Các công thức tính toán sức chịu tải đối với phá hoại uốn hoặc phá hoại chọc thủng được đề xuất bởi Lo và Hefny (2001) và bởi ASCE (Zhang and Einstein, 1998; Bishoni, 1968; Kulhawy, 1978).

1.7.4 Sổ tay Kỹ thuật Nền móng Canada
Các phương pháp xác định sức chịu tải của móng đặt trên đá do Canadian Foundation Engineering Manual đề xuất (Canadian Geotechnical Society, 2006) được mô tả là phù hợp cho mọi cấp chất lượng đá, với lưu ý rằng áp lực chịu tải thiết kế nói chung được xét cho SLSs không vượt quá độ lún 25 mm (1 in.). Canadian Foundation Engineering Manual (Canadian Geotechnical Society, 2006) xem đá là nguyên khối tốt khi khoảng cách giữa các khe gián đoạn lớn hơn 0.3 m (1 ft). Khi đá ở trạng thái nguyên khối tốt, cường độ của nền đá thường lớn hơn yêu cầu thiết kế, với điều kiện các khe gián đoạn là khe kín và có phương thuận lợi đối với lực tác dụng, tức là bề mặt đá vuông góc với móng, tải trọng không có thành phần tiếp tuyến, và khối đá không có các khe gián đoạn hở. Trong các điều kiện đó, áp lực chịu tải thiết kế có thể được ước tính theo quan hệ gần đúng sau:
\[
q_a = K_{sp}\times q_{u-core}
\tag{78}
\]
trong đó:
- \(q_a\) = áp lực chịu tải thiết kế;
- \(q_\text{u-core}\) = cường độ nén một trục trung bình của đá (xác định theo ASTM D2938); và
- \(K_{sp}\) = hệ số thực nghiệm, đã bao gồm hệ số an toàn bằng 3 (theo WSD) và nằm trong khoảng từ 0.1 đến 0.4 (xem Bảng 6 và Hình 35).
Bảng 6. Hệ số khoảng cách khe gián đoạn, \(K_{sp}\) (Canadian Geotechnical Society, 2006).
| Khoảng cách khe gián đoạn | Ksp | |
|---|---|---|
| Mô tả | Khoảng cách m (ft) | |
| Khá gần | 0.3 đến 1 (1 đến 3) | 0.1 |
| Rộng | 1 đến 3 (3 đến 10) | 0.25 |
| Rất rộng | > 3 (> 10) | 0.4 |
\(\\\)
Các yếu tố ảnh hưởng đến độ lớn của hệ số này được thể hiện bằng đồ thị ở Hình 35. Quan hệ nêu trong Hình 35 có hiệu lực đối với khối đá có khoảng cách khe gián đoạn lớn hơn 300 mm (1 ft), độ mở khe gián đoạn nhỏ hơn 5 mm (0.2 in.) [hoặc nhỏ hơn 25 mm (1 in.) nếu được lấp đầy bằng đất hoặc mảnh vụn đá], và đối với móng có bề rộng lớn hơn 300 mm (1 ft). Đối với đá trầm tích, các lớp địa tầng phải nằm ngang hoặc gần nằm ngang.
Hệ số áp lực chịu tải, \(K_{sp}\), như cho trong Hình 35, có xét đến hiệu ứng kích thước và sự hiện diện của các khe gián đoạn, đồng thời bao gồm hệ số an toàn danh định bằng 3 đối với cận dưới của sức chịu tải nền đá. Hệ số an toàn đối với phá hoại sức chịu tải tổng quát (ULSs) có thể lớn hơn tới mười lần. Để có giải thích chi tiết hơn, Canadian Foundation Engineering Manual (Canadian Geotechnical Society, 2006) dẫn chiếu đến Ladanyi và Franklin et al. (1974) và Franklin và Gruspier (1983), những tài liệu bàn về một trường hợp đặc biệt của móng đặt trên đá phiến sét. Việc ước tính áp lực chịu tải cho thiết kế sơ bộ dựa trên mô tả vật liệu thường là hữu ích. Các giá trị như vậy phải được kiểm chứng hoặc sử dụng thận trọng trong thiết kế cuối cùng. Bảng 7 trình bày áp lực chịu tải thiết kế sơ bộ giả định cho các loại đất và đá khác nhau.

Bảng 7. Áp lực chịu tải thiết kế sơ bộ giả định (Canadian Geotechnical Society, 2006).
| Nhóm | Loại và điều kiện của đá | Cường độ vật liệu đá |
Áp lực chịu tải thiết kế sơ bộ (5) kPa (ksf) |
Ghi chú |
|---|---|---|---|---|
| Đá |
Đá magma và đá biến chất khối lớn (granite, diorite, basalt, gneiss) ở trạng thái nguyên khối tốt (2) |
Cao – rất cao | 10,000 (200) |
Các giá trị này dựa trên giả định rằng móng được đặt xuống đến đá chưa phong hóa. |
|
Đá biến chất phân phiến (slate, schist) ở trạng thái nguyên khối tốt (1)(2) |
Trung bình – cao | 3,000 (60) |
Không áp dụng | |
|
Đá trầm tích: shale gắn kết, siltstone, sandstone, đá vôi không có hốc rỗng, cuội kết được gắn kết hoàn toàn, tất cả đều ở trạng thái nguyên khối tốt (1)(2) |
Trung bình – cao | 1,000–4,000 (20–80) |
Không áp dụng | |
|
Shale nén chặt và các loại đá sét khác ở trạng thái nguyên khối tốt (2)(4) |
Thấp – trung bình |
500–1,000 (10–20) 1,000 (20) |
Không áp dụng | |
|
Đá nứt vỡ thuộc bất kỳ loại nào có khoảng cách khe gián đoạn từ khá gần (0.3 m [11.8 in] hoặc lớn hơn), ngoại trừ đá sét (shale), đá vôi, sandstone, shale có phân lớp sít nhau |
Không áp dụng | (Xem chú thích 3) | Không áp dụng | |
| Đá bị phá vụn mạnh hoặc bị phong hóa | Không áp dụng | (Xem chú thích 3) | Không áp dụng | |
|
Ghi chú
|
||||
1.7.5 Goodman (1989)
Dạng phá hoại được xét được thể hiện trên các Hình 36a đến 36c, trong đó một vùng đá bị nghiền vỡ giãn nở theo phương ngang bên dưới móng băng gây ra nứt hướng tâm của khối đá ở hai bên (Goodman, 1989). Cường độ của khối đá bị nghiền vỡ bên dưới móng được mô tả bằng đường bao phá hoại thấp hơn (đường cong cho Vùng A) trong Hình 37, trong khi cường độ của phần đá lân cận ít nứt nẻ hơn được mô tả bằng đường cong phía trên trong cùng hình đó (đường cong cho Vùng B). Áp lực ép hông theo phương ngang lớn nhất có thể huy động để đỡ khối đá bên dưới móng (Vùng A trong Hình 37) là \(p_b\), được xác định bằng cường độ nén một trục không hạn chế của khối đá lân cận (Vùng B của Hình 37). Áp lực này xác định giới hạn dưới của vòng tròn Mohr tiếp xúc với đường bao cường độ của khối đá bị nghiền vỡ bên dưới móng. Thí nghiệm nén ba trục trên đá nứt vỡ có thể xác định đường bao cường độ sau, và từ đó sức chịu tải có thể được xác định (Goodman, 1989).
Việc xem xét Hình 37 dẫn đến kết luận rằng sức chịu tải của khối đá đồng nhất, không liên tục không thể nhỏ hơn cường độ nén một trục không hạn chế của khối đá xung quanh móng, và giá trị này có thể được lấy làm cận dưới. Nếu khối đá có góc ma sát trong không đổi \((\phi_f)\) và cường độ nén một trục không hạn chế \((q_u)\) (vật liệu Mohr-Coulomb), thì cơ chế được mô tả trong Hình 37 xác lập sức chịu tải như sau:
\[
q_{ult}=q_u(N_{\phi}+1)
\tag{79}
\]
trong đó \(N_{\phi}\) được tính theo Phương trình (77).
Hình 38 minh họa một móng đặt trên một phần của một khối đá đơn được tạo thành bởi các khe đứng trực giao, mỗi khe cách nhau một khoảng \(s\). Trường hợp như vậy có thể xảy ra, chẳng hạn, trong đá granite phong hóa (Goodman, 1989). Nếu bề rộng móng \((B)\) bằng với khoảng cách khe \((s)\), thì nền đá có thể được so sánh với một cột mà cường độ dưới tải trọng dọc trục xấp xỉ bằng cường độ nén một trục không hạn chế \((q_u)\). Nếu móng chỉ tiếp xúc với một phần nhỏ hơn của khối đá đơn, thì sức chịu tải tăng dần tới giá trị lớn nhất phù hợp với sức chịu tải của khối đá đồng nhất, không liên tục, thu được từ việc xây dựng các đường bao phá hoại Mohr-Coulomb mô tả ở Hình 37 hoặc từ Phương trình 79, trong đó có xét đến góc ma sát \((\phi_f)\) của khối đá đồng nhất, không liên tục. Bài toán này được Bishoni (1968) nghiên cứu, với giả thiết rằng một phần tải trọng được truyền ngang qua các khe. Khi hiệu chỉnh điều kiện biên này cho khối đá có khe hở, trong đó sự truyền ứng suất ngang bằng không, ta được:
\[
q_{ult}=q_u\left\{\frac{1}{N_{\phi}-1}\left[N_{\phi}\left(\frac{s}{B}\right)^{\frac{N_{\phi}-1}{N_{\phi}}}-1\right]\right\}
\tag{80}
\]

(a–c), chọc thủng do sụp đổ các khoảng rỗng (d), và phá hoại cắt (e) (theo Goodman, 1989).


So sánh kết quả tính toán của Goodman (1989) với các Phương trình 79 và 80 cho thấy rằng các khe hở chỉ làm giảm sức chịu tải khi tỷ số \(S/B\) nằm trong khoảng từ 1 đến 5. Sức chịu tải của móng đặt trên đá có các khe hở tăng lên khi \(\phi_f\) tăng, đối với bất kỳ tỷ số \(S/B\) nào trong khoảng từ 1 đến 5.
1.7.6 Carter và Kulhawy (1988)
Carter và Kulhawy (1988) đề xuất rằng tiêu chuẩn cường độ Hoek và Brown cho khối đá có khe nứt (jointed rock masses) (Hoek và Brown, 1980, xem thêm Mục 1.8.2.4) có thể được sử dụng trong việc đánh giá sức chịu tải. Đường bao cường độ dạng cong của khối đá có khe nứt có thể được biểu diễn như sau:
\[
\sigma_1=\sigma_3+\left(mq_u\sigma_3+s q_u^2\right)^{0.5}
\tag{81}
\]
trong đó:
- \(\sigma_1\) = ứng suất hữu hiệu chính lớn,
- \(\sigma_3\) = ứng suất hữu hiệu chính nhỏ,
- \(q_u\) = cường độ nén một trục của đá nguyên khối,
- \(s\) và \(m\) = các tham số cường độ của khối đá được xác định theo thực nghiệm, ở một mức độ nào đó tương tự với \(c\) và \(\phi_f\) của tiêu chuẩn phá hoại Mohr-Coulomb.
Carter và Kulhawy (1988) đề xuất rằng việc phân tích sức chịu tải của một khối đá tuân theo tiêu chuẩn này có thể được thực hiện bằng cùng kỹ thuật gần đúng như đã dùng trong nghiệm của Bell (1915). Chi tiết của cách tiếp cận này được mô tả ở Hình 39. Cận dưới của tải trọng phá hoại được tính bằng cách tìm một trường ứng suất thỏa mãn đồng thời điều kiện cân bằng và tiêu chuẩn phá hoại. Đối với móng băng, khối đá bên dưới móng có thể được chia thành hai vùng có điều kiện ứng suất đồng nhất tại trạng thái phá hoại trong từng vùng, như thể hiện ở Hình 39. Ứng suất đứng trong Vùng I được giả thiết bằng không, trong khi ứng suất ngang bằng cường độ nén một trục của khối đá, được cho bởi Phương trình 81 với giá trị \(s^{0.5}q_u\). Để thỏa mãn điều kiện cân bằng, tính liên tục của ứng suất ngang qua mặt phân giới phải được duy trì và do đó sức chịu tải của móng băng có thể được xác định từ Phương trình 81 (với \(\sigma_3=s^{0.5}q_u\)) như sau:
\[
q_{ult}=(m+\sqrt{s})q_u
\tag{82a}
\]
Trong bản đính chính của Carter và Kulhawy (1988), Phương trình (82a) được sửa lại như sau:
\[
q_{ult}=\left(\sqrt{s}+\left(m\sqrt{s}+s\right)^{0.5}\right)q_u
\tag{82b}
\]

Một cách tiếp cận tương tự trong phân tích sức chịu tải của móng băng đã được Carter và Kulhawy (1988) đề xuất để áp dụng cho móng tròn, với mặt phân giới giữa hai vùng là một mặt trụ có cùng đường kính với móng. Trong trường hợp đối xứng trục này, ứng suất hướng tâm truyền qua mặt trụ tại thời điểm móng bị phá hoại có thể lớn hơn \(q_u\sqrt{s}\), mà không nhất thiết vi phạm điều kiện cân bằng theo phương hướng tâm hoặc tiêu chuẩn phá hoại. Tuy nhiên, do sự không chắc chắn của giá trị này, ứng suất hướng tâm tại mặt phân giới cũng được giả thiết bằng \(q_u\sqrt{s}\) đối với trường hợp móng tròn. Vì vậy, sức chịu tải dự đoán (cận dưới) được cho bởi các Phương trình 82a và 82b. Các hằng số \(m\) và \(s\) được xác định bởi loại đá và điều kiện của khối đá, và việc chọn một nhóm thích hợp sẽ dễ dàng hơn nếu có sẵn dữ liệu phân loại theo hệ thống Rock Mass Rating (RMR) hoặc Geological Strength Index (GSI) như trình bày dưới đây. Cả hai công thức sức chịu tải biểu diễn trong các Phương trình 82a và 82b đều đã được khảo sát trong nghiên cứu này.
1.8 Phân loại và tính chất của đá
1.8.1 Tổng quan
Một khối đá bao gồm các khối đá nguyên vẹn được ngăn cách bởi các mặt gián đoạn như mặt phân phiến, mặt phân lớp, khe nứt và đứt gãy. Bảng 8 trình bày tóm tắt các định nghĩa và đặc trưng của các mặt gián đoạn trong khối đá. Các mặt gián đoạn hình thành tự nhiên này tạo ra các bề mặt yếu trong khối đá, từ đó làm giảm cường độ vật liệu. Như đã thảo luận trước đó, ảnh hưởng của các mặt gián đoạn đến cường độ vật liệu phụ thuộc vào quy mô của móng so với vị trí và tần suất của các mặt gián đoạn (Canadian Foundation Geotechnical Society, 2006).
Mục này trình bày tổng quan ngắn gọn về các hệ thống phân loại/đặc trưng hóa khối đá và các tính chất của đá có liên quan đến các phương pháp được chọn để đánh giá sức chịu tải. Các phương pháp cho phép phân loại khối đá theo quan điểm kỹ thuật được xem xét, bao gồm hệ thống Rock Mass index (RMi), hệ thống RMR, và GSI Hoek-Brown.
1.8.2 Phân loại khối đá theo quan điểm kỹ thuật
1.8.2.1 Các phương pháp phân loại
Nhiều hệ thống phân loại đã được phát triển nhằm làm cơ sở cho việc đặc trưng hóa khối đá trong kỹ thuật. Một tổng quan toàn diện về chủ đề này được Hoek và cộng sự (1995) trình bày. Phần lớn các hệ thống phân loại kết hợp nhiều tham số khác nhau được xây dựng từ các trường hợp điển hình trong công trình dân dụng, trong đó mọi thành phần của các tham số địa chất công trình của khối đá đều được xem xét (Wickham et al., 1972; Bieniawski, 1973, 1979, 1989; Barton et al., 1974). Gần đây hơn, các hệ thống này đã được điều chỉnh để xét đến các điều kiện ảnh hưởng đến sự ổn định của khối đá trong khai thác mỏ ngầm. Mặc dù chưa có một hệ thống phân loại đơn lẻ nào được phát triển riêng cho hoặc áp dụng riêng cho thiết kế móng, loại thông tin được thu thập cho hai sơ đồ phân loại công trình dân dụng phổ biến hơn — hệ thống Q (Barton et al., 1974), dùng trong thiết kế hầm, và RMR (Bieniawski, 1989), dùng trong thiết kế hầm và móng — thường vẫn được xem xét. Các kỹ thuật này đã được áp dụng cho các tình huống thiết kế thực nghiệm, trong đó kinh nghiệm trước đây ảnh hưởng mạnh đến thiết kế hố đào trong khối đá. Bảng 9 trình bày khái quát nhiều hệ thống phân loại và công dụng của chúng. Mô tả chi tiết về các hệ thống khác nhau và các tính chất kỹ thuật liên quan vượt ra ngoài phạm vi của tài liệu này, và chỉ giới hạn ở các phương pháp liên quan đến nghiên cứu hiện tại.
Bảng 8. Mô tả các mặt gián đoạn trong khối đá (Hunt, 1986).
| Mặt gián đoạn | Định nghĩa | Đặc trưng |
|---|---|---|
| Fracture |
Sự tách rời trong khối đá, một chỗ nứt vỡ. |
Bao gồm joints, faults, slickensides, foliations và cleavage. |
| Joint |
Một fracture hoặc vết nứt trong đá không kèm theo chuyển vị. |
Loại khuyết tật thường gặp nhất. Có mặt trong hầu hết các thành tạo theo một dạng hình học nào đó liên quan đến loại đá và trường ứng suất. Open joints cho phép nước di chuyển tự do, làm tăng tốc độ phân rã của khối đá. Tight joints chống lại quá trình phong hóa và khối đá bị phân rã đồng đều. |
| Fault |
Một fracture mà dọc theo đó đã có một lượng chuyển vị quan sát được. |
Các đới đứt gãy thường gồm đá bị nghiền nát và bị cắt trượt, qua đó nước có thể di chuyển khá tự do, làm gia tăng phong hóa. Faults thường xuất hiện dưới dạng các tập fracture song song hoặc gần song song, dọc theo đó chuyển động đã xảy ra ở mức độ nhiều hoặc ít. |
| Slickenside |
Một bề mặt nhẵn, thường có vân xước, được tạo ra trên đá do chuyển động dọc theo một fault hoặc một fracture thứ cấp. |
Bề mặt sáng bóng, được mài nhẵn, có các vân xước. Thường là những thành phần yếu nhất trong khối đá, vì cường độ thường gần với cường độ dư. |
| Foliation Plane |
Bề mặt phân phiến liên tục hình thành do sự định hướng của các hạt khoáng trong quá trình biến chất. |
Có thể biểu hiện như open joints hoặc chỉ đơn thuần là phương định hướng mà không có khe hở. Cường độ và biến dạng liên quan đến phương của ứng suất tác dụng so với các mặt foliation. |
| Cleavage |
Tính chất của một chất kết tinh hoặc đá có khả năng tách theo các mặt xác định. |
Một mảnh thu được do tách theo các mặt yếu ưu tiên, ví dụ như kim cương. |
| Bedding Plane |
Bất kỳ mặt phân chia nào tách các lớp hoặc tầng riêng biệt trong đá trầm tích hoặc đá phân lớp. |
Thường là các đới chứa vật liệu yếu như lignite hoặc đất sét montmorillonite. |
| Mylonite |
Đá phiến mịn có cấu tạo phân lớp, hình thành do sự dịch chuyển của các lớp đá dọc theo faults. |
Đá hạt mịn hình thành trong các đới cắt. |
| Cavities |
Các khoảng rỗng trong đá dễ hòa tan do chuyển động của nước ngầm tạo ra, hoặc trong đá magma do các túi khí tạo thành. |
Trong đá vôi, có thể từ các hang lớn đến các ống rỗng. Trong rhyolite và các đá magma khác, có thể từ các lỗ rỗng kích thước khác nhau đến các ống rỗng. |
Hai hệ thống phân loại khối đá được sử dụng phổ biến nhất hiện nay là RMR, do Bieniawski (1973) phát triển và được Hội đồng Nghiên cứu Khoa học và Công nghiệp Nam Phi (CSIR) chấp nhận, và chỉ số của Viện Địa kỹ thuật Na Uy (NGI-index hay Q-system) (Barton et al., 1974). Cả hai hệ thống phân loại đều bao gồm RQD (Rock Quality Designation). Trong nghiên cứu này, hệ thống phân loại địa cơ học RMR được chọn áp dụng vì (1) phần lớn các bang đánh giá RQD và sử dụng hệ thống RMR (thông tin này dựa trên bảng câu hỏi trình bày trong Chương 3), và (2) hệ thống này phù hợp hơn với dữ liệu tính chất đá sẵn có từ các hồ sơ điển hình. Geological Strength Index (GSI), dựa trên hệ thống RMR và các bảng từ những phiên bản mới hơn của tiêu chuẩn phá hoại Hoek-Brown (ví dụ, Hoek et al., 2002), cũng đã được sử dụng.
Các hệ thống được trình bày trong báo cáo này và được sử dụng trong quá trình hiệu chỉnh: (1) cho ra một giá trị số (có dạng số trị), (2) cung cấp một kết quả có thể dùng để xác định/ước tính cường độ, (3) đã được sử dụng thành công trong quá khứ, và (4) áp dụng được cho các khối đá cứng. Các tham số được đưa vào các hệ thống phân loại để tạo ra giá trị số được trình bày trong Bảng 10. Các tham số được sử dụng phổ biến nhất là cường độ đá nguyên khối, chất lượng khe nứt, khoảng cách khe nứt và điều kiện nước ngầm. Người ta thường đề xuất rằng khi sử dụng các sơ đồ phân loại đá — như RQD, RMR, và Q-system — chỉ nên xét đến các mặt gián đoạn tự nhiên, có nguồn gốc địa chất hoặc địa mạo. Tuy nhiên, sau các hoạt động như khoan, nổ mìn và đào đất đá, việc đánh giá một mặt gián đoạn là tự nhiên hay nhân tạo thường rất khó, nếu không muốn nói là không thể.
1.8.2.2 Chỉ số chất lượng đá (RQD)
Năm 1964, D. U. Deere đã giới thiệu một chỉ số để đánh giá định lượng chất lượng đá, gọi là RQD. RQD là tỷ lệ phần trăm thu hồi lõi khoan có liên quan đến số lượng khe nứt và mức độ mềm yếu trong khối đá được quan sát từ mẫu lõi khoan. Chỉ các đoạn lõi nguyên vẹn có chiều dài lớn hơn 100 mm (4 in.) mới được cộng lại và chia cho tổng chiều dài hiệp khoan lõi (core run) (Deere, 1968).
\[
RQD=\frac{\sum \text{chiều dài các đoạn lõi} \ge 10\ \text{cm}}{\text{tổng chiều dài lõi khoan}}\times 100 \text{(%)}
\tag{83}
\]
Bảng 9. Các hệ thống phân loại/đặc trưng hóa khối đá chủ yếu (Edelbro, 2004, hiệu chỉnh theo Palmström, 1995).
| Tên hệ thống phân loại | Tác giả và phiên bản đầu tiên | Quốc gia xuất xứ | Ứng dụng | Dạng và loại 1 | Ghi chú |
|---|---|---|---|---|---|
| Rock Load Theory | Terzaghi, 1946 | USA | Hầm có chống đỡ bằng thép | Mô tả F, Hành vi F, Chức năng T | Không phù hợp cho hầm hiện đại |
| Stand Up Time | Lauffer, 1958 | Áo | Đào hầm | Mô tả F, Tổng quát T | Bảo thủ |
| New Austrian Tunneling Method (NATM) | Rabcewicz, 1964/65 và 1975 | Áo | Đào hầm trong nền kém ổn định (ứng suất cao) | Mô tả F, Hành vi F, Khái niệm đào hầm | Được dùng trong điều kiện nền trồi ép |
| Rock Quality Designation (RQD) | Deere et al., 1966 | USA | Mô tả lõi khoan, đào hầm | Số trị F, Tổng quát T | Nhạy với ảnh hưởng định hướng. Xem Deere, 1968 |
| A Recommended Rock Classification for Rock Mechanical Purposes | Coates and Pachting, 1968 | Dùng trong cơ học đá | Mô tả F, Tổng quát T | ||
| The Unified Classification of Soils and Rocks | Deere et al., 1966 | USA | Dựa trên hạt và khối để giao tiếp | Mô tả F, Tổng quát T | Xem Deere and Deere, 1988 |
| Rock Structure Rating (RSR) Concept 2 | Wickham et al., 1972 | USA | Hầm có chống đỡ bằng thép | Số trị F, Chức năng T | Không hữu ích với bê tông phun cốt sợi thép |
| Rock Mass Rating (RMR)-System, Council of Scientific and Industrial Research (CSIR) | Bieniawski, 1974 | Nam Phi | Hầm, mỏ, móng, v.v. | Số trị F, Chức năng T | Cơ sở dữ liệu điển hình chưa công bố |
| Q-System | Barton et al., 1974 | Na Uy | Hầm, khoang lớn | Số trị F, Chức năng T | |
| Mining RMR (MRMR) | Laubscher, 1975 | Khai thác mỏ | Số trị F, Chức năng T | Trong Laubscher, 1977 | |
| The Typological Classification | Matula and Holzer, 1978 | Dùng cho giao tiếp | Mô tả F, Tổng quát T | ||
| 3The Unified Rock Classification System (URCS) | Williamson, 1980 | USA | Dùng cho giao tiếp | Mô tả F, Tổng quát T | Trong Williamson, 1984 |
| Basic Geotechnical Description (BGD) | ISRM, 1981 | Dùng chung | Mô tả F, Tổng quát T | ||
| Rock Mass Strength (RMS) | Stille et al., 1982 | Thụy Điển | Số trị F, Chức năng T | RMR cải biên | |
| Modified Basic RMR (MBR) | Cummings et al., 1982 | Khai thác mỏ | Số trị F, Chức năng T | ||
| Simplified Rock Mass Rating | Brook and Dharmaratne, 1985 | Mỏ và hầm | Số trị F, Chức năng T | RMR và MMR cải biên | |
| Slope Mass Rating (SMR) | Romana, 1985 | Tây Ban Nha | Mái dốc | Số trị F, Chức năng T | |
| Ramamurthy/Arora | Ramamurthy and Arora, 1993 | Ấn Độ | Cho đá nguyên khối và đá có khe nứt | Số trị F, Chức năng T | Phương pháp Deere và Miller cải biên |
| Geological Strength Index (GSI) | Hoek et al., 1995 | Mỏ, hầm | Số trị F, Chức năng T | ||
| Rock Mass Number (N) | Goel et al., 1995 | Ấn Độ | Số trị F, Chức năng T | Q-system không xét ứng suất | |
| Rock Mass Index (RMi) | Palmström, 1995 | Na Uy | Giao tiếp trong cơ học đá, đặc trưng hóa | Số trị F, Chức năng T | |
|
Ghi chú
|
|||||
\(\\\)
Bảng 10. Các tham số được đưa vào các hệ thống phân loại khác nhau để cho ra một giá trị số (Edelbro, 2004).
| Các tham số | RQD | RSR | RMR | Q | MRMR | RMS | MBR | SRMR* | SMR | **RAC | GSI | N | RMi |
|---|---|---|---|---|---|---|---|---|---|---|---|---|---|
| Kích thước khối | – | – | – | – | – | – | X | – | – | – | – | – | X |
| Phương khe nứt | – | – | X | – | – | – | X | – | – | – | – | – | X |
| Số lượng tập khe nứt | – | – | – | X | – | X | – | – | – | – | – | X | X |
| Chiều dài khe nứt | – | – | – | – | – | – | – | – | – | – | – | – | X |
| Khoảng cách khe nứt | X | X | X | X | X | X | X | X | X | X | X | X | X |
| Cường độ khe nứt | – | X | X | X | X | X | X | X | X | X | X | X | X |
| Loại đá | – | X | – | – | – | – | – | – | – | – | – | – | – |
| Trạng thái ứng suất | – | – | – | X | X | – | X | – | – | – | – | – | – |
| Điều kiện nước ngầm | – | X | X | X | X | X | X | X | X | – | – | X | – |
| Cường độ đá nguyên khối | – | – | X | X | X | X | X | X | X | X | X | X | X |
| Hư hại do nổ mìn | – | – | – | – | X | – | X | X | – | – | X | – | – |
**RAC = Ramamurthy and Arora Classification
\(\\\)
RQD được sử dụng như một đại lượng tiêu chuẩn trong công tác ghi nhật ký mẫu lõi khoan (drill core logging), và giá trị lớn nhất của nó có lẽ nằm ở tính đơn giản, chi phí thấp và khả năng xác định nhanh chóng. RQD đơn giản là phép đo tỷ lệ phần trăm đá “tốt” thu hồi được từ một khoảng (hiệp) khoan trong lỗ khoan. Quy trình đo RQD được minh họa trong Hình 40. Quy trình khuyến nghị để đo chiều dài mẫu lõi là đo dọc theo đường tâm (centerline) của mẫu. Các vết nứt vỡ mẫu lõi do quá trình khoan gây ra nên được khớp lại với nhau và tính là một đoạn nguyên vẹn. Mối liên hệ giữa giá trị số của RQD và chất lượng kỹ thuật của khối đá theo đề xuất của Deere (1968) được trình bày trong Bảng 11.
Khi không có lõi khoan, có thể ước tính RQD từ các thông tin liên quan, chẳng hạn như khoảng cách khe nứt (Brady và Brown, 1985). Priest và Hudson (1976) nhận thấy rằng có thể ước tính RQD từ khoảng cách khe nứt thông qua các phép đo \(\lambda\) [số khe nứt trên một mét] thực hiện trên mặt lộ đá, bằng công thức sau:
\[
RQD = 100e^{-0.1\lambda}(0.1\lambda + 1)
\tag{84}
\]
Đối với \(\lambda = 6\) đến 16 khe nứt/m, có thể dùng phương trình đơn giản hóa sau (Priest và Hudson, 1976):
\[
RQD = -3.68\lambda + 110.4
\tag{85}
\]
Các Phương trình 84 và 85 có lẽ là những cách đơn giản nhất để xác định RQD khi không có lõi khoan. Palmström (1982) trình bày mối quan hệ giữa \(J_v\) và RQD trong khối đá không chứa sét dọc theo một đường hầm như sau:
\[
RQD = 115 – 3.3J_v
\tag{86}
\]
trong đó \(J_v\) là số lượng khe nứt thể tích và bằng tổng số khe nứt trên một đơn vị chiều dài đối với tất cả các tập khe nứt trong một khối đá không chứa sét. Với \(J_v < 4.5\), \(RQD = 100\).
RQD không phụ thuộc vào tỷ lệ kích thước và không phải là một thước đo tốt về chất lượng khối đá trong trường hợp khối đá có khoảng cách khe nứt xấp xỉ 100 mm. Nếu khoảng cách giữa các khe nứt liên tục là 105 mm (chiều dài lõi), thì giá trị RQD sẽ là 100%. Nếu khoảng cách giữa các khe nứt liên tục là 95 mm, thì giá trị RQD sẽ là 0%. Đối với các đường hầm kích thước lớn, RQD có giá trị đáng nghi ngờ. Như Douglas và Mostyn (1999) đã nêu, không phải mọi khuyết tật tìm thấy trong lỗ khoan đều có khả năng có ý nghĩa đối với sự ổn định của khối đá.
1.8.2.3 Rock Mass Rating (RMR)
Năm 1973, Bieniawski đã đưa ra RMR làm cơ sở cho phân loại địa cơ học. Hệ thống phân hạng này dựa trên kinh nghiệm của Bieniawski đối với các đường hầm nông trong đá trầm tích. Ban đầu, hệ thống RMR bao gồm 49 hồ sơ điển hình chưa công bố. Kể từ đó, hệ thống phân loại này đã trải qua một số thay đổi quan trọng. Năm 1974, số lượng tham số được giảm từ tám xuống còn sáu, và năm 1975, đã có sự điều chỉnh các mức phân hạng cũng như giảm các yêu cầu chống đỡ được khuyến nghị.

Năm 1976, ranh giới các cấp phân hạng đã được hiệu chỉnh (dựa trên kết quả của 64 hồ sơ điển hình mới) thành các bội số chẵn của 20, và đến năm 1979, hệ thống này đã chấp nhận cách mô tả khối đá của International Society for Rock Mechanics (ISRM). Phiên bản mới nhất của RMR là từ năm 1989, khi Bieniawski công bố các hướng dẫn lựa chọn gia cường đá. Trong phiên bản này, Bieniawski đề xuất rằng người dùng có thể nội suy các giá trị RMR giữa các cấp khác nhau chứ không chỉ dùng các giá trị rời rạc. Vì vậy, điều quan trọng là phải nêu rõ đang sử dụng phiên bản nào khi trích dẫn các giá trị RMR. Khi áp dụng hệ thống phân loại này, người ta chia khối đá thành một số vùng cấu trúc và phân loại riêng từng vùng.
Bảng 11. Tương quan giữa RQD và chất lượng khối đá (Deere, 1968).
| RQD % | Chất lượng khối đá |
|---|---|
| < 25 | Rất kém |
| 25–50 | Kém |
| 50–75 | Trung bình |
| 75–90 | Tốt |
| 90–100 | Rất tốt |
Hệ thống RMR sử dụng sáu tham số, mỗi tham số được chấm điểm. Các điểm số này được cộng lại để thu được giá trị RMR tổng. Sáu tham số đó như sau:
- Cường độ nén một trục của vật liệu đá nguyên khối \((q_u)\),
- RQD,
- Khoảng cách khe nứt hay mặt gián đoạn \((s)\),
- Điều kiện khe nứt,
- Điều kiện nước ngầm, và
- Phương khe nứt.
Năm tham số đầu tiên biểu thị các tham số cơ bản của RMR \((RMR_{basic})\) trong hệ thống phân loại. Tham số thứ sáu được xét riêng vì ảnh hưởng của phương các mặt gián đoạn phụ thuộc vào ứng dụng công trình cụ thể. Mỗi tham số này được gán một số điểm phân hạng, trong đó điểm số phản ánh chất lượng khối đá. Năm tham số đầu tiên được cộng đại số để cho tổng điểm, và có thể được điều chỉnh, tùy theo phương của khe nứt và phương của đường hầm, bằng tham số thứ sáu như chỉ ra trong các Phương trình 87a và 87b.
\[
RMR = RMR_\text{basic} + \text{hiệu chỉnh theo phương khe nứt}
\tag{87a}
\]
\[
RMR_\text{basic}=\sum \text{các tham số } (1+2+3+4+5)
\tag{87b}
\]
Bảng 12. Ý nghĩa của các cấp khối đá và các cấp khối đá được xác định từ tổng điểm phân hạng (Bieniawski, 1978).
| Tham số/tính chất của khối đá | Chỉ số phân hạng khối đá (cấp khối đá) | ||||
|---|---|---|---|---|---|
| Điểm số | 100–81 | 80–61 | 60–41 | 40–21 | <20 |
| Phân loại khối đá | Rất tốt | Tốt | Trung bình | Kém | Rất kém |
| Thời gian tự đứng trung bình | 10 năm cho khẩu độ 15 m |
6 tháng cho khẩu độ 8 m |
1 tuần cho khẩu độ 5 m |
10 giờ cho khẩu độ 2.5 m |
30 phút cho khẩu độ 1 m |
| Lực dính của khối đá kPa (ksf) |
> 400 (> 90) |
300–400 (67.44–90) |
200–300 (45–67.44) |
100–200 (22.48–45) |
< 100 (< 22.48) |
| Góc ma sát của khối đá | > 45° | 35°–45° | 25°–35° | 15°–25° | < 15° |
Giá trị RMR cuối cùng được phân thành năm cấp khối đá (xem Bảng 12 và Bảng 10.4.6.4-3 tương ứng trong tiêu chuẩn AASHTO [2008]). Các tham số khác nhau trong hệ thống không có tầm quan trọng như nhau đối với việc phân loại tổng thể khối đá, vì chúng đã được gán các mức điểm khác nhau. Giá trị RMR cao hơn cho thấy điều kiện/chất lượng khối đá tốt hơn. Hệ thống RMR rất đơn giản để sử dụng, và các tham số phân loại có thể dễ dàng thu được từ dữ liệu hố khoan hoặc từ công tác lập bản đồ ngầm. Phần lớn các ứng dụng của RMR là trong lĩnh vực đào hầm, nhưng RMR cũng đã được áp dụng trong phân tích ổn định mái dốc và móng nông, các hang ngầm, cũng như các loại công trình mở khác nhau trong khai thác mỏ.
1.8.2.4 Chỉ số cường độ địa chất (GSI)
Hoek và cộng sự (1995) đã đưa ra GSI như một phần bổ sung cho tiêu chuẩn phá hoại đá tổng quát hóa của họ và như một cách để ước tính các hằng số vật liệu (s), (a), và (m_b) trong tiêu chuẩn phá hoại Hoek-Brown. GSI ước tính sự suy giảm cường độ của khối đá trong các điều kiện địa chất khác nhau. GSI đã được cập nhật nhiều lần cho các khối đá yếu (1998, 2000, và 2001) (Hoek et al., 2002). Mục tiêu của hệ thống GSI là xác định các tính chất của khối đá chưa bị xáo động. Đối với các khối đá bị xáo động, cần phải hiệu chỉnh cho các giá trị GSI thấp hơn thu được từ các vị trí như vậy.
Cường độ của khối đá phụ thuộc vào các yếu tố như sức kháng cắt của các bề mặt khối đá được xác định bởi các mặt gián đoạn, chiều dài liên tục của chúng, và sự sắp xếp của chúng so với phương tải trọng (Wyllie, 1992). Nếu tải trọng đủ lớn để làm phát triển khe nứt và phá vỡ đá nguyên khối, hoặc nếu khối đá có thể giãn nở thể tích, dẫn đến mất liên kết khóa giữa các khối, thì cường độ khối đá có thể giảm đáng kể so với cường độ đá tại chỗ. Khi móng chứa các khối có khả năng mất ổn định và có thể trượt khỏi nền móng, thì trong thiết kế nên sử dụng các tham số sức kháng cắt của các mặt gián đoạn thay vì cường độ của khối đá.
Nếu khối đá chứa nhiều mặt gián đoạn hoặc bị nứt nẻ mạnh với các mặt gián đoạn có đặc trưng cường độ tương tự nhau, thì có thể xem chúng như một môi trường liên tục đẳng hướng, và cường độ của chúng có thể được ước tính bằng các phương pháp dựa trên cách tiếp cận môi trường liên tục. Vì vậy, các tính chất cường độ và biến dạng của khối đá có khe nứt có thể được ước tính bằng tiêu chuẩn phá hoại Hoek-Brown (Hoek và Brown, 1997) từ ba tham số (Hoek và Marinos, 2000; Marinos và Hoek, 2001):
- Cường độ nén một trục không hạn chế của các phần tử đá nguyên khối nằm trong khối đá.
- Một hằng số, \(m_i\), đặc trưng cho tính chất ma sát của các khoáng vật thành phần trong mỗi phần tử đá nguyên khối.
- GSI, liên hệ các tính chất của các phần tử đá nguyên khối với tính chất của toàn bộ khối đá (xem Bảng 13) (Canadian Geotechnical Society, 2006).
Tiêu chuẩn phá hoại Hoek-Brown tổng quát được xác định như sau:
\[
\sigma_1’=\sigma_3’+q_u\left(m_b\frac{\sigma_3′}{q_u}+s\right)^a
\tag{88}
\]
trong đó:
- \(\sigma_1’\) và \(\sigma_3’\) = các ứng suất hữu hiệu chính tại trạng thái phá hoại;
- \(q_u\) = cường độ nén một trục không hạn chế của các mảnh đá nguyên khối;
- \(m_b\) = giá trị của hằng số (m) theo Hoek-Brown đối với khối đá, và \(m_b=m_i e^{\left(\dfrac{GSI-100}{28}\right)}\);
- \(m_i\) = hằng số Hoek-Brown đối với đá nguyên khối (xem Bảng 14) (Canadian Geotechnical Society, 2006); và
- \(s\) và \(a\) = các hằng số phụ thuộc vào đặc trưng của khối đá.
Với \(GSI>25\), \(a=0.5\), và \( s=e^{\left(\dfrac{GSI-100}{9}\right)}\). Với \(GSI<25\), \(s=0,\qquad a=0.65-\dfrac{GSI}{200}\)
Bảng 13. Giá trị ước tính GSI cho khối đá (Hoek và Marinos, 2000).

Hằng số Hoek-Brown \((m_i)\) có thể được xác định từ thí nghiệm nén ba trục trên mẫu lõi khoan theo quy trình do Hoek và cộng sự (1995) trình bày, hoặc có thể được xác định từ các giá trị cho trong Bảng 14 (Canadian Geotechnical Society, 2006). Phần lớn các giá trị nêu trong Bảng 14 được suy ra từ thí nghiệm nén ba trục trên các mẫu lõi nguyên vẹn. Các khoảng giá trị được trình bày phản ánh tính biến thiên tự nhiên của cường độ vật liệu đất đá và phụ thuộc vào độ chính xác của mô tả thạch học của đá. Ví dụ, Marinos và Hoek (2001) lưu ý rằng thuật ngữ “granite” mô tả một loại đá được xác định khá rõ ràng, thể hiện các đặc trưng cơ học rất tương tự nhau, không phụ thuộc vào nguồn gốc. Vì vậy, \(m_i\) của granite được xác định là \(32 \pm 3\). Ngược lại, volcanic breccia không được xác định thật chính xác về thành phần khoáng vật, nên \(m_i\) được cho là \(19 \pm 5\), biểu thị mức độ không chắc chắn cao hơn (Canadian Geotechnical Society, 2006). Các khoảng giá trị này phụ thuộc vào độ hạt và mức độ liên kết khóa của cấu trúc tinh thể. Giá trị lớn hơn gắn với cấu trúc liên kết khóa chặt hơn và có đặc tính ma sát cao hơn.
Bảng 14. Giá trị của hằng số Hoek-Brown \((m_i)\) cho đá nguyên khối theo nhóm đá (Marinos và Hoek, 2001).
| Đá trầm tích | Mảnh vụn | Conglomerate Breccia1 |
Sandstone (17±4) |
Siltstone (7±2) Greywacke (18±3) |
Claystone (4±2) Shale (6±2) Marl (7±2) |
|
| Không mảnh vụn | Carbonat | Crystalline Limestone (12±3) |
Spartic Limestone (10±2) |
Micritic Limestone (9±2) |
Dolomite (9±3) |
|
| Evaporites | Gypsum (8±2) |
Anhydrite (12±2) |
||||
| Hữu cơ | Chalk (7±2) | |||||
| Đá biến chất | Không phân phiến | Marble (9±3) | Hornfels (19±4) Meta Sandstone (19±3) |
Quartzite (20±3) |
||
| Phân phiến nhẹ | Migmatite (29±3) |
Amphibolite (26±6) |
Gneiss (28±5) |
|||
| Phân phiến2 | Schist (12±3) |
Phyllite (7±3) |
Slate (7±4) | |||
| Đá magma | Plutonic | Sáng màu | Granite (32±3) Granodiorite (29±3) |
Diorite (25±5) |
||
| Sẫm màu | Gabbro (27±3) Norite (20±5) |
Dolerite (16±5) |
||||
| Hypabyssal | Porphyry (20±5) |
Diabase (15±5) |
Peridotite (25±5) |
|||
| Volcanic | Dung nham | Rhyolite (25±5) Andesite (25±5) |
Dacite (25±3) Basalt (25±5) |
|||
| Pyroclastic | Agglomerate (19±3) |
Breccia (19±5) |
Tuff (13±5) |
\(\\\)
1.8.3 Thực hành hiện hành theo AASHTO (2008)
Cường độ của vật liệu đá nguyên khối được xác định bằng cách sử dụng kết quả của các thí nghiệm nén một trục không hạn chế trên mẫu lõi đá nguyên vẹn, thí nghiệm ép chẻ kéo trên mẫu lõi đá nguyên vẹn, hoặc thí nghiệm cường độ tải trọng điểm trên các mẫu đá nguyên vẹn. Đá được phân loại bằng hệ thống RMR như mô tả trong Bảng 15. Đối với từng tham số trong năm tham số của Bảng 15, cần đánh giá mức điểm tương đối dựa trên các khoảng giá trị đã cho. RMR được xác định bằng tổng của cả năm mức điểm tương đối đó. RMR phải được hiệu chỉnh theo các tiêu chí trong Bảng 16. Phân loại đá phải được xác định theo Bảng 17. Việc đánh giá trực quan đá và khối đá được nhấn mạnh do tầm quan trọng của các mặt gián đoạn trong đá. Phân loại địa cơ học có thể được dùng để ước tính giá trị GSI cho các trường hợp mà RMR lớn hơn 23, như sau:
\[
GSI = RMR_{89} – 5
\tag{89}
\]
trong đó \(RMR_{89}\) = giá trị RMR theo Bieniawski (1989) như trình bày trong Bảng 17. Với các giá trị \(RMR_{89}\) nhỏ hơn 23, chỉ số chất lượng hầm cải biên \((Q’)\) được dùng để ước tính giá trị GSI:
\[
Q’=\frac{RQD}{J_n}\times\frac{J_r}{J_a}
\tag{90}
\]
trong đó:
- \(J_n\) = số lượng tập mặt gián đoạn,
- \(J_r\) = độ nhám của các mặt gián đoạn, và
- \(J_a\) = điều kiện mặt gián đoạn và vật liệu lấp nhét.
\[
GSI = 9\log_e Q’ + 44
\tag{91}
\]
Bảng 18 cho các giá trị của các tham số được dùng để đánh giá \(Q’\) trong Phương trình 90.
Bảng 15. Phân loại địa cơ học của khối đá (AASHTO, 2008, Bảng 10.4.6.4-1).
| THAM SỐ | KHOẢNG GIÁ TRỊ | ||||||||
|---|---|---|---|---|---|---|---|---|---|
| 1 | Cường độ của vật liệu đá nguyên khối | Chỉ số cường độ tải trọng điểm | >175 ksf | 85–175 ksf | 45–85 ksf | 20–45 ksf | Đối với khoảng thấp này, ưu tiên thí nghiệm nén một trục không hạn chế | ||
| Cường độ nén một trục không hạn chế | >4,320 ksf | 2,160–4,320 ksf | 1,080–2,160 ksf | 520–1,080 ksf | 215–520 ksf | 70–215 ksf | 20–70 ksf | ||
| Điểm tương đối | 15 | 12 | 7 | 4 | 2 | 1 | 0 | ||
| THAM SỐ | KHOẢNG GIÁ TRỊ | ||||||||
|---|---|---|---|---|---|---|---|---|---|
| 2 | Chất lượng lõi khoan RQD | 90% đến 100% | 75% đến 90% | 50% đến 75% | 25% đến 50% | <25% | |||
| Điểm tương đối | 20 | 17 | 13 | 8 | 3 | ||||
| 3 | Khoảng cách khe nứt | >10 ft | 3–10 ft | 1–3 ft | 2 in–1 ft | <2 in | |||
| Điểm tương đối | 30 | 25 | 20 | 10 | 5 | ||||
| 4 | Điều kiện khe nứt |
• Bề mặt rất nhám • Không liên tục • Không tách mở • Thành khe là đá cứng |
• Bề mặt hơi nhám • Độ mở <0.05 in • Thành khe là đá cứng |
• Bề mặt hơi nhám • Độ mở <0.05 in • Thành khe là đá mềm |
• Bề mặt slickensided hoặc • Vật liệu lấp nhét <0.2 in • Hoặc khe nứt mở 0.05–0.2 in • Khe liên tục |
• Lớp đất mềm >0.2 in dày hoặc • Khe nứt mở >0.2 in • Khe liên tục |
|||
| Điểm tương đối | 25 | 20 | 12 | 6 | 0 | ||||
| THAM SỐ | THAM SỐ | |||||
|---|---|---|---|---|---|---|
| 5 |
Điều kiện nước ngầm (dùng một trong ba tiêu chí đánh giá, tùy theo phương pháp khảo sát thích hợp) |
Lưu lượng thấm trên 30 ft chiều dài hầm |
Không có | <400 gal/hr | 400–2,000 gal/hr | >2,000 gal/hr |
|
Tỷ số = áp lực nước khe nứt / ứng suất chính lớn |
0 | 0.0–0.2 | 0.2–0.5 | >0.5 | ||
| Điều kiện tổng quát | Khô hoàn toàn | Chỉ ẩm (nước kẽ) |
Nước dưới áp lực vừa phải |
Vấn đề nước nghiêm trọng |
||
| Điểm tương đối | 10 | 7 | 4 | 0 | ||
\(\\\)
Bảng 16. Hiệu chỉnh điểm phân loại địa cơ học theo phương của khe nứt (AASHTO, 2008, Bảng 10.4.6.4-2).
| Phương phương vị và góc dốc của khe nứt | Rất thuận lợi | Thuận lợi | Trung bình | Bất lợi | Rất bất lợi | |
|---|---|---|---|---|---|---|
| Điểm | Hầm | 0 | −2 | −5 | −10 | −12 |
| Móng | 0 | −2 | −7 | −15 | −25 | |
| Mái dốc | 0 | −5 | −25 | −50 | −60 | |
\(\\\)
Bảng 17. Các cấp khối đá địa cơ học được xác định từ tổng điểm phân hạng (AASHTO, 2008, Bảng 10.4.6.4-3).
| Điểm RMR | 100–81 | 80–61 | 60–41 | 40–21 | <20 |
|---|---|---|---|---|---|
| Số cấp | I | II | III | IV | V |
| Mô tả | Đá rất tốt | Đá tốt | Đá trung bình | Đá kém | Đá rất kém |
Việc xác định sức kháng cắt của khối đá nứt nẻ là rất cần thiết trong các phân tích thiết kế móng. Tiêu chuẩn Hoek và Brown có thể được sử dụng để đánh giá sức kháng cắt của các khối đá nứt nẻ, trong đó sức kháng cắt được biểu diễn bằng một đường bao cong là hàm của cường độ nén một trục không hạn chế của đá nguyên khối, \(q_u\), và hai hằng số không thứ nguyên, \(m\) và \(s\). Cần sử dụng các giá trị của \(m\) và \(s\) như được xác định trong Bảng 19. Sức kháng cắt của khối đá phải được xác định theo phương pháp do Hoek (1983) và Hoek và Brown (1988, 1997) phát triển như sau:
\[
\tau = (\cot \phi_i’ – \cos \phi_i’) \ m \ \frac{q_u}{8}
\tag{92}
\]
trong đó:
- \(\tau\) = sức kháng cắt của khối đá (ksf),
- \(q_u\) = cường độ nén một trục không hạn chế trung bình của lõi đá (ksf),
- \(m, s\) = các hằng số tra từ Bảng 19,
- \(\sigma_n’\) = ứng suất pháp hữu hiệu (ksf), và
- \(\phi_i’\) = góc ma sát tức thời của khối đá (độ):
\[\qquad \phi_i’=\tan^{-1}\left\{\left[4h\cos^2\left(30+0.33\sin^{-1}\left(h^{-3/2}\right)\right)-1\right]\right\}^{-1/2} \]
\[\qquad h=1+\dfrac{16(m\sigma_n’+sq_u)}{3m^2q_u}\]
Khi cần xem xét một mặt gián đoạn chính có chiều dày vật liệu lấp nhét đáng kể, thì sức kháng cắt sẽ do cường độ của vật liệu lấp nhét và chuyển vị trong quá khứ cũng như chuyển vị dự kiến trong tương lai của mặt gián đoạn đó chi phối. Mô đun đàn hồi của khối đá \((E_m)\) được lấy bằng giá trị nhỏ hơn giữa mô đun đàn hồi của mẫu lõi đá nguyên vẹn \((E_i)\) hoặc mô đun xác định từ một trong các phương trình sau:
\[
E_m = 145\left(10^{\frac{RMR-10}{40}}\right)
\tag{93}
\]
trong đó:
- \(E_m\) = mô đun đàn hồi của khối đá (ksi),
- \(E_m \le E_i\),
- \(E_i\) = mô đun đàn hồi của đá nguyên khối xác định từ thí nghiệm (ksi), và
- \(RMR\) = chỉ số phân hạng khối đá.
hoặc
\[
E_m=\left(\frac{E_m}{E_i}\right)E_i
\tag{94}
\]
trong đó \(E_m\) là mô đun đàn hồi của khối đá (ksi), và \(E_m/E_i\) là hệ số giảm dựa trên RQD, được xác định từ Bảng 20 (không thứ nguyên).
Bảng 18. Các tham số khe nứt dùng để xác định (Q’) (Barton et al., 1974).
|
|
||||||||||||||||||||||||||||||||||||||||||||||||||||||||||
\(\\\)
| Chất lượng đá | Các hằng số | Loại đá | ||||
|---|---|---|---|---|---|---|
|
A = Đá carbonat có sự phân tách tinh thể phát triển rõ — dolomite, limestone, marble B = Đá sét gắn kết cứng — mudstone, siltstone, shale, slate (vuông góc với mặt phân tách) C = Đá cát kết có tinh thể bền chắc và mặt phân tách tinh thể phát triển kém — sandstone, quartzite D = Đá magma kết tinh đa khoáng, hạt mịn — andesite, dolerite, diabase, rhyolite E = Đá magma và đá biến chất kết tinh đa khoáng, hạt thô — amphibolite, gabbro, gneiss, granite, norite, quartz-diorite |
||||||
| A | B | C | D | E | ||
|
MẪU ĐÁ NGUYÊN KHỐI Mẫu kích thước phòng thí nghiệm, không có mặt gián đoạn. Phân hạng CSIR: RMR = 100 |
m s |
7.00 1.00 |
10.00 1.00 |
15.00 1.00 |
17.00 1.00 |
25.00 1.00 |
|
KHỐI ĐÁ CHẤT LƯỢNG RẤT TỐT Khối đá liên kết khóa chặt, chưa bị xáo động, với các khe nứt không phong hóa, khoảng cách 3–10 ft. Phân hạng CSIR: RMR = 85 |
m s |
2.40 0.082 |
3.43 0.082 |
5.14 0.082 |
5.82 0.082 |
8.567 0.082 |
|
KHỐI ĐÁ CHẤT LƯỢNG TỐT Đá tươi đến phong hóa nhẹ, hơi bị xáo động, với khe nứt cách nhau 3–10 ft. Phân hạng CSIR: RMR = 65 |
m s |
0.575 0.00293 |
0.821 0.00293 |
1.231 0.00293 |
1.395 0.00293 |
2.052 0.00293 |
|
KHỐI ĐÁ CHẤT LƯỢNG TRUNG BÌNH Nhiều tập khe nứt phong hóa vừa phải, khoảng cách 1–3 ft. Phân hạng CSIR: RMR = 44 |
m s |
0.128 0.00009 |
0.183 0.00009 |
0.275 0.00009 |
0.311 0.00009 |
0.458 0.00009 |
|
KHỐI ĐÁ CHẤT LƯỢNG KÉM Nhiều khe nứt phong hóa, khoảng cách 2 đến 12 in; có ít vật liệu lấp nhét mềm. Đá thải đầm chặt sạch. Phân hạng CSIR: RMR = 23 |
m s |
0.029 3 x 10−6 |
0.041 3 x 10−6 |
0.061 3 x 10−6 |
0.069 3 x 10−6 |
0.102 3 x 10−6 |
|
KHỐI ĐÁ CHẤT LƯỢNG RẤT KÉM Nhiều khe nứt phong hóa mạnh, khoảng cách < 2 in, có vật liệu lấp nhét. Đá thải có hạt mịn. Phân hạng CSIR: RMR = 3 |
m s |
0.007 1 x 10−7 |
0.010 1 x 10−7 |
0.015 1 x 10−7 |
0.017 1 x 10−7 |
0.025 1 x 10−7 |
Đối với các công trình quan trọng hoặc quy mô lớn, có thể cần xác định mô đun biến dạng của khối đá \((E_m)\) bằng các thí nghiệm tại hiện trường. Việc sử dụng mô đun đàn hồi của khối đá để tính toán chuyển vị của vật liệu đá dưới tải trọng tác dụng là cực kỳ quan trọng. Nếu dùng mô đun của đá nguyên khối thì sẽ cho các ước tính không thực tế và không thiên về an toàn. Hệ số Poisson của đá được xác định từ các thí nghiệm trên lõi đá nguyên vẹn. Khi không thể thực hiện thí nghiệm trên lõi đá, hệ số Poisson có thể được ước tính từ Bảng 21.
1.8.4 Tóm tắt
Một cách thông dụng để xác định cường độ khối đá là sử dụng một tiêu chuẩn phá hoại. Các tiêu chuẩn phá hoại khối đá hiện có phụ thuộc vào trạng thái ứng suất và thường bao gồm một hoặc несколько tham số mô tả tính chất của khối đá. Các tham số này thường dựa trên các hệ thống phân loại hoặc đặc trưng hóa. Cường độ nén một trục không hạn chế, kích thước và hình dạng khối đá, cường độ khe nứt, và một hệ số tỷ lệ là những tham số quan trọng nhất cần được sử dụng khi ước tính cường độ khối đá. Dựa trên các kết quả nghiên cứu, một số hệ thống và tiêu chuẩn được lựa chọn đã được trình bày trong chương này. Chúng bao gồm RMR, GSI, và tiêu chuẩn Hoek-Brown. GSI tương tự RMR, nhưng có tích hợp các phiên bản mới hơn của hệ thống gốc do Bieniawski đề xuất (Bieniawski 1976, 1989). Tiêu chuẩn Hoek-Brown là tiêu chuẩn phá hoại được sử dụng rộng rãi nhất để ước tính cường độ của các khối đá có khe nứt, mặc dù nó thiếu cơ sở lý thuyết và lượng dữ liệu thực nghiệm dùng trong giai đoạn phát triển ban đầu của tiêu chuẩn còn hạn chế (Sjöberg, 1997).
Bảng 20. Ước tính \(E_m\) dựa trên RQD (O’Neill và Reese, 1999; AASHTO, 2008, Bảng 10.4.6.5-1).
| RQD (phần trăm) |
Em/Ei | |
|---|---|---|
| Khe kín | Khe hở | |
| 100 | 1.00 | 0.60 |
| 70 | 0.70 | 0.10 |
| 50 | 0.15 | 0.10 |
| 20 | 0.05 | 0.05 |
\(\\\)
Bảng 21. Tóm tắt hệ số Poisson của đá nguyên khối (AASHTO, 2008, Bảng C10.4.6.5-2, hiệu chỉnh theo Kulhawy, 1978).
| Loại đá | Số lượng giá trị | Số loại đá | Hệ số Poisson, ν | Độ lệch chuẩn | ||
|---|---|---|---|---|---|---|
| Lớn nhất | Nhỏ nhất | Trung bình | ||||
| Granite | 22 | 22 | 0.39 | 0.09 | 0.2 | 0.08 |
| Gabbro | 3 | 3 | 0.2 | 0.16 | 0.18 | 0.02 |
| Diabase | 6 | 6 | 0.38 | 0.2 | 0.29 | 0.06 |
| Basalt | 11 | 11 | 0.32 | 0.16 | 0.23 | 0.05 |
| Quartzite | 6 | 6 | 0.22 | 0.08 | 0.14 | 0.05 |
| Marble | 5 | 5 | 0.4 | 0.17 | 0.28 | 0.08 |
| Gneiss | 11 | 11 | 0.4 | 0.09 | 0.22 | 0.09 |
| Schist | 12 | 11 | 0.31 | 0.02 | 0.12 | 0.08 |
| Sandstone | 12 | 9 | 0.46 | 0.08 | 0.2 | 0.11 |
| Siltstone | 3 | 3 | 0.23 | 0.09 | 0.18 | 0.06 |
| Shale | 3 | 3 | 0.18 | 0.03 | 0.09 | 0.06 |
| Limestone | 19 | 19 | 0.33 | 0.12 | 0.23 | 0.06 |
| Dolostone | 5 | 5 | 0.35 | 0.14 | 0.29 | 0.08 |
Hỗ trợ duy trì trang:
Tôi xây dựng trang này để chia sẻ các tài liệu kỹ thuật cốt lõi trong thiết kế hạ tầng giao thông.
Nếu bạn thấy nội dung hữu ích và muốn góp phần duy trì trang hoạt động bền vững, tôi rất trân trọng mọi sự ủng hộ.