View Categories

Chương 4 – Diễn giải và Đánh giá

Mục lục

4.1 Tổng quan

Chương 3 trình bày việc phân tích các số liệu hiện có, trong đó phần lớn chỉ giới hạn ở các mối tương quan trực tiếp giữa điều kiện tải trọng (ví dụ: đúng tâm, lệch tâm, v.v.) và mức độ thể hiện của các phương pháp tính toán sức chịu tải. Việc diễn giải các phát hiện đối với móng nông phức tạp hơn so với việc diễn giải các phát hiện đối với móng sâu, như đã trình bày chẳng hạn trong NCHRP Report 507 (Paikowsky và cộng sự, 2004). Lý do là có nhiều tham số hơn có thể góp phần tạo nên xu hướng của số liệu so với những gì có thể nhận thấy trong lần đánh giá đầu tiên.

Ví dụ, Mục 3.8.2 của báo cáo này đã xem xét mức độ thể hiện của phương trình của Carter và Kulhawy (1988) dùng để tính sức chịu tải của móng trên đá. Cơ sở dữ liệu gồm các thí nghiệm trên móng nông và mũi cọc khoan nhồi cho thấy có sự khác biệt lớn giữa mức độ thể hiện của hai nhóm này. Kết luận tự nhiên có thể là quan hệ tải trọng – chuyển vị tại đầu hố socket đá không thể áp dụng cho việc xem xét lý thuyết sức chịu tải. Tuy nhiên, việc xem xét sâu hơn các số liệu cho thấy phương pháp được khảo sát (tức phương pháp Carter và Kulhawy) có độ lệch phụ thuộc vào chất lượng đá. Vì hai cơ sở dữ liệu lịch sử trường hợp được xem xét (tức móng nông và socket đá) khác nhau về chất lượng đá chiếm ưu thế trong từng nhóm, nên có thể giải thích sự khác biệt về mức độ thể hiện dựa trên chất lượng đá chứ không phải dựa trên loại thí nghiệm.

Tương tự, việc khảo sát tải trọng đứng của móng nông trên nền đất tự nhiên so với tải trọng đứng của móng nông trên nền đất đắp có kiểm soát, được trình bày ở Mục 3.5, cho thấy có sự khác biệt lớn giữa hai nhóm. Các cách diễn giải số liệu trước đây (ví dụ: Paikowsky và cộng sự, 2008; Paikowsky và cộng sự, 2009b; Amatya và cộng sự, 2009) đương nhiên đi theo các phát hiện này, phân biệt các nhóm dựa trên cách bố trí đất (tức đất tự nhiên so với đất có kiểm soát). Việc nghiên cứu sâu hơn cho thấy một phần nguyên nhân của sự khác biệt là do sự khác nhau về góc ma sát của đất trong các nhóm được khảo sát, cũng như độ lệch của hệ số sức chịu tải \(N_{\gamma}\) và sự phụ thuộc của nó vào độ lớn của góc ma sát trong.

Vì vậy, chương này đề cập đến các vấn đề sau:

  1. Hoàn thiện các tải trọng và tham số cần thiết để thực hiện hiệu chỉnh. Các hàm phân bố của tải trọng ngang đã được xây dựng trước đó. Các hàm này được phát triển để cho phép hiệu chỉnh sức kháng trượt. Độ tin cậy mục tiêu cũng được thiết lập để cho phép hiệu chỉnh các hệ số sức kháng.
  2. Khảo sát và diễn giải số liệu cũng như các phát hiện được trình bày trong Chương 3 của báo cáo này, bao gồm các nguồn bất định, ảnh hưởng của kích thước, đất tự nhiên so với đất được kiểm soát, và cách tiếp cận xác suất đối với thông tin còn thiếu.
  3. Xác định cuối cùng các hệ số sức kháng kiến nghị.

4.2 Bất định trong tải trọng đứng và tải trọng ngang

4.2.1 Tổng quan

Phần thảo luận sau đây trình bày các đặc trưng được lựa chọn cho tải trọng đứng và tải trọng ngang, gồm tải trọng tĩnh và tải trọng hoạt tải, tác dụng lên móng cầu. Mặc dù chủ đề này vượt ra ngoài phạm vi của nghiên cứu hiện tại, việc thiết lập các phân bố và hệ số tải trọng ngang đã trở thành một yêu cầu cần thiết cho quá trình hiệu chỉnh, vì vậy được trình bày ở đây. Dự kiến rằng các nghiên cứu thực nghiệm, phân tích và xác suất trong tương lai sẽ cho phép phân tích tốt hơn và lựa chọn đáng tin cậy hơn các phân bố tải trọng.

4.2.2 Tải trọng đứng

NCHRP Report 507 (Paikowsky và cộng sự, 2004) đã thiết lập các phân bố tải trọng và các hệ số được sử dụng cho ULS và SLS của móng sâu và móng nông dưới tác dụng của tải trọng đứng. Các giá trị này dựa trên Bảng I-1 của NCHRP Report 368, trong đó đưa ra một khoảng giá trị cho hoạt tải (Nowak, 1999). Độ lệch của hoạt tải đã được lấy bằng giá trị trung bình của khoảng được cho (1.10–1.20), và COV được lấy bằng 0.20 thay vì 0.18, như trình bày trong NCHRP Report 368. Các hệ số tải trọng được lấy từ các Bảng 3.4.1-1 và các Bảng 3.4.1-2 của LRFD Bridge Design Specifications, Mục 10: Foundations (AASHTO, 2007). Các hệ số tải trọng này được liệt kê trong Bảng 49.

Bảng 49. Các hệ số tải trọng và các bất định đối với hoạt tải đứng và tĩnh tải.

Loại tải trọng Hệ số tải trọng1 Bias2 COV2
Hoạt tải (LL) γL = 1.75 1.153 0.204
Tĩnh tải (DL) γD = 1.25 1.05 0.10
1 Bảng 3.4.1-1 và 3.4.1-2 (AASHTO, 2007)
2 Bảng F-1 của NCHRP Report 368 (Nowak, 1999)
3 Giá trị trung bình của khoảng 1.10 đến 1.20
4 COV của 0.18 được làm tròn thành 0.20

4.2.3 Tải trọng ngang

4.2.3.1 Áp lực đất ngang (tĩnh tải)

Các nguồn bất định trong áp lực đất ngang do đất và tải phủ gây ra là sự biến thiên của dung trọng đất và góc ma sát của đất. Dựa trên nghiên cứu của Phoon và cộng sự (1995), báo cáo cuối cùng của Dự án NCHRP 12-55 (D’Appolonia và Đại học Michigan, 2004) kiến nghị sự biến thiên của dung trọng đất như sau:

  • Bias của dung trọng đất = 1.00
  • COV bằng 0.10 đối với điều kiện đất tại chỗ (in situ, tự nhiên)
  • COV bằng 0.08 đối với đất đắp có kiểm soát (engineered backfill)
  • Hàm phân bố tuân theo = phân bố chuẩn

Ngoài ra, cũng dựa trên nghiên cứu của Phoon và cộng sự (1995), báo cáo cuối cùng của Dự án NCHRP 12-55 (2004) nêu sự biến thiên trong việc ước tính góc ma sát của đất \((\phi_f)\) như sau:

  • \(\phi_f\) từ SPT:
    Bias = 1.00 đến 1.20, COV = 0.15 đến 0.20
  • \(\phi_f\) từ thí nghiệm xuyên côn (CPT) (Kulhawy và Mayne, 1990):
    Bias = 1.00 đến 1.15, COV = 0.10 đến 0.15
  • \(\phi_f\) từ thí nghiệm trong phòng:
    Bias = 1.00 đến 1.13, COV = 0.05 đến 0.10
  • Hàm phân bố tuân theo = phân bố lognormal
  • Giá trị bias hợp lý được lấy là 1.00

Hệ số áp lực đất tại trạng thái nghỉ, \(K_0\).

Dựa trên số liệu được Mayne và Kulhawy (1982) tổng hợp cho hệ số áp lực đất tại trạng thái nghỉ \(K_0\) trong điều kiện thoát nước và không thoát nước, người ta nhận thấy COV của phép biến đổi tương ứng, sử dụng phương trình của Jaky cho dưới đây (Jaky, 1944), bằng 0.18 (NCHRP Project 12-55, 2004). \(K_{0nc}\) biểu thị \(K_0\) đối với đất rời cố kết thường.

\[
K_{0nc} = 1 – \sin \phi_f
\tag{113}
\]

Bảng 50. Khoảng giá trị COV của \(K_{0nc}\) ứng với các
khoảng biến thiên của góc ma sát đất (D’Appolonia và Đại học Michigan, 2004).

COV của K0nc
Góc ma sát của đất, \(\phi_f\) COV của \(\phi_f\)
0.05–0.10
\(\phi_f\) từ thí nghiệm trong phòng
0.10–0.15
\(\phi_f\) từ CPT
0.15–0.20
\(\phi_f\) từ SPT
30 0.186–0.202 0.202–0.227 0.227–0.260
35 0.189–0.217 0.217–0.257 0.257–0.303
40 0.195–0.237 0.237–0.295 0.295–0.364

\(\\\)

Bảng 50 tóm tắt sự biến thiên của \(K_{0nc}\) đối với đất rời, trong đó đã bao gồm bất định do phép biến đổi, dựa trên báo cáo cuối cùng của Dự án NCHRP 12-55 (D’Appolonia và Đại học Michigan, 2004).

Hệ số áp lực đất chủ động Rankine, \(K_a\).

Hệ số áp lực đất chủ động Rankine được cho bởi:

\[
K_a = \frac{1-\sin \phi_f}{1+\sin \phi_f}
= \tan^2\left(45^\circ-\frac{\phi_f}{2}\right)
\tag{114}
\]

Sự biến thiên của hệ số áp lực đất chủ động Rankine theo sự biến thiên của góc ma sát đất được trình bày trong Bảng 51. Các hệ số biến thiên của các hệ số áp lực đất trong Bảng 51 được xác định bằng cách sinh 1000 mẫu góc ma sát đất theo phân bố lognormal, với các COV lần lượt là 0.10, 0.15, 0.20 và 0.25, đồng thời giới hạn góc ma sát đất lớn nhất ở 47°. Trong Bảng 51, các COV này được trình bày dưới mục “COV sim”; còn “COV calc” được xác định bằng cách sử dụng phép xấp xỉ bậc nhất trong tính toán COV, như đã nêu trong báo cáo cuối cùng của Dự án NCHRP 12-55 (2004). Có thể thấy rằng sai khác giữa COV ước tính bằng mô phỏng và bằng phép xấp xỉ bậc nhất tăng lên khi COV của góc ma sát đất tăng.

Bảng 51. COV của các hệ số áp lực đất ngang ứng với các giá trị COV khác nhau và các góc ma sát đất khác nhau.

Góc ma sát
đất, \(\phi_f\)
Rankine
chủ động, Ka
Rankine
bị động, Kp
Coulomb bị động, Kp
δ/\(\phi_f\) = 2/3 δ/\(\phi_f\) = 0.5 δ/\(\phi_f\) = 0.4 δ/\(\phi_f\) = 0.3 δ/\(\phi_f\) = 0.2 δ/\(\phi_f\) = 0.1 δ/\(\phi_f\) = 0.0
Giá trị
tr.bình
COV COV sim COV calc COV sim COV calc COV sim COV sim COV sim COV sim COV sim COV sim COV sim
25 0.100.090.100.100.090.200.170.150.140.120.110.10
0.150.140.150.150.130.340.270.240.210.190.170.15
0.200.190.210.220.170.640.450.380.330.280.250.22
0.250.220.270.270.211.040.610.490.410.350.310.27
30 0.100.120.130.130.110.360.270.230.200.170.150.13
0.150.170.190.190.160.700.430.350.300.260.220.19
0.200.230.270.260.211.050.630.500.420.350.300.26
0.250.270.340.330.251.390.840.670.550.460.390.33
35 0.100.150.160.160.140.580.370.300.250.220.180.16
0.150.220.240.240.200.970.590.480.390.330.280.24
0.200.280.330.300.251.130.730.590.490.420.350.30
0.250.310.430.340.301.190.800.650.550.460.390.34
37 0.100.160.170.170.150.670.420.340.280.240.200.17
0.150.220.260.240.210.970.610.490.400.340.280.24
0.200.270.360.290.271.070.690.560.470.390.340.29
0.250.320.470.330.321.090.750.620.520.440.380.33
40 0.100.170.190.170.160.680.420.340.280.240.200.17
0.150.230.300.230.230.840.550.450.370.320.270.23
0.200.280.410.270.290.910.630.520.440.370.320.27
0.250.330.530.300.350.930.660.550.470.400.350.30
Ghi chú:
\(\qquad \) * “COV sim” của các hệ số áp lực đất được tính từ 1000 mẫu góc ma sát giả định tuân theo phân bố lognormal
\(\qquad \) * \(\phi_f\) được giới hạn tối đa ở 47°
\(\qquad \) * COV calc: COV bậc nhất của các hệ số áp lực đất được ước tính như sau (D’Appolonia và Đại học Michigan, 2004):
\(\qquad \qquad \dfrac{\left|K(\bar{\phi}_f)-K(\bar{\phi}_f-\sigma)\right|}{K(\bar{\phi}_f)}\) trong đó \(\bar{\phi}_f\) và \(\sigma\) lần lượt là giá trị trung bình và độ lệch chuẩn của \(\phi_f\).

\(\\\)

Các hệ số áp lực đất bị động Rankine và Coulomb, \(K_p\).

Hệ số áp lực đất bị động Rankine giả thiết rằng không có ma sát giữa tường và đất, do đó cho ra một ước tính bảo thủ của hệ số áp lực đất bị động; đối với vật liệu ma sát, hệ số này được cho bởi:

\[
K_p = \frac{1+\sin \phi_f}{1-\sin \phi_f}
= \tan^2\left(45^\circ+\frac{\phi_f}{2}\right)
\tag{115}
\]

Hệ số áp lực đất bị động Coulomb được sử dụng phổ biến hơn và được đưa ra bởi công thức sau

\[
K_p=
\dfrac{\sin^2(\beta-\phi_f)}
{\sin^2\beta \cdot \sin(\beta+\delta)
\left[1-\sqrt{\dfrac{\sin(\phi_f+\delta)\cdot \sin(\phi_f+\alpha)}
{\sin(\beta+\delta)\cdot \sin(\beta+\alpha)}}\right]^2}
\tag{116}
\]

trong đó:

  • \(\beta\) = góc giữa tường/bề mặt tiếp xúc và đất so với phương thẳng đứng,
  • \(\delta\) = góc ma sát giữa tường/bề mặt tiếp xúc và đất, và
  • \(\alpha\) = góc của tải phủ trên khối đất đắp so với phương ngang.

Bảng 51 trình bày sự biến thiên của áp lực đất chủ động và bị động đối với một khoảng các góc ma sát đất và các giá trị COV tương ứng của chúng.

Áp lực đất bị động Coulomb được trình bày cho trường hợp \(\beta = 90^\circ\) và \(\alpha = 0^\circ\), tức là tường thẳng đứng và đất đắp nằm ngang.

Bảng 52 tóm tắt các kết quả COV được trình bày trong các Bảng 50 51 đối với các hệ số áp lực đất ngang; các giá trị COV này có thể được sử dụng cho các hệ số áp lực đất tại trạng thái nghỉ, áp lực chủ động Rankine và áp lực bị động Rankine.

Đối với hệ số áp lực đất bị động Coulomb, có thể chọn một giá trị COV hợp lý, như đã trình bày trong Bảng 52, cho từng tỷ số giữa góc ma sát tiếp xúc và góc ma sát đất. Ví dụ, đối với vật liệu đắp hạt rời có tỷ số giữa góc ma sát tiếp xúc và góc ma sát đất khoảng \( \dfrac{2}{3} \), khi góc ma sát đất được ước tính từ chỉ số SPT, thì COV nằm trong khoảng từ 0.70 đến khoảng 1.1. Có thể chọn một giá trị COV hợp lý là 0.85. Cần lưu ý rằng trong Bảng 51, góc ma sát đất lớn nhất có thể xét đến được giả định là \(47^\circ\), do đó có sự giảm xuống của COV tính được đối với góc ma sát lớn hơn \((40^\circ)\).

Bảng 52. Tóm tắt các giá trị COV của các hệ số áp lực đất.

30 < \(\phi\) ≤ 40 COV
K0nc Rankine Ka Rankine Kp
Khoảng giá trị Giá trị hợp lý Khoảng giá trị Giá trị hợp lý Khoảng giá trị Giá trị hợp lý
\(\phi\) từ thí nghiệm trong phòng 0.20–0.22 0.20 0.12–0.17 0.15 0.12–0.17 0.15
\(\phi\) từ CPT 0.22–0.26 0.25 0.17–0.23 0.20 0.19–0.23 0.20
\(\phi\) từ SPT 0.25–0.33 0.30 0.23–0.28 0.25 0.23–0.28 0.25

\(\\\)

Chủ đề về áp lực đất bị động theo phương ngang là một vấn đề phức tạp vì nó thường gắn với chuyển vị giới hạn chi phối sự phát triển của áp lực, hơn là các áp lực lý thuyết gắn với hệ số áp lực. Do đó, phần thảo luận trong mục này được giới hạn về phạm vi và chỉ đề cập đến các nhu cầu hạn chế hiện tại.

Với các giá trị ước tính hợp lý của COV của dung trọng đất và các hệ số áp lực đất, áp lực ngang do, chẳng hạn, áp lực đất chủ động có thể được tính như sau:

\[
E_a = 0.5 h \gamma \cdot K_a
\]

(trong đó \(E_a\) là áp lực đất chủ động và \(h\) là chiều cao đất) với bias bằng 1.00. Điều này hàm ý rằng các thống kê kết hợp cho giá trị trung bình và độ lệch chuẩn như sau:

\[
\mu_{E_a}=0.5h\cdot \mu_\gamma \mu_{K_a}
\]

\[
\sigma_{E_a}^2 \approx \sigma_\gamma^2 (0.5h\cdot K_a)^2+\sigma_{K_a}^2 (0.5h\cdot \gamma)^2
\]

Do đó

\[
COV_{E_a}=\sqrt{COV_\gamma^2+COV_{K_a}^2}
\tag{117}
\]

Khi góc ma sát của đất được xác định từ các chỉ số SPT, COV của tĩnh tải ngang do áp lực đất tại trạng thái nghỉ \((K_0)\) hoặc áp lực đất chủ động (\(K_a\)) có thể được tính trong khoảng từ 0.27 đến 0.35. Vì vậy, trong thực hành, dùng bias = 1.00 và COV = 0.30 là một biểu diễn hợp lý cho một dải khả năng của tĩnh tải ngang do áp lực đất, và có thể xem là tuân theo phân bố lognormal.

Áp lực đất do đầm nén.

Một phân bố điển hình của áp lực đất dư sau khi đầm nén đất đắp phía sau một tường không chuyển vị theo chiều sâu được trình bày trong Hình 90. Một ví dụ cụ thể về đất hạt rời có \(\phi_f\) bằng \(35^\circ\), \(\gamma\) bằng 125 pcf, và tải trọng lu rung 500 lb/in., đầm một lớp đất dày 6 in. khi cách tường 6 in., đã được trình bày. Có thể thấy rằng áp lực đất dư tăng nhanh theo chiều sâu, với áp lực lớn nhất ở khoảng 5 ft dưới bề mặt lớp đất được đầm trong ví dụ này. Bảng 53 tóm tắt sự biến thiên của hệ số nhân \(R_\phi\) theo COV của góc ma sát đất \(\phi_f\) bằng \(35^\circ\), cụ thể cho sự thay đổi một độ lệch chuẩn của \(\phi_f\). Khoảng các hệ số nhân (hệ số hiệu chỉnh) này được xây dựng dựa trên các bảng hệ số hiệu chỉnh của Williams và cộng sự (1987). Cần lưu ý rằng bản thân các hệ số hiệu chỉnh này có tính thực nghiệm và chỉ là các biểu diễn gần đúng của kết quả thí nghiệm có độ phân tán lớn.

Từ Hình 90, có thể thấy rằng áp lực đất ngang sau đầm nén (ứng suất ngang dư) là 800 psf tại độ sâu 5 ft. Khi góc ma sát đất đo được có COV bằng 0.20, dựa trên các hệ số nhân trong Bảng 53, ứng suất dư này có thể biến thiên từ 704 psf \((800 \times 0.88)\) đến 952 psf \((800 \times 1.19)\).

Hình 90. Áp lực đất dư sau khi đầm nén đất đắp phía sau
một tường không chuyển vị (theo Clough và Duncan, 1991).

Để ước tính độ bất định trong việc thiết lập đường cong áp lực ngang dư thu được dựa trên nghiệm do Duncan và Seed (1986) đề xuất và được trình bày trong Hình 90, độ lệch giữa áp lực đất ngang đo được và áp lực đất ngang tính toán đã được nghiên cứu (xem Hình 91). Các áp lực đất đo được lấy từ nghiên cứu thực nghiệm của Carder và cộng sự (1977). Áp lực đất dư trên một tường chắn bê tông do đầm nén đất đắp cát đã được đo tại các độ sâu khác nhau. Các áp lực đất tính toán, như Duncan và Seed (1986) trình bày, dựa trên một “nghiệm gia tăng”.

Giá trị trung bình của độ lệch được xác định là 1.005 và COV của độ lệch là 0.215.

Bảng 53. Khoảng giá trị của hệ số nhân \(R_\phi\) dùng để ước tính áp lực đất do đầm nén tại độ sâu 5 ft của lớp đất đã đầm, với \(\phi_f = 35^\circ\), \(\gamma = 125\) pcf, tải trọng lu = 500 lb/in, khoảng cách đến tường = 6 in, chiều dày lớp đầm = 6 in, và giá trị trung bình của \(R_\phi = 1.00\).

\(\phi_f\) = 35 Khoảng giá trị của \(R_\phi\) tại độ sâu 5 ft
ứng với sự biến thiên 1 độ lệch chuẩn của \(\phi_f\)
Lu rung Bàn rung / đầm rammer
COV 0.94 – 1.10 0.97 – 1.05
0.15 0.91 – 1.14 0.96 – 1.09
0.20 0.88 – 1.19 0.95 – 1.17
0.25 0.85 – 1.24 0.94 – 1.24
Hình 91. Áp lực đất dư đo được so với áp lực đất dư tính toán. Áp lực đất đo được tại tường chắn bê tông thực nghiệm của Transport and Road Research Laboratory theo Carder và cộng sự (1977), và áp lực đất tính toán theo nghiệm gia tăng do Duncan và Seed (1986) đề xuất
(bias = đo được/tính toán).

Dựa trên các kết quả thu được trong Bảng 53, có thể kết luận rằng đối với trường hợp đầm nén được trình bày trong Hình 90, COV tính toán bất lợi nhất của hệ số nhân (R_\phi) xấp xỉ bằng COV của góc ma sát. Khi kể đến ảnh hưởng của kết quả thu được trong Hình 91, COV tổng hợp cho việc ước tính áp lực đất ngang dư do đầm nén xấp xỉ bằng 0.35 (\(= \sqrt{0.20^2+0.20^2+0.215^2}\) trong đó lần lượt sử dụng các COV của \(\phi_f = 0.20\), \(R_\phi = 0.20\) và bộ ước tính áp lực đất dư = 0.215. Khi dùng các COV của \(\phi_f\) và \(R_\phi\) lần lượt là 0.15 và 0.09 thì thu được COV tổng hợp bằng 0.27. Vì vậy, khoảng COV là từ 0.27 đến 0.35. Do đó, có thể nói rằng dùng bias = 1.00 và COV = 0.30 sẽ cho một ước tính hợp lý về áp lực đất dư do đầm nén.

4.2.3.2 Áp lực ngang do hoạt tải

Để đánh giá áp lực ngang theo phương ngang do hoạt tải gây ra, cần phải xem xét các bất định trong các thành phần khác nhau của hoạt tải (A.S. Nowak, trao đổi cá nhân, 2006). ACI 318 (Szerszen và Nowak, 2003) liệt kê như sau:

  • Gió (giá trị lớn nhất trong 50 năm): bias = 0.78, COV = 0.37
  • Tuyết: bias = 0.82, COV = 0.26
  • Động đất: bias = 0.66, COV = 0.56

Năm 1983, Bộ Giao thông Ontario đã sử dụng các giá trị sau để đánh giá lực ngang cho tàu điện ngầm Toronto (OHBDC, 1979, 1983, 1993):

  • Nhiệt độ: bias = 1.00, COV = 0.25
  • Co ngót và từ biến: bias = 0.90, COV = 0.20
  • Gió (giá trị lớn nhất trong 75 năm): bias = 0.85, COV = 0.25
  • Lực hãm (đường sắt): bias = 1.00, COV = 0.10

Không có các phép đo chính xác sẵn có, nhưng tải trọng gió tương tự các lực khác và một nghiên cứu tham số giới hạn có vẻ là hợp lý. Các chuyên gia (A.S. Nowak, trao đổi cá nhân) kiến nghị nên dùng bias = 1.00 và COV = 0.15 cho áp lực ngang do hoạt tải.

4.2.3.3 Tóm tắt tải trọng ngang

Giả sử tải trọng ngang do tĩnh tải (LFD: lực ngang do tĩnh tải) chủ yếu là do đất và tải phủ, có thể đã được đầm nén, các phân bố tải trọng và hệ số tải trọng sau đây (các hệ số tải trọng theo AASHTO, 2007, Bảng 3.4.1-2) đã được chọn cho áp lực đất tại trạng thái nghỉ và áp lực đất chủ động:

\(\lambda_\text{LFD}\)

= bias của tải trọng ngang do tĩnh tải = 1.00, \(COV_\text{LFD} = 0.30\) và được giả thiết tuân theo phân bố lognormal, với phân bố sau đây của dung trọng đất \(\gamma\) (được giả thiết tuân theo phân bố chuẩn):

\(\qquad \lambda_{\gamma} = \) bias của dung trọng đất = 1.00, \(COV_\gamma = 0.10 \) đối với điều kiện đất tại chỗ (tự nhiên),
\(\qquad COV_\gamma = \) 0.08 đối với đất đắp có kiểm soát (engineered backfill).

Hệ số tải trọng đối với áp lực đất tại trạng thái nghỉ: \(\gamma_\text{EH0} = 1.35\)

và hệ số tải trọng đối với áp lực đất chủ động: \(\gamma_\text{EHa} = 1.50\)

Giả sử tải trọng ngang do hoạt tải (LFL: lực ngang do hoạt tải) chủ yếu là các tải trọng cắt do gió, biến thiên nhiệt độ, và từ biến cùng co ngót truyền qua các gối tựa, thì các phân bố và hệ số tải trọng sau đây đã được chọn:

\(\qquad \lambda_\text{LFL} = 1.00 \qquad COV_\text{LFL} = 0.15\) và được giả thiết tuân theo phân bố lognormal.

\(\qquad \) Hệ số tải trọng đối với hoạt tải ngang: \(\gamma_\text{LFL} = 1.00\) (giả thiết)

4.3 Phương pháp hiệu chỉnh

4.3.1 Tổng quan về quy trình hiệu chỉnh

Thiết kế theo trạng thái giới hạn dựa trên xác suất hiện nay được thực hiện bằng các phương pháp được phân thành ba cấp độ (Thoft-Christensen và Baker, 1982):

  • Cấp độ 3 bao gồm các phương pháp phân tích độ tin cậy sử dụng các mô tả xác suất đầy đủ của các biến thiết kế và bản chất thực của các miền phá hoại (các trạng thái giới hạn) để tính xác suất phá hoại chính xác, ví dụ bằng các kỹ thuật MCS. Mức độ an toàn được biểu diễn theo xác suất phá hoại.
  • Cấp độ 2 là sự đơn giản hóa các phương pháp Cấp độ 3 bằng cách biểu diễn độ bất định của các biến thiết kế thông qua giá trị trung bình, độ lệch chuẩn và/hoặc COV, và có thể bao gồm các thủ tục lặp gần đúng (ví dụ: các phân tích FOSM, FORM và SORM) hoặc các kỹ thuật chính xác hơn như MCS để đánh giá các trạng thái giới hạn. Mức độ an toàn được biểu diễn theo chỉ số độ tin cậy.
  • Cấp độ 1 thiên về thiết kế theo trạng thái giới hạn hơn là phân tích độ tin cậy. Các hệ số an toàn riêng phần được áp dụng cho các giá trị danh định đã xác định trước của các biến thiết kế (cụ thể là tải trọng và sức kháng trong LRFD); tuy nhiên, các hệ số an toàn riêng phần này được suy ra từ các phương pháp Cấp độ 2 hoặc Cấp độ 3. Mức độ an toàn được đo bằng các hệ số an toàn.

Bất kể các cấp độ thiết kế xác suất nêu trên, các bước sau đều có trong quá trình hiệu chỉnh LRFD:

  1. Thiết lập phương trình trạng thái giới hạn cần được đánh giá.
  2. Xác định các tham số thống kê của các biến ngẫu nhiên cơ bản hoặc các hàm phân bố tương ứng.
  3. Chọn xác suất phá hoại mục tiêu hoặc giá trị độ tin cậy mục tiêu.
  4. Xác định các hệ số tải trọng và hệ số sức kháng phù hợp với giá trị mục tiêu bằng lý thuyết độ tin cậy. Đối với ứng dụng địa kỹ thuật theo AASHTO LRFD, một biến thể thường dùng là sử dụng các hệ số tải trọng đã được chọn trong tiêu chuẩn kết cấu để xác định các hệ số sức kháng ứng với một giá trị mục tiêu cho trước.

Chương 1 của báo cáo này đã rà soát các phương trình trạng thái giới hạn cần được đánh giá, và Chương 2 đã phát triển việc đánh giá chúng để thiết lập các tham số thống kê sẽ được sử dụng. Các tham số thống kê cần dùng tiếp tục được khảo sát trong các mục sau của chương này nhằm cuối cùng xác lập các tham số sẽ dùng trong quá trình hiệu chỉnh. Các đặc trưng tải trọng đã được xây dựng và trình bày trong Mục 4.2. Mục tiếp theo trình bày độ tin cậy mục tiêu được lựa chọn và xây dựng các hệ số sức kháng dựa trên phương pháp luận đã nêu trong các Mục 1.3.5 và 1.4.

4.3.2 Độ tin cậy mục tiêu

4.3.2.1 Các phương pháp thiết lập độ tin cậy mục tiêu

Như đã chỉ ra trong NCHRP Report 507 (Paikowsky và cộng sự, 2004), nhìn chung có hai phương pháp được dùng để xây dựng các mức độ tin cậy mục tiêu: (1) dựa trên các mức độ tin cậy hàm ẩn trong các tiêu chuẩn WSD hiện hành và (2) sử dụng phân tích chi phí – lợi ích với độ tin cậy tối ưu được đề xuất trên cơ sở tổng chi phí nhỏ nhất, bao gồm chi phí tổn thất kinh tế và hậu quả do phá hoại.

Khi thiết lập một mức độ tin cậy mục tiêu theo phương pháp thứ nhất, các mức độ tin cậy hàm ẩn trong thực hành thiết kế hiện hành sẽ được tính toán. Mức mục tiêu thường được lấy bằng giá trị trung bình của các mức độ tin cậy của các thiết kế đại diện. Có thể xem độ tin cậy mục tiêu như là có liên hệ với các rủi ro chấp nhận được trong thực hành hiện hành và do đó là một điểm khởi đầu chấp nhận được cho việc sửa đổi tiêu chuẩn.

Phương pháp thứ hai dựa trên quan niệm rằng các biện pháp an toàn gắn liền với chi phí; do đó, “an toàn về bản chất không chỉ là vấn đề về rủi ro và sự đồng thuận đối với các rủi ro chấp nhận được, mà còn là vấn đề về chi phí” (Schneider, 2000). Mặc dù đã có những nỗ lực nhằm xác định chi phí của phá hoại (Kanda và Shah, 1997), nhưng rất khó để gán chi phí cho sự phá hoại, đặc biệt khi nó bao gồm thương tích cho con người hoặc mất mát sinh mạng.

4.3.2.2 Độ tin cậy mục tiêu dựa trên WSD hiện hành

Người ta nhận thấy rằng mức độ tin cậy của các móng được thiết kế theo các hệ số an toàn của WSD có thể biến thiên đáng kể (ví dụ: Phoon và Kulhawy, 2002; Honjo và Amatya, 2005). Vì vậy, việc kiến nghị một mức độ tin cậy mục tiêu dựa trên các mức độ tin cậy hàm ẩn trong thực hành WSD hiện hành đòi hỏi một mức độ phán đoán nhất định.

Khảo cứu tài liệu cho thấy rất ít tác giả đề cập đến việc xác định độ tin cậy mục tiêu của móng nông. Phoon và Kulhawy (2002) đã tính các chỉ số độ tin cậy cho các giá trị COV khác nhau của hệ số ứng suất ngang làm việc của đất. Khi xét đến sự biến thiên của đặc trưng đất, người ta cho thấy rằng các chỉ số độ tin cậy nằm trong khoảng xấp xỉ từ 2.6 đến 3.7, với giá trị trung bình là 3.15. Các thiết kế cho móng vuông với tỷ số độ sâu chôn móng (tỷ số giữa độ sâu chôn móng và bề rộng móng) bằng 1 và 3, cùng với tải trọng gió chu kỳ lặp 50 năm bằng 50% và 33.33% sức kháng nhổ của móng, đã được đánh giá. Một mức mục tiêu là 3.2 đã được chọn cho ULS. Tuy nhiên, mức mục tiêu này chỉ đặc trưng cho các móng chịu tải trọng nhổ.

Trong NCHRP Report 343 (Barker và cộng sự, 1991), là cơ sở cho hệ số sức kháng trong ấn bản hiện hành của AASHTO LRFD Bridge Design Specifications, người ta nhận thấy rằng các chỉ số độ tin cậy thu được bằng “Lý thuyết hợp lý” (Rational Theory) biến thiên từ 1.3 đến 4.5 đối với sức chịu tải của móng trên cát và từ 2.7 đến 5.7 đối với móng trên đất sét (Allen, 2005). Họ kết luận rằng nên dùng độ tin cậy mục tiêu bằng 3.5 cho móng (đối với trường hợp tham chiếu, thành phần sức kháng được lấy bằng hệ số an toàn nhân với tổng ảnh hưởng của tổ hợp tải trọng và các chỉ số độ tin cậy được tính cho tỷ số giữa tĩnh tải và hoạt tải bằng 3).

Mức mục tiêu 3.5 đã được օգտագործ cho việc hiệu chỉnh tiêu chuẩn đối với móng trong National Building Code of Canada (NRC, 1995). Becker (1996) cho biết độ tin cậy mục tiêu này là giá trị trung bình của khoảng từ 3.0 đến 4.0, thu được bằng cách tiếp cận bán phân tích để hiệu chỉnh WSD cho các tổ hợp tải trọng điển hình trong thiết kế kết cấu ở Canada, với ứng xử dẻo và hậu quả phá hoại ở mức thông thường.

Khoảng độ tin cậy này phù hợp với khoảng thu được từ một cơ sở dữ liệu cập nhật được đưa vào báo cáo cuối cùng của NCHRP Project 20-7/Task 186 (Kulicki và cộng sự, 2007) — đối với phần lớn (khoảng 120) trong số 124 cầu được phân tích, chỉ số độ tin cậy của kết cấu phần trên nằm trong khoảng từ 3 đến 4. Mức độ tin cậy mục tiêu bằng 3.5 được sử dụng trong AASHTO LRFD Bridge Design Specifications hiện hành (1994) (đối với hệ kết cấu) cho tổ hợp tải trọng thông dụng nhất, gồm tĩnh tải và hoạt tải lớn nhất trong 75 năm (Strength I).

Ngoài ra, Barker và cộng sự (1991) đã kiến nghị khoảng từ 2.5 đến 3.0 cho cọc khoan nhồi, và từ 2.0 đến 2.5 cho một hệ móng dư thừa như nhóm cọc có nhiều hơn bốn cọc. Paikowsky và cộng sự (2004) đã đề xuất độ tin cậy mục tiêu bằng 3.0 cho một hệ móng sâu không dư thừa (hệ có bốn cọc hoặc ít hơn), cùng với nghiên cứu của Zhang và cộng sự (2001), đã đề xuất giá trị 2.33 cho một hệ móng sâu dư thừa.

4.3.2.3 Độ tin cậy mục tiêu được kiến nghị

Các xem xét chung.

Ở giai đoạn hiện nay, việc gán cho móng một mức mục tiêu bằng với mức đã gán cho kết cấu phần trên sẽ là hợp lý và thuận tiện. Để đáp ứng một trong những mục tiêu chính của LRFD, mức độ tin cậy của hệ móng nên tương đương với mức độ tin cậy của hệ kết cấu. Tuy nhiên, mức độ tin cậy thực tế đạt được của hệ kết hợp giữa kết cấu phần trên và kết cấu phần dưới (bao gồm tương tác đất–kết cấu) hiện vẫn chưa rõ, ngay cả khi một mức mục tiêu bằng với mức thu được cho kết cấu phần trên được gán cho kết cấu phần dưới.

Cũng cần lưu ý rằng nên cân nhắc thận trọng khi áp dụng các khái niệm an toàn trong kết cấu vào thiết kế địa kỹ thuật (Phoon và Kulhawy, 2002) vì hai lý do. Thứ nhất, việc gán một giá trị “điển hình” duy nhất cho độ biến thiên (COV) của từng tham số đất là không thực tế, ngay cả đối với các tham số thu được từ các phép đo trực tiếp, khi đã xét đến tính biến thiên nội tại của đất, sai số đo đạc, và bất định do phép biến đổi. Thông thường, cần phải đưa ra một khoảng giá trị ngay cả đối với các bộ số liệu có chất lượng thỏa đáng, đồng thời xét đến các chi tiết quan trọng như loại đất, số lượng mẫu tại mỗi vị trí, sự phân bố của các lớp trầm tích và kỹ thuật đo đạc. Thứ hai, cần phải xét đến vai trò thiết yếu của kỹ sư địa kỹ thuật trong việc đánh giá và nhận biết tính phức tạp của ứng xử của đất, cũng như giới hạn vốn có của các mô hình địa kỹ thuật thực nghiệm “đơn giản hóa” được dùng để dự đoán ứng xử đó.

Hiệu chỉnh trong nghiên cứu hiện tại.

Đối với việc hiệu chỉnh hiện tại các hệ số sức kháng cho móng nông, một khoảng độ tin cậy mục tiêu từ 3.0 (\(p_f = 0.135%\)) đến 3.5 (\(p_f = 0.023%\)) sẽ được xem xét. Khoảng này bao trùm từ độ tin cậy mục tiêu cho hệ không dư thừa dùng cho móng sâu ((\beta = 3.0)) đến độ tin cậy mục tiêu được gán trong LRFD Bridge Design Specifications hiện hành cho móng nông.

Có hai lý do chính ở giai đoạn này để giữ độ tin cậy mục tiêu dưới dạng một khoảng:

(1) việc sử dụng các hệ số sức kháng khác nhau thu được từ khoảng độ tin cậy mục tiêu cho phép đánh giá khoảng các hệ số an toàn tương đương đi kèm, từ đó nhận diện mức độ phù hợp với WSD; và

(2) thiết kế móng nông bao gồm hai nhóm móng riêng biệt mà trạng thái giới hạn chi phối là khác nhau. Nhìn chung, móng nông trên đất thường bị chi phối bởi SLS, và do đó độ tin cậy mục tiêu của ULS cùng hệ số sức kháng tương ứng có tầm quan trọng thực tiễn thứ yếu và phải được đánh giá đối chiếu với các giới hạn sử dụng. Ngược lại, đối với móng đặt trên đá, ULS nói chung là tiêu chí chi phối vì phá hoại kết cấu hoặc phá hoại địa kỹ thuật sẽ xảy ra trước khi độ lún giới hạn được huy động. Vì vậy, độ tin cậy mục tiêu được chọn thực sự chi phối mức độ an toàn của công trình.

Một khía cạnh bổ sung ảnh hưởng đến phần thảo luận nêu trên là sự thật rằng độ bất định trong việc xác định sức kháng của móng trên đá có mức độ phức tạp cao hơn (do chịu ảnh hưởng của các mặt bất liên tục chi phối cường độ đá), và vì thế, một kết quả hợp lý có thể rút ra từ khoảng đề xuất này là sử dụng hai mức độ tin cậy mục tiêu khác nhau: một cho móng nông trên đất và một cho móng nông trên đá.

Khoảng độ tin cậy mục tiêu được xem xét.

Các hệ số sức kháng ứng với ba mức độ tin cậy mục tiêu — 3.0 \((p_f = 0.135%)\), 3.25 \((p_f = 0.058%)\), và 3.5 \((p_f = 0.023%)\) — được xem xét như một giai đoạn đầu trong nghiên cứu hiện tại đối với độ bất định được xác lập bởi các cơ sở dữ liệu và các phương pháp phân tích đã chọn. Hình 92 minh họa khoảng các hệ số sức kháng được tính toán dựa trên một khoảng điển hình của độ lệch và một khoảng rộng của độ bất định của sức kháng, sử dụng các đặc trưng tải trọng từ hiệu chỉnh của NCHRP Report 507 cho ba mức độ tin cậy mục tiêu đã xét.

Khi xét các giá trị “điển hình” của sức kháng có phân bố lognormal, với bias = 1.5 và COV = 0.3, các hệ số sức kháng tương ứng với các mức độ tin cậy mục tiêu 3.00, 3.25, và 3.50 lần lượt là 0.64, 0.58, và 0.53. Ba hệ số sức kháng này xấp xỉ tương ứng với chênh lệch chi phí 20% giữa hệ số sức kháng lớn hơn và nhỏ hơn (giả thiết đơn giản rằng có quan hệ trực tiếp giữa tải trọng, kích thước và chi phí).

Hình 92. Các hệ số sức kháng tính toán như một hàm của bias và COV của sức kháng đối với các phân bố và tỷ số tải trọng đứng đã chọn, trong khoảng các mức độ tin cậy mục tiêu được xem xét.

4.3.3 Các điều kiện tải trọng, phân bố, tỷ số và hệ số

Các điều kiện tải trọng được lấy theo như trình bày trong Bảng 49 và Mục 4.2.3.3. Tải trọng thực tế truyền từ kết cấu phần trên xuống móng nhìn chung là chưa biết, vì có rất ít nghiên cứu dài hạn tập trung vào chủ đề này. Do đó, các bất định của tải trọng được lấy giống như các bất định dùng cho phân tích kết cấu phần trên. LRFD Bridge Design Specifications (AASHTO, 2007) đưa ra bốn tổ hợp tải trọng cho trạng thái giới hạn cường độ tiêu chuẩn (tĩnh tải, hoạt tải, tải xe và tải gió) và hai tổ hợp cho các trạng thái giới hạn cực hạn (động đất và va chạm). Vì vậy, tổ hợp tải trọng cho Strength I (Z) được áp dụng dưới dạng cơ bản của nó, như thể hiện trong phương trình trạng thái giới hạn sau:

\[
Z = R – D – LL
\tag{118}
\]

trong đó \(R\) = cường độ hoặc sức kháng của móng, \(D\) = tĩnh tải, và \(LL\) = hoạt tải xe. Các đặc trưng xác suất của các biến ngẫu nhiên \(D\) và \(LL\) được cho trong Bảng 49 đối với tải trọng đứng và trong Mục 4.2.3.3 đối với tải trọng ngang. Đối với cường độ hoặc sức kháng (\(R\)), các đặc trưng xác suất được xây dựng trong Chương 3 và Chương 4, dựa trên các cơ sở dữ liệu cho các phương pháp và điều kiện phân tích khác nhau.

Paikowsky và cộng sự (2004) đã xem xét ảnh hưởng của tỷ số giữa tĩnh tải và hoạt tải, cho thấy hệ số sức kháng rất ít nhạy với tỷ số này, với xu hướng chung là hệ số sức kháng giảm khi tỷ số giữa tĩnh tải và hoạt tải tăng lên. Các tỷ số tĩnh tải trên hoạt tải lớn biểu thị các điều kiện thi công cầu thường gắn với các nhịp cầu rất dài. Ảnh hưởng tương đối nhỏ của tỷ số giữa tĩnh tải và hoạt tải lên hệ số sức kháng đã khiến Paikowsky và cộng sự (2004) sử dụng tỷ số điển hình bằng 2.0, với nhận thức rằng các hệ số thu được nhìn chung vẫn áp dụng được cho các cầu nhịp dài, theo hướng bảo thủ. Vì vậy, tỷ số này cũng được chấp nhận cho các hiệu chỉnh trong nghiên cứu hiện tại. Việc thảo luận về tỷ số giữa tĩnh tải và hoạt tải đối với tải trọng ngang sẽ được trình bày ở phần sau của chương này.

4.4 Khảo sát hệ số \(N_\gamma\) như một nguồn bất định trong phân tích sức chịu tải

4.4.1 Tổng quan

Mục 3.5 đã khảo sát độ bất định trong sức chịu tải của móng đặt trong/trên đất hạt rời chịu tải trọng đứng đúng tâm. Loại tải trọng này tương ứng với 173 trường hợp lịch sử trong cơ sở dữ liệu UML-GTR ShalFound07. Tóm tắt về độ lệch được trình bày bằng sơ đồ dòng trong Hình 60 và bằng các biểu đồ tần suất cùng các quan hệ giữa sức chịu tải đo được và sức chịu tải tính toán trong các Hình 61 đến 65. Việc phân tích số liệu cho thấy như sau:

  1. Nhìn chung, độ lệch trung bình (tỷ số giữa sức chịu tải đo được và sức chịu tải dự báo) lớn hơn 1 \((m_\lambda = 1.59\ \text{với}\ n = 173)\), cho thấy có sự đánh giá thấp có hệ thống đối với sức chịu tải.
  2. Độ lệch trung bình \((m_\lambda)\) của các móng trên nền đất tự nhiên là 1.0, còn độ lệch trung bình \((m_\lambda)\) của các móng trên nền đất có kiểm soát là 1.64.
  3. Các phát hiện trước đây đã kiến nghị các hệ số sức kháng dựa trên sự phân biệt giữa đất tự nhiên và đất có kiểm soát, sử dụng các kết quả nêu trên (Paikowsky và cộng sự, 2008; Amatya và cộng sự, 2009; Paikowsky và cộng sự, 2009b).

Có một sự khác biệt rõ rệt giữa các trường hợp móng trên đất tự nhiên và các trường hợp móng trên đất có kiểm soát, với hệ số chênh lệch khoảng 1.6. Nguồn gốc của sự biến thiên lớn này trong độ lệch đã được khảo sát sâu hơn, đặc biệt là các tham số khác có thể ảnh hưởng đến sự biến thiên này và có thể là nguyên nhân gây ra độ lệch lớn trong dự báo. Mục 1.5.2 đã thảo luận rằng không tồn tại nghiệm giải tích dạng kín cho bài toán sức chịu tải khi xét đến ảnh hưởng của trọng lượng đất bên dưới móng. Vì vậy, hệ số \(N_{\gamma}\) đã được nhiều nhà nghiên cứu đánh giá với các kết quả khác nhau, như minh họa trong Hình 11. Việc khảo sát hệ số \(N_{\gamma}\), sử dụng cơ sở dữ liệu đầy đủ được tập hợp cho nghiên cứu này, được trình bày trong mục tiếp theo nhằm xem xét các phát hiện về độ lệch đã nêu ở trên.

4.4.2 Độ bất định trong hệ số sức chịu tải \(N_{\gamma}\)

Đối với các móng được thí nghiệm trên bề mặt đất hạt rời, sức chịu tải Phương trình 19 chỉ còn là hàm của hạng tử \(\gamma N_{\gamma}\), vì các hạng tử lực dính và độ sâu chôn móng đều bằng không. Khi đó, hệ số sức chịu tải \(N_{\gamma}\) có thể được tính ngược, và hệ số thu được (ký hiệu là \(N_{\gamma Exp}\)) có thể được đánh giá so với hệ số do Vesic (1973) đề xuất (ký hiệu là \(N_{\gamma Vesic}\)) và được sử dụng trong nghiên cứu này (xem Phương trình 29Bảng 26). Độ lệch của hạng tử \(N_{\gamma}\) có thể được định nghĩa như sau:

\[
\lambda_{N_{\gamma}}=\frac{N_{\gamma Exp}}{N_{\gamma Vesic}}
=\frac{q_u/(0.5\gamma B s_{\gamma})}{2(N_q+1)\tan\phi_f}
\tag{119}
\]

Đã có 125 trường hợp liên quan được khảo sát, trong đó móng được thí nghiệm trên bề mặt đất và mực nước ngầm nằm dưới vùng ảnh hưởng của móng. Hình 93 trình bày độ phân tán và đường hồi quy hàm mũ của độ lệch trong \(N_{\gamma}\) thu được đối với các loại đất có góc ma sát từ \(42^\circ\) đến (46^\circ). Các điểm dữ liệu biểu diễn độ lệch trong \(N_{\gamma}\) ở Hình 93 cho thấy một xu hướng rõ ràng, trong đó độ lệch \(N_{\gamma}\) tăng khi góc ma sát trong của đất tăng vượt khoảng \(\phi_f \ge 43^\circ\).

Đường phù hợp tốt nhất của độ lệch \(\lambda_{N_{\gamma}}\) theo góc ma sát trong (\phi_f), như thể hiện trong Hình 93, có thể được dùng để xây dựng một biểu thức cho hệ số sức chịu tải hiệu chỉnh \(N_{\gamma}\) sao cho phù hợp hơn với số liệu thực nghiệm:

\[
N_{\gamma Exp}=\exp(0.205\phi_f-8.655) N_{\gamma Vesic}
\]

\[
\text{cho } 42.5^\circ \le \phi_f \le 46^\circ
\tag{120}
\]

Độ phân tán lớn của số liệu dẫn đến hệ số xác định \((R^2)\) bằng 0.351 đối với Phương trình 120.

Hình 93. Tỷ số (\(\lambda_{N_{\gamma}}\)) giữa hệ số sức chịu tải \(N_{\gamma}\) tính ngược (dựa trên số liệu thực nghiệm) và hệ số sức chịu tải \(N_{\gamma}\) do Vesic (1973) đề xuất, theo góc ma sát của đất.

4.4.3 Khảo sát lại độ bất định trong sức chịu tải của móng trong/trên đất hạt rời khi xét đến độ lệch của hệ số \(N_{\gamma}\)

Ảnh hưởng của độ lệch trong \(N_{\gamma}\) đã được thiết lập trong Mục 4.4.2 được xem xét trong mục này bằng cách so sánh độ lệch của sức chịu tải tính toán dưới các điều kiện tải trọng khác nhau với độ lệch đã xác lập đối với \(N_{\gamma}\). Các Hình 94 đến 98 mô tả độ lệch của sức chịu tải tính toán đối với các góc ma sát đất từ \(42.5^\circ\) đến \(46.0^\circ\) (là khoảng mà Phương trình 120 còn hiệu lực) dưới các điều kiện tải trọng khác nhau. Đối với trường hợp tải trọng đứng đúng tâm (Hình 94), độ lệch của phép tính sức chịu tải trùng lặp với độ lệch của \(N_{\gamma}\), cho thấy rằng độ lệch quan sát được trong các trường hợp khảo sát phần lớn có thể quy cho độ lệch trong \(N_{\gamma}\).

Tuy nhiên, kết luận này chịu ảnh hưởng của thực tế là phần lớn các trường hợp có liên quan đến tải trọng trên bề mặt, và do đó đã được dùng để xác lập độ lệch trong \(N_{\gamma}\). Đối với các trường hợp liên quan đến tải trọng đứng lệch tâm và tải trọng nghiêng đúng tâm (Hình 9596), số liệu cho thấy các xu hướng là tương tự, và do đó độ lệch trong \(N_{\gamma}\) có thể là một thành phần đóng góp đáng kể vào độ lệch trong các phép tính sức chịu tải. Các độ lệch này không trùng lặp vì các trường hợp có tải trọng lệch tâm và tải trọng nghiêng rất nhạy với nhiều yếu tố khác ảnh hưởng đến sức chịu tải.

Các trường hợp có tải trọng nghiêng–lệch tâm (Hình 9798) có số lượng dữ liệu nhỏ và sức chịu tải rất nhạy với điều kiện tải trọng. Nhìn chung, các số liệu trình bày trong các Hình 94 đến 98 cho thấy rằng độ lệch trong hệ số sức chịu tải \(N_{\gamma}\) là một thành phần đóng góp quan trọng vào độ bất định trong việc ước tính sức chịu tải, bất kể các tổ hợp tải trọng tác dụng lên móng.

Hình 94. Tỷ số giữa sức chịu tải đo được và sức chịu tải tính toán (bias \(\lambda)\) được so sánh với độ lệch trong hệ số sức chịu tải \(N_{\gamma}\) \((\lambda_{N_{\gamma}})\) theo góc ma sát của đất đối với các móng chịu tải trọng đứng đúng tâm.
Hình 95. Tỷ số giữa sức chịu tải đo được và sức chịu tải tính toán (bias \(\lambda)\) được so sánh với độ lệch trong hệ số sức chịu tải \(N_{\gamma}\) \((\lambda_{N_{\gamma}})\) theo góc ma sát của đất đối với các móng chịu tải trọng đứng lệch tâm.
Hình 96. Tỷ số giữa sức chịu tải đo được và sức chịu tải tính toán (bias \(\lambda)\) được so sánh với độ lệch trong hệ số sức chịu tải \(N_{\gamma}\) (\(\lambda_{N_{\gamma}}\)) theo góc ma sát của đất đối với các móng chịu tải trọng nghiêng đúng tâm.
Hình 97. Tỷ số giữa sức chịu tải đo được và sức chịu tải tính toán (bias \(\lambda)\) được so sánh với độ lệch trong hệ số sức chịu tải \(N_{\gamma}\) \((\lambda_{N_{\gamma}})\) theo góc ma sát của đất đối với các móng chịu tải trọng nghiêng–lệch tâm, với mômen dương.
Hình 98. Tỷ số giữa sức chịu tải đo được và sức chịu tải tính toán (bias \(\lambda)\) được so sánh với độ lệch trong hệ số sức chịu tải \(N_{\gamma}\) \((\lambda_{N_{\gamma}})\) theo góc ma sát của đất đối với các móng chịu tải trọng nghiêng–lệch tâm, với mômen âm.

4.5 Khảo sát ảnh hưởng của kích thước móng đến độ bất định trong phân tích sức chịu tải

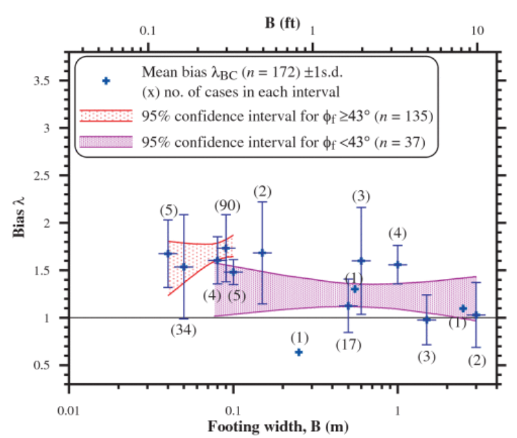
Hình 99 trình bày tỷ số giữa sức chịu tải đo được và sức chịu tải tính toán (độ lệch \(\lambda\)) theo bề rộng móng đối với các móng chịu tải trọng đứng đúng tâm đặt trong/trên đất tự nhiên và đất có kiểm soát. Nhìn chung, trong Hình 99 không xuất hiện một xu hướng nào dễ nhận thấy ngoài xu hướng tổng quát là độ lệch tăng phần nào khi kích thước móng tăng đối với đất tự nhiên, trong phạm vi độ phân tán đã nêu.

Hình 100 cho thấy độ lệch trung bình của sức kháng chịu tải theo kích thước móng đối với toàn bộ các trường hợp gộp chung từ điều kiện đất có kiểm soát và đất tự nhiên. Khoảng tin cậy 95% của độ lệch trung bình theo kích thước móng cũng được trình bày cho các góc ma sát nhỏ hơn và lớn hơn \(43^\circ\) (lý do lấy \(\phi_f = 43^\circ\) làm ranh giới liên quan đến độ bất định trong hệ số \(N_{\gamma}\) đã trình bày ở Mục 4.4). Những nhận xét sau đây liên quan đến cơ sở dữ liệu dùng để xây dựng Hình 100 có thể được nêu ra: các móng nhỏ hơn được thí nghiệm trên các loại đất có góc ma sát lớn hơn, \(\phi_f \ge 43^\circ\), còn các móng lớn hơn được thí nghiệm trên các loại đất có góc ma sát nhỏ hơn, \(\phi_f < 43^\circ\).

Nhìn chung, có thể kết luận rằng điều có vẻ như là sự giảm của độ lệch khi kích thước móng tăng thực ra dường như liên quan nhiều hơn đến độ lệch trong \(N_{\gamma}\) gắn với góc ma sát trong. Những kết luận khác rất khó rút ra do số lượng trường hợp liên quan đến các móng lớn là rất ít (tức chỉ có từ 1 đến 3 trường hợp cho các móng lớn hơn 1 m) so với 135 trường hợp trong nhóm móng nhỏ.

Hình 99. Sự biến thiên của độ lệch trong sức kháng chịu tải theo kích thước móng đối với các trường hợp chịu tải trọng đứng đúng tâm: điều kiện đất có kiểm soát và đất tự nhiên.
Hình 100. Sự biến thiên của độ lệch trong sức kháng chịu tải theo kích thước móng đối với các trường hợp chịu tải trọng đứng đúng tâm: \(\phi_f \ge 43^\circ\) và \(\phi_f < 43^\circ\).

4.6 Khảo sát lại chuyên sâu độ bất định trong sức chịu tải của móng trong/trên đất hạt rời dưới tải trọng đứng đúng tâm

4.6.1 Nhận diện các giá trị ngoại lai và khớp phân bố để hiệu chỉnh

4.6.1.1 Tổng quan

Sức chịu tải của móng trong đất hạt rời bị chi phối mạnh bởi hệ số sức chịu tải \(N_{\gamma}\), đặc biệt đối với các móng đặt trên hoặc gần bề mặt đất. Hệ số \(N_{\gamma}\) rất nhạy với độ lớn của góc ma sát trong của đất \(\phi_f\), như được thể hiện bởi Phương trình 29, trình bày trong Bảng 26, và minh họa ở Hình 11. Mục 4.3 đã khảo sát nguồn gốc của độ lệch nằm bên dưới phân tích sức chịu tải, cho thấy rằng độ lệch tăng khi góc ma sát trong tăng lên (khi vượt quá \(42.5^\circ)\) và có liên hệ chặt chẽ với độ lệch trong biểu thức của \(N_{\gamma}\), như minh họa trong các Hình 94 đến 96.

Sự thay đổi của độ lệch theo góc ma sát trong của đất cho thấy rằng việc xây dựng các hệ số sức kháng nên đi theo xu hướng này, trừ khi có một sự hiệu chỉnh đối với phương pháp luận được phát triển và biểu thức của \(N_{\gamma}\) được sửa đổi. Cách thứ hai này, mặc dù có thể có một số ưu điểm, lại gây khó khăn vì nhiều lý do, bao gồm nhu cầu phải thay đổi một phương pháp luận đã được thiết lập và sửa đổi một biểu thức dựa trên một cơ sở dữ liệu mà, dù khá phong phú, vẫn có thể được thay đổi trong tương lai.

Vì các hệ số sức kháng nên được phát triển có xét đến sự thay đổi của độ lệch theo góc ma sát trong của đất, \(\phi_f\), nên cũng hợp lý khi tiến hành nhận diện các giá trị ngoại lai của dữ liệu cho các tập con được phân theo độ lớn của \(\phi_f\).

4.6.1.2 Các giá trị ngoại lai và đánh giá độ phù hợp của phân bố đối với \(\phi_f = 45^\circ \pm 0.5\)

Bộ dữ liệu lớn nhất trong cơ sở dữ liệu UML-GTR ShalFound07 là đối với các móng được thí nghiệm dưới tải trọng đứng đúng tâm. Các tập con dữ liệu được hình thành cho từng góc ma sát trong có thể nhận diện được, \(\phi_f (\pm 0.5^\circ)\). Tập con lớn nhất là đối với \(\phi_f = 45^\circ \pm 0.5^\circ\) (90 trường hợp), trong đó giá trị trung bình và COV của độ lệch lần lượt được xác định là 1.81 và 0.203. Hình 101 trình bày sự so sánh giữa phân vị chuẩn tắc chuẩn hóa của dữ liệu độ lệch với các phân vị dự báo của các phân bố lý thuyết chuẩn và lognormal. Có thể quan sát thấy ít nhất một giá trị ngoại lai khả dĩ, là một móng có độ lệch bằng 3.51, đối với cả phân bố chuẩn lẫn lognormal. Việc loại bỏ điểm dữ liệu này có thể dẫn đến sự phù hợp tốt hơn của bộ dữ liệu với phân bố chuẩn, điều này tiếp tục được lượng hóa bằng kiểm định độ phù hợp. Theo nghĩa này, các giá trị ngoại lai được nhận diện ở đây hàm ý rằng việc loại bỏ chúng giúp cải thiện bộ dữ liệu để nó phù hợp hơn với một phân bố lý thuyết.

Các kiểm định độ phù hợp \(\chi^2\) (GOF) đã được thực hiện để kiểm tra mức độ phù hợp của các phân bố lý thuyết chuẩn và lognormal trong việc mô tả độ lệch của sức kháng chịu tải đối với (n = 90) trường hợp, cùng với các bộ dữ liệu sau khi loại bỏ một số giá trị ngoại lai có thể nhận diện được. Bảng 54 liệt kê chi tiết một số phép thử và các giá trị \(\chi^2\) tương ứng thu được từ các kiểm định GOF. Nếu các giá trị \(\chi^2\) thu được đối với một phân bố giả định lớn hơn các giá trị \(\chi^2\) chấp nhận được ở một mức ý nghĩa nhất định (thường là 1% hoặc 5%), thì phân bố đó bị bác bỏ. Với (n = 90), giá trị \(\chi^2\) của phân bố lognormal là 63.0 và giá trị \(\chi^2\) của phân bố chuẩn là 228.9, cả hai đều lớn hơn các giá trị \(\chi^2\) tương ứng là 21.66 ở mức ý nghĩa 1% và 16.92 ở mức ý nghĩa 5%. Do đó, cả hai phân bố đều không phù hợp tốt với dữ liệu và đều bị bác bỏ bởi kiểm định GOF \(\chi^2\). Tuy nhiên, giá trị \(\chi^2\) nhỏ hơn của phân bố lognormal (so với giá trị \(\chi^2\) của phân bố chuẩn) đối với bộ dữ liệu này cho thấy rằng phân bố lognormal cho mức độ phù hợp tốt hơn.

Hình 101. Phân vị chuẩn hóa của dữ liệu độ lệch(sức chịu tải đo được trên sức chịu tải dự đoán) cho \(\phi_f = 45 \pm 0.5^\circ\) và các phân vị dự đoán của phân phối chuẩn và phân phối log-chuẩn

Có thể thấy từ các phép thử nêu trong Bảng 54 rằng việc loại bỏ các giá trị ngoại lai khỏi một hoặc cả hai đuôi trên và đuôi dưới của phân bố độ lệch không dẫn đến một giá trị \(\chi^2\) chấp nhận được đối với cả phân bố chuẩn lẫn lognormal. Do đó, việc loại bỏ các giá trị ngoại lai ở các đuôi phân bố không làm cho phân bố chuẩn hoặc lognormal trở nên chấp nhận được, mặc dù mức độ phù hợp tương đối tốt hơn có dao động giữa phân bố chuẩn và lognormal, dựa trên kiểm định GOF \(\chi^2\). Vì vậy, toàn bộ dữ liệu hiện có cho các trường hợp móng trong/trên đất với \(\phi_f = 45^\circ\) đã được sử dụng cho việc hiệu chỉnh hệ số sức kháng mà không nhận diện và loại bỏ các giá trị ngoại lai, và được giả thiết tuân theo phân bố lognormal.

Trong Hình 101, có bốn móng có độ lệch nhỏ hơn 1.0, trong đó giá trị nhỏ nhất là \(\lambda = 0.82\), đối với trường hợp này phân bố lognormal giả định đánh giá lớn hơn độ lệch ở vùng đuôi dưới, là vùng nghiêm trọng hơn so với vùng đuôi trên (vì độ lệch nhỏ hơn 1.0 nghĩa là sức kháng tính toán lớn hơn sức kháng thực tế). Trường hợp này được xem xét trong Mục 4.6.2.4 sau khi hiệu chỉnh hệ số sức kháng, nhằm bảo đảm rằng hệ số sức kháng được xây dựng cho \(\phi_f = 45^\circ\) dẫn đến mức rủi ro chấp nhận được trong thiết kế.

Bảng 54. Các giá trị \(\chi\)-squared của các phân bố lognormal và chuẩn được khớp cho
các trường hợp tải trọng đứng đúng tâm của móng trong/trên đất có góc ma sát trong \((\phi_f)\) bằng \(45^\circ\).

n Giá trị χ-squared Ghi chú
Phân bố lognormal Phân bố chuẩn
90 63.0 228.9 Mean = 1.81, COV = 0.203; toàn bộ dữ liệu cho \(\phi_f\) = 45°
89 515.0 60.3 Mean = 1.79, COV = 0.179; đã loại bỏ độ lệch lớn nhất (3.51)
(dữ liệu vượt quá 2 độ lệch chuẩn)
89 60.3 428.0 Mean = 1.822, COV = 0.195; đã loại bỏ trường hợp có độ lệch nhỏ thứ 3 (0.87);
trường hợp này nằm ở đuôi dưới của phân bố độ lệch và xa nhất so với phân vị
lognormal lý thuyết
88 57.9 724.0 Mean = 1.83, COV = 0.186; đã loại bỏ 2 trường hợp có độ lệch nhỏ thứ 2 và
thứ 4 (0.85 và 0.87); nằm ở đuôi dưới của phân bố độ lệch và là hai điểm
xa nhất so với phân vị lognormal lý thuyết
87 805.0 43.6 Mean = 1.83, COV = 0.185; đã loại bỏ các trường hợp có độ lệch nhỏ thứ 2
và thứ 4 (0.85 và 0.87) và trường hợp có độ lệch lớn nhất (3.51)
87 62.5 927.0 Mean = 0.81, COV = 0.161; đã loại bỏ các trường hợp có độ lệch
nhỏ thứ 2 và thứ 4 (0.85 và 0.87) và trường hợp có độ lệch lớn thứ 2 (2.37)
Ghi chú: Giá trị χ-squared chấp nhận được ứng với mức ý nghĩa 1% là 21.666
và ứng với mức ý nghĩa 5% là 16.919.

4.6.1.3 Các giá trị ngoại lai và các hàm phân bố đối với các góc ma sát trong khác \(45^\circ\)

Các thủ tục tương tự như đã mô tả trong Mục 4.6.1.2 đã được thực hiện cho các tập con dữ liệu có \(\phi_f\) khác \(45^\circ\). Đối với \(\phi_f = 44^\circ\) \((n = 30,\ m_\lambda = 1.40,\ \text{và}\ \mathrm{COV} = 0.250)\), cả phân bố chuẩn và phân bố lognormal đều được chấp nhận bởi kiểm định độ phù hợp \(\chi\)-squared ở mức ý nghĩa 1%. Phân bố lognormal cho mức độ phù hợp tốt hơn, với giá trị \(\chi\)-squared bằng 13.74 so với 17.82 của phân bố chuẩn.

Đối với \(\phi_f = 43^\circ, 42^\circ, 38^\circ, 36^\circ,\) và \(32^\circ\), mặc dù phân bố chuẩn cho mức độ phù hợp tốt hơn phân bố lognormal, các phân bố lognormal vẫn được xem xét. Điều này được thực hiện vì phân bố lognormal tự nhiên được kỳ vọng là biểu diễn tốt hơn một bộ dữ liệu của một tỷ số (tức là độ lệch), vốn bị giới hạn bởi các giá trị lớn hơn 0, hoặc do ứng xử tương tự, bộ dữ liệu nhỏ, v.v., như sẽ được trình bày chi tiết thêm.

Đối với \(\phi_f = 43^\circ\) \((n = 14,\ m_\lambda = 1.34,\ \text{và}\ \mathrm{COV} = 0.283)\), giá trị \(\chi\)-squared là 18.53 đối với phân bố chuẩn so với 22.69 đối với phân bố lognormal. Đối với \(\phi_f = 42^\circ\) \((n = 4,\ m_\lambda = 1.60,\ \text{và}\ \mathrm{COV} = 0.416)\), giá trị \(\chi\)-squared là 12.20 đối với phân bố chuẩn so với 12.74 đối với phân bố lognormal. Đối với \(\phi_f = 38^\circ\) \((n = 12,\ m_\lambda = 1.26,\ \text{và}\ \mathrm{COV} = 0.215)\), giá trị \(\chi\)-squared là 16.75 đối với phân bố chuẩn so với 74.62 đối với phân bố lognormal. Giá trị độ lệch nhỏ nhất là 0.55, vốn bị phân bố lognormal đánh giá lớn hơn đối với bộ dữ liệu này, sẽ được xem xét sau khi hiệu chỉnh hệ số sức kháng. Đối với \(\phi_f = 36^\circ\) \((n = 4,\ m_\lambda = 1.20,\ \text{và}\ \mathrm{COV} = 0.233)\), giá trị \(\chi\)-squared là 19.78 đối với phân bố chuẩn so với 21.61 đối với phân bố lognormal; và đối với \(\phi_f = 32^\circ\) \((n = 4,\ m_\lambda = 1.25,\ \text{và}\ \mathrm{COV} = 0.347)\), giá trị \(\chi\)-squared là 10.77 đối với phân bố chuẩn so với 11.15 đối với phân bố lognormal.

Đối với \(\phi_f = 35^\circ\) (\(n = 4\)), độ lệch trung bình được xác định là 2.00 và COV của độ lệch là 0.528, là giá trị đặc biệt lớn so với các COV của các bộ dữ liệu có góc ma sát gần nhau, vốn vào khoảng 0.2. Mặc dù kiểm định GOF cho thấy cả phân bố chuẩn và phân bố lognormal đều được chấp nhận, trong đó lognormal cho mức độ phù hợp tốt hơn, trường hợp có độ lệch lớn nhất, \(\lambda = 3.57\), đã được xem là một giá trị ngoại lai. Việc so sánh các phân vị chuẩn tắc chuẩn hóa của bộ dữ liệu với các phân bố lý thuyết được trình bày trong Hình 102(a). Bộ dữ liệu thu được sau khi loại bỏ trường hợp này có giá trị trung bình bằng 1.47 và COV bằng 0.088 (việc xem xét cơ sở dữ liệu cho thấy ba trường hợp còn lại đều thuộc cùng một địa điểm, do đó giải thích cho COV rất nhỏ). Việc so sánh các phân vị chuẩn tắc chuẩn hóa của bộ dữ liệu đã lọc với các phân bố lý thuyết được trình bày trong Hình 102(b). Phân bố lognormal cũng được xem xét cho bộ dữ liệu này. Do đó, chỉ có một giá trị ngoại lai đã bị loại bỏ khỏi toàn bộ bộ dữ liệu, dẫn đến 172 trường hợp được sử dụng cho việc hiệu chỉnh hệ số sức kháng đối với tải trọng đứng đúng tâm.

Hình 102. Phân vị chuẩn tắc chuẩn hóa của dữ liệu độ lệch đối với \(\phi_f = 35 \pm 0.5^\circ\),
và các phân vị dự báo của các phân bố chuẩn và lognormal: (a) cho toàn bộ dữ liệu và (b) sau khi đã loại bỏ giá trị ngoại lai.

4.6.2 Các thống kê của độ lệch như một hàm của góc ma sát trong của đất và các hệ số sức kháng thu được

4.6.2.1 Khảo sát chuyên sâu các tập con dựa trên góc ma sát trong

Các Bảng 55 đến 57 trình bày các độ lệch được đánh giá cho việc ước tính sức chịu tải theo các góc ma sát của đất. Các hệ số sức kháng tương ứng được xác định cho chỉ số độ tin cậy mục tiêu \(\beta_T = 3.0\) (xác suất vượt quá bằng 0.135%). Bảng 55 trình bày các trường hợp trong điều kiện đất có kiểm soát, trong khi Bảng 56 cho thấy các trường hợp trong điều kiện đất tự nhiên. Bảng 57 trình bày toàn bộ các trường hợp trong cơ sở dữ liệu, bao gồm cả điều kiện đất có kiểm soát và đất tự nhiên, dưới tải trọng đứng đúng tâm. Tất cả các trường hợp trong điều kiện đất có kiểm soát đều là đất có độ chặt tương đối lớn hơn 35%.

Biểu diễn đồ họa của độ lệch trong việc ước tính sức kháng chịu tải theo góc ma sát của đất được trình bày trong Hình 103. Các thanh sai số biểu diễn một độ lệch chuẩn của độ lệch trung bình cho mỗi góc ma sát, được lấy trong khoảng \(\phi_f \pm 0.5^\circ\), và con số trong dấu ngoặc biểu thị số lượng trường hợp trong mỗi tập con theo góc ma sát.

Bảng 55. Các thống kê của độ lệch sức kháng chịu tải và các hệ số sức kháng
tương ứng với các góc ma sát đất trong điều kiện đất có kiểm soát đối với tải trọng đứng đúng tâm.

Góc ma sát \(\phi_f\)
(±0.5 độ)
n Bias Hệ số sức kháng \(\phi\) (βT = 3)
Mean λ COVλ MCS Sơ bộ
4621.810.0711.6551.00
45901.810.2031.1941.00
44301.400.2500.8070.80
43141.340.2830.7000.70
4241.600.4160.7000.70
3911.02
38111.320.1221.0811.00
3631.340.0791.2061.00
3531.470.0881.3001.00
43 đến 461361.670.2470.9710.95
38 ± 3221.380.2250.8550.85
Mọi góc1581.630.2520.9340.90

\(\\\)

Bảng 56. Các thống kê của độ lệch sức kháng chịu tải và các hệ số sức kháng
tương ứng với các góc ma sát đất trong điều kiện đất tự nhiên đối với tải trọng đứng đúng tâm.

Góc ma sát \(\phi_f\) n Bias Hệ số sức kháng \(\phi\) (βT = 3)
Mean λ COVλ MCS Sơ bộ
33 ± 2.5 (mọi góc) 14 1.00 0.329 0.457 0.45

\(\\\)

Bảng 57. Các thống kê của độ lệch sức kháng chịu tải và các hệ số sức kháng
tương ứng với các góc ma sát đất khi gộp chung điều kiện đất có kiểm soát và đất tự nhiên, đối với tải trọng đứng đúng tâm.

Góc ma sát \(\phi_f\)
(±0.5 độ)
n Bias Hệ số sức kháng \(\phi\) (βT = 3)
Mean λ COVλ MCS Sơ bộ
4621.810.0711.6551.00
45901.810.2031.1941.00
44301.400.2500.8070.80
43141.340.2830.7000.70
4241.600.4160.7000.70
3920.830.3300.3780.35
38121.260.2150.8040.80
3641.200.2330.7270.70
3531.470.0881.3001.00
3421.090.1350.8650.85
3331.030.1260.8360.80
3241.250.3470.5420.50
30.520.980.4230.3390.30
43 đến 461361.670.2470.9710.95
36 ± 3361.230.2960.6190.60
Mọi góc1721.580.2780.8380.80

4.6.2.2 Phát triển hệ số dựa trên xu hướng dữ liệu

Độ chệch trong ước tính sức kháng chịu tải đối với các trường hợp chịu tải đúng tâm theo phương thẳng đứng, cho cả điều kiện đất đắp có kiểm soát và đất tự nhiên, có thể được biểu diễn bằng đường hồi quy phù hợp nhất trong Hình 103 và trong Phương trình 121, với hệ số xác định bằng 0.200. Đường này cho thấy độ chệch sức kháng chịu tải \((\lambda_{BC})\) tăng khi góc ma sát của đất tăng:

\[
\lambda_{BC}=0.308 e^{(0.0372\phi_f)}
\]

Chi tiết trình bày trong Bảng 55 và Bảng 56 cho thấy dữ liệu hiện có đối với điều kiện đất đắp có kiểm soát liên quan đến các loại đất có góc ma sát lớn hơn so với điều kiện đất tự nhiên. Độ chệch được biểu diễn bởi Phương trình 121 đã được sử dụng để xây dựng các hệ số sức kháng cho toàn bộ dải góc ma sát của đất, cho cả điều kiện đất đắp có kiểm soát và đất tự nhiên.

Dựa trên Bảng 55 và Bảng 56, các COV của độ chệch đối với tất cả các trường hợp đất đắp có kiểm soát và đất tự nhiên lần lượt là 0.252 và 0.329. Do đó, có thể lấy \(COV_\lambda\) bằng 0.25 và 0.35 để đại diện cho COV của độ chệch đối với điều kiện đất đắp có kiểm soát và đất tự nhiên, tương ứng. Bảng 58 trình bày các hệ số sức kháng được tính toán từ các thống kê này cho các góc ma sát từ 30° đến ≥45°, trên các móng đặt trong/trên đất tự nhiên và đất đắp có kiểm soát.

Hình 103. Độ chệch sức kháng chịu tải theo góc ma sát trung bình của đất (lấy \(\phi_f \pm 0.5^\circ)\) bao gồm khoảng tin cậy 95% cho tất cả các trường hợp chịu tải đúng tâm theo phương thẳng đứng.

Bảng 58. Các hệ số sức kháng cho các trường hợp chịu tải đúng tâm theo phương thẳng đứng, được xây dựng dựa trên đường hồi quy tốt nhất của quan hệ giữa độ chệch (bias) và \(\phi_f\) theo Phương trình 121, cùng với COV của điều kiện đất tự nhiên so với đất đắp có kiểm soát.

Góc ma sát
của đất
ϕf (độ)
Độ chệch
trung bình
λ
(Ph.trình 121)
Hệ số sức kháng ϕ (βT = 3)
Điều kiện đất
Đất tự nhiên
(COVλ = 0.35)
Đất đắp có
kiểm soát
(COVλ = 0.25)
MCS Khuyến nghị* MCS Khuyến nghị*
30 0.94 0.403 0.40 0.542 0.50
35 1.13 0.485 0.45 0.652 0.60
37 1.22 0.524 0.50 0.703 0.70
38 1.27 0.545 0.50 0.732 0.70
40 1.36 0.584 0.55 0.784 0.75
≥45 1.64 0.704 0.65 0.946 0.80

*Khuyến nghị = giá trị khuyến nghị

Hình 104 trình bày các hệ số sức kháng khuyến nghị cho điều kiện đất đắp có kiểm soát và đất tự nhiên, được nêu chi tiết trong Bảng 58. Hình 104 cũng đưa ra sự so sánh giữa các hệ số sức kháng khuyến nghị với các hệ số thu được trong Bảng 57 (dựa trên cơ sở dữ liệu) và khoảng tin cậy 95% của độ chệch sức kháng chịu tải. Có thể thấy rằng các hệ số sức kháng khuyến nghị tuân theo xu hướng của độ chệch sức kháng chịu tải theo góc ma sát của đất. Những trường hợp mà hệ số sức kháng nhỏ được xây dựng dựa trên một tập con rất nhỏ (mỗi trường hợp chỉ gồm hai mẫu) có thể được xem là có cơ sở để loại bỏ xét theo xu hướng đã được thiết lập và các tập dữ liệu lớn hỗ trợ cho xu hướng đó.

4.6.2.3 Hệ số sức kháng khuyến nghị

Các hệ số sức kháng khuyến nghị cho các trường hợp chịu tải đúng tâm theo phương thẳng đứng được trình bày theo các góc ma sát khác nhau trong Bảng 59, dựa trên các giá trị đã được tính toán và khuyến nghị trong Bảng 58. Các giá trị trong Bảng 59 áp dụng cho các loại đất có độ chặt tương đối lớn hơn 35%. Cần xem xét thêm đối với các loại đất có góc ma sát nhỏ hơn 30° kết hợp với độ chặt tương đối nhỏ hơn 35%. Đối với các loại đất này, vốn ở trạng thái rất rời, khuyến nghị xem xét cải tạo nền đất đến độ sâu ít nhất bằng hai lần bề rộng móng (phụ thuộc tiêu chuẩn độ lún), thay đất, hoặc sử dụng một loại móng khác.

Hình 104. Các hệ số sức kháng khuyến nghị ứng với các góc ma sát của đất (lấy \(\phi_f \pm 0.5^\circ)\) trong khoảng từ 30° đến 46°, kèm theo so sánh với khoảng tin cậy 95% và các hệ số sức kháng thu được cho các trường hợp trong cơ sở dữ liệu; kích thước bong bóng biểu thị số lượng trường hợp dữ liệu trong mỗi tập con.

Bảng 59. Các hệ số sức kháng khuyến nghị cho các trường hợp chịu tải đúng tâm theo phương thẳng đứng.

Góc ma sát của đất
ϕf (độ)
Hệ số sức kháng khuyến nghị ϕ (βT = 3)
Điều kiện đất
Đất tự nhiên Đất đắp có kiểm soát
30–34 0.40 0.50
35–36 0.45 0.60
37–39 0.50 0.70
40–44 0.55 0.75
≥45 0.65 0.80

4.6.2.4 Xem xét các hệ số sức kháng khuyến nghị

Một ước tính gần đúng về hệ số an toàn tương đương đối với một hệ số sức kháng \(\phi\), được xây dựng với giả thiết tỷ số tĩnh tải / hoạt tải bằng 2.0, hệ số tải trọng tĩnh tải bằng 1.25, và hệ số tải trọng hoạt tải bằng 1.75, đã được Paikowsky và cộng sự (2004) trình bày và biểu diễn bằng phương trình sau:

\[
FS \approx \frac{1.4167}{\phi} \tag{122}
\]

Hệ số sức kháng khuyến nghị lớn nhất trong Bảng 59 là (\phi = 0.80) đối với (\phi_f \ge 45^\circ), được xây dựng với giả thiết dữ liệu tuân theo phân bố lognormal (lognormal distribution). Theo Phương trình 122, một ước tính gần đúng của hệ số an toàn tương đương ứng với hệ số sức kháng này là 1.77. Một thiết kế an toàn đòi hỏi điều kiện trong Phương trình 123 phải được thỏa mãn:

\[
\frac{q_{calc}}{FS} \le q_{meas} \tag{123}
\]

trong đó \(q_{calc}\) là sức chịu tải tính toán và \(q_{meas}\) là sức chịu tải đo được. Do đó, độ chệch cho phép nhỏ nhất đối với FS đã cho chính là nghịch đảo của FS, tức độ chệch nhỏ nhất để thiết kế vẫn an toàn là: \(\dfrac{1}{FS}=0.565\). Độ chệch này nhỏ hơn nhiều so với độ chệch nhỏ nhất của bộ dữ liệu, \(\lambda = 0.82\), tại đó có thể thấy phân vị chuẩn tắc (standard normal quantile) bị ước tính thiên lớn (over-predicted) bởi giả thiết phân bố lognormal (assumed lognormal distribution) (xem Hình 101). Vì vậy, độ chệch bằng 0.82 vẫn cho kết quả thiết kế an toàn, và tất cả các trường hợp móng trong cơ sở dữ liệu đều an toàn khi áp dụng hệ số sức kháng đã được xây dựng. Do đó, có thể kết luận rằng phương pháp sử dụng xu hướng dữ liệu kết hợp với giả thiết phân bố lognormal (lognormal distribution) cho độ chệch (bias) là chấp nhận được đối với hiệu chỉnh hệ số sức kháng, và được chứng minh là hợp lý qua kết quả thu được.

4.7 Xem xét lại chi tiết mức độ không chắc chắn trong sức chịu tải của móng đặt trong/trên đất hạt rời dưới tác dụng của tải trọng lệch tâm theo phương thẳng đứng

4.7.1 Xem xét độ chệch đối với các tham số chi phối

Kết quả nghiên cứu trình bày trong Mục 4.4.3 và Hình 95 cho thấy độ chệch trong hệ số sức chịu tải \(N_\gamma\) có thể liên hệ với xu hướng tổng quát của độ chệch trong phân tích sức chịu tải của móng dưới tác dụng của tải trọng lệch tâm theo phương thẳng đứng. Các quan hệ thể hiện trong Hình 95 không tương tự với các quan hệ trong Hình 94 (nghiên cứu các móng dưới tải trọng đúng tâm theo phương thẳng đứng); do đó cần có đánh giá bổ sung cho các trường hợp không thuộc tải trọng đúng tâm theo phương thẳng đứng.

Sự biến thiên của độ chệch sức chịu tải theo góc ma sát của đất được trình bày trong Hình 105 đối với các trường hợp chịu tải lệch tâm theo phương thẳng đứng (mỗi thanh sai số biểu thị một độ lệch chuẩn). Có thể thấy rằng đối với \(\phi_f = 35 \pm 0.5^\circ\), độ chệch trung bình của bảy trường hợp này lớn hơn so với các góc ma sát đất khác, đồng thời có COV tương đối nhỏ hơn. Bảy trường hợp này liên quan đến một địa điểm duy nhất và được tổng hợp từ tài liệu DEGEBO. Do đó, để xác định đường hồi quy phù hợp nhất của quan hệ giữa độ chệch và góc ma sát, bảy trường hợp này đã bị loại khỏi tập dữ liệu.

Xu hướng trong Hình 105 gợi ý khả năng độ chệch giảm khi góc ma sát tăng, điều này trái ngược với xu hướng đã được thiết lập đối với trường hợp tải trọng đúng tâm theo phương thẳng đứng (xem Hình 94) hoặc xu hướng thể hiện trong Hình 95 đối với các góc ma sát đất trong khoảng từ 43.5° đến 46.0°. Dữ liệu trong Hình 105 cho thấy không tồn tại mối tương quan rõ ràng, duy nhất giữa độ chệch và góc ma sát trong của đất; và ngay cả khi loại trừ bảy trường hợp nêu trên, hệ số xác định \((R^2)\) vẫn bằng 0.01, về cơ bản cho thấy không tồn tại tương quan. Do đó, dữ liệu trong Hình 105 có thể cho thấy rằng, đối với tải trọng lệch tâm và/hoặc đối với dữ liệu hiện có của các trường hợp như vậy, các yếu tố khác ngoài góc ma sát của đất đóng góp đáng kể vào độ chệch.

Hình 106 trình bày mối quan hệ giữa độ chệch của móng dưới tác dụng của tải trọng lệch tâm theo phương thẳng đứng và độ lớn của độ lệch tâm được chuẩn hóa theo bề rộng móng, tức là (e/B). Có 43 trường hợp đã được thí nghiệm với tỷ số độ lệch tâm của tải trọng trong khoảng từ 0.025 đến 0.333 (1/40 đến 1/3), trong đó phần lớn có tỷ số độ lệch tâm bằng 1/6. Có thể thấy rằng mặc dù các móng lớn hơn phần lớn có độ chệch cao hơn, nhưng dường như không có mối tương quan giữa độ chệch sức kháng chịu tải và tỷ số độ lệch tâm của tải trọng. Mức độ phân tán lớn xuất hiện đối với các móng nhỏ có thể liên quan đến những khó khăn thực tế trong việc tiến hành các thí nghiệm như vậy, khi tải trọng lệch tâm cần được tác dụng lên một móng kích thước nhỏ.

Hình 105. Độ chệch sức kháng chịu tải theo góc ma sát của đất đối với các trường hợp chịu tải lệch tâm theo phương thẳng đứng (bảy trường hợp ứng với \(\phi_f = 35^\circ\) [đều từ một địa điểm duy nhất] đã được bỏ qua khi xác định đường hồi quy phù hợp nhất).
Hình 106. Độ chệch sức kháng chịu tải theo tỷ số độ lệch tâm của tải trọng (e/B) đối với trường hợp chịu tải lệch tâm theo phương thẳng đứng.

Việc xem xét kỹ hơn mối quan hệ giữa độ chệch và độ lớn của độ lệch tâm được trình bày trong Hình 107 đối với một tỷ số độ lệch tâm cho trước \(e/B = 1/6\) theo góc ma sát \(\phi_f\). Các trường hợp với nhiều bề rộng móng khác nhau chỉ có sẵn đối với tỷ số độ lệch tâm này (xem Hình 106), trong khi các thí nghiệm với các tỷ số độ lệch tâm tải trọng khác phần lớn sử dụng các móng có bề rộng nhỏ hơn hoặc bằng 4 in (≈0.1 m). Mặc dù một đường hồi quy phù hợp nhất cho các dữ liệu này sẽ cho thấy độ chệch giảm khi \(\phi_f\) tăng, nhưng dữ liệu chỉ liên quan đến các móng nhỏ lại chủ yếu ứng với các góc ma sát lớn hơn. Do đó, Hình 107 nhấn mạnh rằng ảnh hưởng của kích thước móng lên độ chệch sức kháng chịu tải khi thí nghiệm các móng chịu tải lệch tâm là đáng kể hơn so với ảnh hưởng của góc ma sát của đất. Vì vậy, việc hiệu chỉnh các hệ số sức kháng dựa trên bộ dữ liệu này theo \(\phi_f\) là không có cơ sở, khác với cách đã thực hiện cho các trường hợp chịu tải đúng tâm theo phương thẳng đứng.

4.7.2 Nhận diện các giá trị ngoại lai

Dữ liệu trình bày trong Hình 105 và Hình 107 dẫn đến kết luận rằng, khi không có một yếu tố nền tảng rõ ràng để giải thích độ chệch, các hệ số sức kháng có thể được xây dựng cho cả điều kiện đất tự nhiên và đất đắp có kiểm soát trong một khoảng giá trị của \(\phi_f\), rồi sau đó được so sánh với các hệ số sức kháng đã được xây dựng cho trường hợp chịu tải đúng tâm theo phương thẳng đứng.

Hình 107. Sự thay đổi của độ chệch sức kháng chịu tải theo góc ma sát của đất đối với các thí nghiệm có tỷ số độ lệch tâm tải trọng (e/B = 1/6).
Hình 108. Phân vị chuẩn tắc (standard normal quantile) của độ chệch (bias) đối với tất cả các trường hợp chịu tải lệch tâm theo phương thẳng đứng và các phân vị dự đoán (predicted quantiles) của các phân bố lý thuyết (theoretical distributions).

Hình 108 trình bày phân vị chuẩn tắc (standard normal quantile) của bộ dữ liệu (dataset) cùng với các dự đoán lý thuyết (theoretical predictions) của phân bố chuẩn (normal distribution)phân bố lognormal (lognormal distribution). Các quan hệ được trình bày cho thấy về mặt trực quan có sự phù hợp tốt giữa phân bố lognormal (lognormal distribution) và dữ liệu. Các kiểm định độ phù hợp \(\chi^2\) (GOF tests) xác nhận rằng dữ liệu tuân theo phân bố lognormal (lognormal distribution) tốt hơn so với phân bố chuẩn (normal distribution) (cả hai đều được chấp nhận ở mức ý nghĩa 1% và 5%), với các giá trị \(\chi^2\) bằng 8.34 đối với phân bố lognormal (lognormal distribution) so với 11.74 đối với phân bố chuẩn (normal distribution). Vì dữ liệu tuân theo phân bố lognormal (lognormal distribution), nên không xác định thấy giá trị ngoại lai (outliers).

4.7.3 Các thống kê của độ chệch như một hàm của góc ma sát trong của đất và các hệ số sức kháng tương ứng

Độ chệch (bias) trong việc ước tính sức kháng chịu tải của móng dưới tác dụng của tải trọng lệch tâm theo phương thẳng đứng, được đánh giá cho các tập con của từng \(\phi_f\) (\(\pm 0.5)^\circ\), được trình bày trong Bảng 60. Các hệ số sức kháng tương ứng về cơ bản vẫn xấp xỉ 1.0, ngoại trừ bốn trường hợp liên quan đến \(\phi_f = 41^\circ\), trong đó đã quan sát thấy độ phân tán lớn (large scatter) (xem Hình 105). Ngoài ra, lượng dữ liệu sẵn có cho một số tập con theo \(\phi_f\) là tương đối nhỏ. Cũng đã kết luận trong Mục 4.5 rằng, với dữ liệu hiện có, ảnh hưởng của kích thước móng lên độ chệch không thể được tách riêng khỏi ảnh hưởng của góc ma sát của đất. Tất cả các điều kiện này dẫn đến vấn đề liệu có thực tế và phù hợp hay không khi chỉ sử dụng bộ dữ liệu cho điều kiện tải trọng đúng tâm theo phương thẳng đứng để hiệu chỉnh hệ số sức kháng cho trường hợp tải trọng này.

Vì tải trọng đúng tâm theo phương thẳng đứng là dạng tải đơn giản nhất, nên các mức độ không chắc chắn liên quan đến việc ước tính sức kháng của móng dưới tác dụng của tải trọng lệch tâm theo phương thẳng đứng được giả định là không nhỏ hơn các mức không chắc chắn trong trường hợp móng chịu tải trọng đúng tâm theo phương thẳng đứng. Giả định này dựa trên các cơ sở sau: (1) khi nguồn của tải trọng ngang không phải là thường xuyên, móng chỉ đỡ tải trọng đúng tâm theo phương thẳng đứng ; và (2) rất thường khi độ lớn của tải trọng ngang (và do đó là độ lệch tâm) không được biết tại giai đoạn thiết kế móng cầu (xem Mục 3.1, đặc biệt là Mục 3.1.7). Điều này có nghĩa là các hệ số sức kháng cho điều kiện tải trọng lệch tâm theo phương thẳng đứng phải bằng hoặc nhỏ hơn các hệ số được khuyến nghị cho tải trọng đúng tâm theo phương thẳng đứng trong Bảng 59.

Bảng 60. Các thống kê của độ chệch sức kháng chịu tải và các hệ số sức kháng
tương ứng với các góc ma sát của đất trong điều kiện đất đắp có kiểm soát đối với
trường hợp chịu tải lệch tâm theo phương thẳng đứng.

Góc ma sát
ϕf
(±0.5 độ)
n Độ chệch Hệ số sức kháng ϕ (βT = 3)
Trung bình λ COVλ MCS Sơ bộ
46 11 1.80 0.227 1.109 1.00
45 4 1.53 0.199 1.021 1.00
44 9 1.27 0.182 0.889 0.85
43 2 1.88 0.238 1.122 1.00
41 4 2.06 0.604 0.426 0.40
40 6 1.77 0.203 1.168 1.00
35 7 2.69 0.148 2.063 1.00
43 đến 46 26 1.58 0.257 0.892 0.85
40 đến 46 36 1.67 0.325 0.772 0.75
Mọi góc 43 1.83 0.351 0.783 0.75

\(\\\)

4.7.4 Xem xét các hệ số sức kháng khuyến nghị cho trường hợp chịu tải lệch tâm theo phương thẳng đứng

Giá trị trung bình của độ chệch đối với trường hợp chịu tải lệch tâm theo phương thẳng đứng lớn hơn một chút so với giá trị trung bình của độ chệch đối với trường hợp chịu tải đúng tâm theo phương thẳng đứng (1.83 so với 1.58); do đó, khuyến nghị sử dụng cùng các hệ số sức kháng đã dùng cho trường hợp chịu tải đúng tâm theo phương thẳng đứng cho trường hợp chịu tải lệch tâm theo phương thẳng đứng.

Dựa trên Phương trình 122 123, độ chệch cho phép nhỏ nhất đối với hệ số sức kháng lớn nhất bằng 0.80 là 0.565. Vì vậy, độ chệch sức kháng chịu tải của tất cả các trường hợp chịu tải lệch tâm theo phương thẳng đứng trong cơ sở dữ liệu (giá trị nhỏ nhất là λ = 0.80) đều an toàn khi áp dụng các hệ số khuyến nghị. Có thể áp dụng một cách tiếp cận khác, giả định rằng tải trọng lệch tâm là thường xuyên, do đó cho phép các hệ số sức kháng lớn hơn các hệ số áp dụng cho trường hợp chịu tải đúng tâm theo phương thẳng đứng. Điều kiện này được xem xét thông qua bề rộng hữu hiệu (B′) so với bề rộng thực tế của móng trong trường hợp chịu tải đúng tâm theo phương thẳng đứng, tức là cả hai kích thước móng đều được xét đến (B dựa trên ϕ cho tải trọng đúng tâm theo phương thẳng đứng và B′ dựa trên ϕ cho tải trọng lệch tâm theo phương thẳng đứng), và kích thước móng lớn hơn sẽ chi phối. Cách xem xét này cho phép rà soát các hệ số sức kháng khuyến nghị cho trường hợp chịu tải đúng tâm theo phương thẳng đứng so với trường hợp chịu tải lệch tâm theo phương thẳng đứng. Dưới đây là một xem xét giới hạn về vấn đề này.

Trong Hình 105, độ chệch trung bình của trường hợp chịu tải lệch tâm theo phương thẳng đứng đối với các góc ma sát từ 40° đến 46° là 1.60. Nếu giả định giá trị trung bình của độ chệch giữ không đổi bằng 1.60 cho mọi góc ma sát và COV của độ chệch sức kháng chịu tải có liên hệ với điều kiện đất tự nhiên và đất đắp có kiểm soát, tức lần lượt là 0.35 và 0.30, thì các hệ số sức kháng thu được như sau:

\(\qquad \)Điều kiện đất tự nhiên, với mọi ϕf: ϕ = 0.65 (ϕ thu được từ MCS = 0.687)

\(\qquad \)Điều kiện đất đắp có kiểm soát, với mọi ϕf: ϕ = 0.75 (ϕ thu được từ MCS = 0.796)

Khi xét hai cơ sở dữ liệu tách biệt này, một cho trường hợp chịu tải đúng tâm theo phương thẳng đứng và một cho trường hợp chịu tải lệch tâm theo phương thẳng đứng, có thể thu được hai bộ hệ số sức kháng, một bộ cho điều kiện đất đắp có kiểm soát và một bộ cho điều kiện đất tự nhiên, như trình bày trong Bảng 61. Bảng 61 cho thấy rằng các hệ số sức kháng khuyến nghị dựa trên nguồn dữ liệu phong phú hiện có từ các thí nghiệm tải trọng đúng tâm theo phương thẳng đứng, mặc dù có thể mang tính bảo thủ, vẫn sẽ an toàn khi áp dụng cho các móng được thiết kế để chịu tải lệch tâm. Điều này được xác nhận khi so sánh với các hệ số sức kháng được xây dựng dựa trên các thí nghiệm tải trọng lệch tâm theo phương thẳng đứng (theo các giả thiết đã nêu ở trên), cũng được trình bày trong Bảng 61.

Một xem xét bổ sung về ảnh hưởng của tỷ số độ lệch tâm (tỷ số giữa độ lệch tâm của tải trọng và bề rộng móng) đối với móng thiết kế đã được thực hiện. Một móng băng đặt trên bề mặt đất có dung trọng 124.7 pcf (19.6 kN/m³) đã được phân tích, do đó loại bỏ ảnh hưởng của hình dạng và chiều sâu móng. Sức kháng chịu tải của móng băng dưới tác dụng của tải trọng lệch tâm với một tỷ số độ lệch tâm cho trước, thay đổi từ 1/4 đến 1/100, được ước tính bằng phương trình sức chịu tải và được biểu diễn dưới dạng sức kháng chịu tải theo bề rộng hữu hiệu của móng \(B’\) \((B – 2e)\), (Meyerhof, 1953). Vì sử dụng bề rộng hữu hiệu của móng, nên ảnh hưởng của độ lệch tâm được “loại bỏ” và trường hợp tải trọng đúng tâm theo phương thẳng đứng về bản chất được chuyển thành trường hợp tải trọng đúng tâm theo phương thẳng đứng, tức là bề rộng hữu hiệu thu được là như nhau bất kể tỷ số độ lệch tâm của tải trọng. Chẳng hạn, đối với tải trọng có hệ số yêu cầu 369 ton/ft (1,000 kN/m), bề rộng hữu hiệu yêu cầu \((B’)\) khi dùng hệ số \(\phi\) khuyến nghị bằng 0.60 cho \(\phi_f = 35^\circ\) được xác định xấp xỉ 6.25 ft (1.90 m) cho cả tỷ số độ lệch tâm 1/4 lẫn 1/100. Trong Hình 109(a) và 109(b), các đồ thị sức kháng chịu tải theo bề rộng hữu hiệu của móng được trình bày tương ứng cho (e/B = 1/4) và 1/100, đối với đất rời có góc ma sát trong \((\phi_f)\) bằng 35°.

Cần lưu ý rằng bề rộng móng thiết kế (thực tế) trong hai trường hợp là khác nhau vì: B = B’ + 2e và do đó phụ thuộc vào độ lớn của độ lệch tâm. Dựa trên xem xét ở trên, có thể nói rằng các hệ số sức kháng khuyến nghị sử dụng dữ liệu thí nghiệm tải trọng đúng tâm theo phương thẳng đứng cho kết quả thiết kế chấp nhận được đối với điều kiện chịu tải lệch tâm theo phương thẳng đứng, và không cần các bộ hệ số sức kháng riêng biệt. Các kết quả thí nghiệm trong cơ sở dữ liệu UML-GTR ShalFound07 cho trường hợp chịu tải lệch tâm theo phương thẳng đứng không cho phép đánh giá mức độ phù hợp của mô hình bề rộng hữu hiệu của Meyerhof (1953), tức là mức độ không chắc chắn trong việc xác định \(B’ = B – 2e\) hoặc khả năng tỷ số độ lệch tâm vượt quá giá trị tiếp xúc nén giới hạn 1/6. Một số thảo luận thêm về chủ đề này từ các nguồn khác sẽ được trình bày tiếp theo.

Bảng 61. So sánh các hệ số sức kháng khuyến nghị được xây dựng dựa trên
trường hợp chịu tải đúng tâm theo phương thẳng đứng với các hệ số thu được dựa trên Hình 105
cho trường hợp chịu tải lệch tâm theo phương thẳng đứng.

Góc ma sát
của đất
ϕf
Hệ số sức kháng ϕ (βT = 3)
Điều kiện đất đắp có kiểm soát Điều kiện đất tự nhiên
Khuyến nghị cho tải
đúng tâm theo phương
thẳng đứng và tải lệch
tâm theo phương
thẳng đứng
Tải lệch tâm
theo phương thẳng đứng
dựa trên Hình 105
Khuyến nghị cho
tải đúng tâm theo
phương thẳng đứng và
tải lệch tâm theo
phương thẳng đứng
Tải lệch tâm theo
phương thẳng đứng dựa
trên Hình 105
30°–34° 0.50 0.75 0.40 0.65
35°–36° 0.60 0.45
37°–39° 0.70 0.50
40°–44° 0.75 0.55
≥45° 0.80 0.65

Hình 109. So sánh các bề rộng hữu hiệu yêu cầu của móng đối với các tỷ số độ lệch tâm khác nhau:
(a) \(e/B = 1/4\) và (b) \(e/B = 1/100\), đối với móng băng đặt trên nền đất có góc ma sát trong \((\phi_f)\) bằng \(35^\circ\).

Giá trị độ lệch tâm giới hạn \(e/B = 1/6\) được xây dựng từ một lý thuyết giả định phân bố ứng suất tuyến tính dưới một móng cứng chịu tải lệch tâm (tổ hợp của tải trọng đúng tâm và mômen, tương tự như phân bố ứng suất trong một dầm). Theo đó, khi tỷ số độ lệch tâm bằng 1/6, móng chịu ứng suất nén với một mép có ứng suất bằng 0. Khi tỷ số độ lệch tâm vượt quá 1/6, móng được dự kiến sẽ chịu “kéo”, do đó diện tích tiếp xúc giữa móng và đất giảm xuống. Người ta hiểu rõ rằng phân bố tải trọng dưới móng phụ thuộc vào độ cứng tương đối của hệ móng–đất, và vì vậy không nhất thiết là tuyến tính. Các phân bố tải trọng dự kiến dưới trường hợp chịu tải đúng tâm theo phương thẳng đứng do Terzaghi và Peck (1948) đề xuất đã được Paikowsky và cộng sự (2000) kiểm chứng bằng thực nghiệm, sử dụng công nghệ cảm biến xúc giác, và cho thấy phân bố ứng suất tải lõm trên một móng cứng đặt trên đất hạt rời. Ảnh hưởng của độ lệch tâm (không được trình bày trong Paikowsky và cộng sự, 2000) được đo đạc như là sự tập trung ứng suất về một phía, đỡ cho các mặt trượt mở rộng về một phía phát triển dưới móng chịu tải lệch tâm, như minh họa trong Hình F-3 (Phụ lục F) của Jumikis (1956).

Một nghiên cứu lý thuyết đã được Michalowski và You (1998) trình bày khi xem xét quy tắc bề rộng hữu hiệu nêu trên của Meyerhof (1953) trong tính toán sức chịu tải của móng nông. Michalowski và You đã phát triển một lời giải phân tích giới hạn cho móng băng chịu tải lệch tâm và đánh giá quy tắc bề rộng hữu hiệu. Các đường trượt đẳng hình do Michalowski và You xây dựng bằng cách sử dụng cách tiếp cận động học của phân tích giới hạn có sự tương đồng về mặt định tính với các quan sát thực nghiệm đã mô tả ở trên. Michalowski và You kết luận rằng đối với móng trơn, mô hình móng thực tế và đất dính, quy tắc bề rộng hữu hiệu của Meyerhof là một cách xét hợp lý ảnh hưởng của độ lệch tâm trong tính toán sức chịu tải. Chỉ khi có liên kết đáng kể tại mặt tiếp xúc đất–móng (tức là không có sự tách rời hoặc có bám dính hoàn toàn) và đối với độ lệch tâm lớn (ví dụ (e/B > 0.25)) thì quy tắc bề rộng hữu hiệu mới đánh giá thấp đáng kể sức chịu tải (đối với đất sét). Đối với đất ma sát–dính, mức đánh giá thấp này giảm khi góc ma sát trong tăng, và trở nên ngày càng “chính xác” hơn khi độ lệch tâm bị giới hạn.

Việc xem xét và thảo luận trong Mục 4.6 và 4.7 dẫn đến các khuyến nghị sau:

  1. Việc sử dụng các hệ số sức kháng được xây dựng và khuyến nghị cho trường hợp chịu tải đúng tâm theo phương thẳng đứng (xem Bảng 59) có thể và nên được mở rộng để áp dụng cho trường hợp chịu tải lệch tâm theo phương thẳng đứng.
  2. Quy tắc kích thước móng hữu hiệu \((B’ = B – 2e)\) do Meyerhof (1953) đề xuất không quá bảo thủ và cho kết quả dự đoán sức chịu tải thực tế đối với các điều kiện đất–móng dự kiến gặp trong xây dựng cầu (móng nhám đặt trên đất hạt rời).
  3. Tính độc lập của kích thước móng hữu hiệu tính toán \((B’)\) đối với độ lớn của độ lệch tâm, cùng với các khuyến nghị/nhận xét nêu trên, cung cấp một lời giải cho các vấn đề thiết kế được nêu bởi nhiều DOT (xem Mục 3.1.7), trong đó độ lệch tâm chưa được biết ở giai đoạn thiết kế ban đầu. Giải pháp này cho phép xem kích thước móng tính toán ở giai đoạn thiết kế ban đầu là móng hữu hiệu, sau đó có thể được hiệu chỉnh bằng cách cộng thêm hai lần độ lệch tâm ở giai đoạn thiết kế cuối cùng.
  4. Xét theo các tài liệu đã trình bày, không có bằng chứng rõ ràng nào cho phép tăng tỷ số độ lệch tâm của móng đối với tải trọng thường xuyên vượt quá \(e/B = 1/6\).
  5. Đối với tổ hợp tải trọng (thường xuyên và thay đổi), có thể lập luận rằng tỷ số độ lệch tâm có thể tăng lên đến \(e/B = 1/3\), khi đó một nửa móng ở trong trạng thái “kéo”. Một số quy chuẩn thiết kế theo tính năng làm việc (performance-based design codes), ví dụ DIN 1054, cho phép giới hạn đó. Tuy nhiên, vì chưa có dữ liệu rõ ràng để hỗ trợ cho việc tăng này, nên khuyến nghị rằng cho đến khi có thêm nghiên cứu trong lĩnh vực này, độ lệch tâm của tổ hợp tải trọng sẽ được giới hạn ở \(e/B \le 1/4\), như được cho phép trong các quy định tiêu chuẩn AASHTO (4.4.8) hoặc được khuyến nghị trong Mục 8.4.3.1 của FHWA-NHI-06-089 Soils and Foundation Manual (FHWA, 2006).

4.8 Xem xét lại chi tiết mức độ không chắc chắn trong sức chịu tải của móng đặt trong/trên đất hạt rời dưới tác dụng của tải trọng nghiêng đúng tâm

4.8.1 Xem xét độ chệch đối với các tham số chi phối

Trong trường hợp móng chịu tải trọng nghiêng đúng tâm, một yếu tố bổ sung cần xét đến là độ nghiêng của tải trọng so với phương thẳng đứng, khi so với trường hợp móng chịu tải trọng đúng tâm theo phương thẳng đứng. Hình 110 khảo sát sự biến thiên của độ chệch theo góc nghiêng của tải trọng (so với phương thẳng đứng), theo từng kích thước móng. Sự phân tán của dữ liệu cho thấy không có xu hướng rõ ràng nào của độ chệch gắn với either góc nghiêng của tải trọng hoặc kích thước móng.

Tất cả các móng lớn hơn \((B \ge 1.65\ \text{ft})\) được thí nghiệm dưới tải trọng nghiêng với \(\theta = 0^\circ\) (độ nghiêng theo chiều dài móng, xem Hình 17), trong khi các móng nhỏ hơn chịu tải trọng nghiêng với \(\theta = 90^\circ\) (độ nghiêng theo chiều rộng móng). Mặc dù có vẻ như độ chệch tăng khi độ nghiêng của tải trọng tăng đối với \(\theta = 0^\circ\), còn đối với \(\theta = 90^\circ\) thì độ chệch giảm khi góc nghiêng tăng, nhưng khó có thể tách riêng ảnh hưởng của kích thước móng, ngoại trừ vùng lân cận góc nghiêng tải trọng khoảng \(10^\circ\).

Đối với các thí nghiệm với góc nghiêng khoảng \(10^\circ\) được thực hiện trên các kích thước móng khác nhau, có thể quan sát thấy việc chuyển hướng giữa \(\theta = 0^\circ\) và \(90^\circ\) không ảnh hưởng đến độ chệch, điều này gợi ý rằng không tồn tại mối tương quan với phương của tải trọng. Tuy nhiên, nhận xét này cần được hiểu có điều kiện, vì bộ dữ liệu cho các phương tải trọng nằm giữa \(0^\circ\) và \(90^\circ\) không đủ lớn để đưa ra một kết luận tổng quát. Do đó, các hệ số sức kháng có thể được xem xét tiếp theo trong mối liên hệ với góc ma sát của đất.

Tổng số điểm dữ liệu (data points) hiện có cho trường hợp chịu tải nghiêng đúng tâm là 39 (giá trị trung bình của độ chệch (bias mean) = 1.43 và COV = 0.295), trong khi các góc ma sát của đất nằm trong khoảng từ 46 (±0.5°) đến 38 (±0.5°). Do đó, việc nhận diện giá trị ngoại lai (outliers) dựa trên tập con dữ liệu (data subset) cho từng \(\phi_f (\pm 0.5^\circ)\) có thể không khả thi do các tập con dữ liệu quá nhỏ.

Các phân vị chuẩn tắc (standard normal quantiles) của dữ liệu và các phân vị được dự đoán bởi phân bố chuẩn (normal distribution)phân bố lognormal (lognormal distribution) đã xây dựng được trình bày trong Hình 111. Quan sát trực quan cho thấy rõ rằng dữ liệu phù hợp với phân bố chuẩn (normal distribution), trong khi để dữ liệu tuân theo phân bố lognormal (lognormal distribution) thì cần phải loại bỏ một số giá trị ngoại lai (outliers) ở vùng đuôi dưới (lower tail region), đặc biệt là các trường hợp có độ chệch (biases) nhỏ hơn 1.0.

Tuy nhiên, phân bố lognormal (lognormal distribution) vẫn được giả định là phân bố mà độ chệch sức kháng (resistance bias) tuân theo mà không loại bỏ các giá trị ngoại lai (outliers), bởi vì vùng đuôi dưới (lower tail region) (nơi độ chệch sức kháng nhỏ hơn 1.0) là vùng tới hạn để xác định hệ số sức kháng, do nó gắn với vùng cần quan tâm, nơi tải trọng có thể vượt quá sức kháng. Cần lưu ý rằng trong trường hợp như vậy, việc sử dụng phân bố lognormal (lognormal distribution) sẽ cho kết quả đánh giá hệ số sức kháng bảo thủ hơn so với các cách khác.

Các cách làm khác, chẳng hạn như “khớp” phân bố (distribution) theo phần đuôi (tail) (bỏ qua phần lớn dữ liệu), nên tránh và không được xem là có cơ sở hợp lý về mặt toán học hay các phương diện khác.

Hình 110. Độ chệch (bias) theo độ nghiêng của tải trọng đối với
các móng dưới tác dụng của tải trọng nghiêng đúng tâm.
Hình 111. Phân vị chuẩn tắc (standard normal quantile) của dữ liệu độ chệch (bias data) đối với toàn bộ dữ liệu của trường hợp chịu tải nghiêng đúng tâm và các phân vị dự đoán của các phân bố lý thuyết.

Việc xem xét sâu hơn sự biến thiên của độ chệch theo độ lớn của góc ma sát của đất được trình bày trong Hình 112 đối với các trường hợp chịu tải nghiêng đúng tâm (mỗi thanh sai số biểu thị 1 độ lệch chuẩn). Đường hồi quy phù hợp nhất cho thấy độ chệch tăng dần khi góc ma sát của đất tăng. Hệ số sức kháng được hiệu chỉnh bằng cách sử dụng giá trị trung bình thu được từ đường hồi quy phù hợp nhất.

Hình 112. Sự biến thiên của độ chệch trong sức kháng chịu tải theo góc ma sát của đất đối với các trường hợp chịu tải nghiêng đúng tâm.

4.8.2 Các thống kê của độ chệch như một hàm của góc ma sát trong của đất và các hệ số sức kháng tương ứng

Các thống kê của độ chệch sức kháng chịu tải đối với các trường hợp chịu tải nghiêng đúng tâm được trình bày trong Bảng 62 cho các tập con của từng \(\phi_f\) \((\pm 0.5^\circ)\), trong khi đường hồi quy phù hợp nhất thu được từ phân tích hồi quy của các giá trị độ chệch hiện có cho khoảng \(38^\circ < \phi \le 46^\circ\) trong Hình 112 được cho bởi Phương trình 124:

\[
\lambda = 1.25 + 0.0041\phi_f \tag{124}
\]

Bảng 62. Các thống kê của độ chệch sức kháng chịu tải và các hệ số sức kháng tương ứng
với các góc ma sát của đất trong điều kiện đất đắp có kiểm soát đối với trường hợp chịu tải nghiêng đúng tâm.

Góc ma sát
ϕf
(±0.5 độ)
n Độ chệch Hệ số sức kháng ϕ (βT = 3)
Trung bình λ COVλ MCS Sơ bộ
46 10 1.81 0.104 1.555 1.00
45 11 1.08 0.376 0.442 0.45
44 4 1.17 0.347 0.520 0.50
43 4 1.43 0.166 1.055 1.00
40 6 1.64 0.217 1.050 1.00
39 3 1.42 0.151 1.088 1.00
38 1 1.14
43 đến 46 29 1.39 0.322 0.665 0.65
Mọi góc 39 1.43 0.295 0.737 0.70

\(\\\)

Bảng 63. Các hệ số sức kháng khuyến nghị cho các trường hợp chịu tải nghiêng đúng tâm.

Góc ma sát của đất
ϕf (độ)
Độ chệch trung bình
λ
(theo PT. 5)
Hệ số sức kháng ϕ (βT = 3)
Điều kiện đất
Đất tự nhiên
(COVλ = 0.40)
Đất đắp có kiểm soát
(COVλ = 0.35)
MCS Khuyến nghị* MCS Khuyến nghị
38 1.41 0.522 0.45 0.605 0.45
42 1.42 0.526 0.45 0.610 0.50
45 1.43 0.530 0.50 0.614 0.50
46 1.44 0.533 0.50 0.618 0.55

*Khuyến nghị = giá trị khuyến nghị

COV của độ chệch \((\mathrm{COV}_\lambda)\) thu được từ dữ liệu được dùng làm giá trị tham chiếu; do đó, lấy \(\mathrm{COV}_\lambda = 0.35\) cho điều kiện đất đắp có kiểm soát (mặc dù giá trị \(\mathrm{COV}_\lambda\) lớn nhất bằng 0.376 được thu được đối với \(\phi_f = 45^\circ\)) và lấy \(\mathrm{COV}_\lambda = 0.40\) cho điều kiện đất tự nhiên. Bảng 63 trình bày các hệ số sức kháng cho các trường hợp chịu tải nghiêng đúng tâm với \(\phi_f\) trong khoảng từ 38° đến 46°, sử dụng Phương trình 124 để xác định độ chệch ứng với từng góc ma sát của đất và các giá trị \(\mathrm{COV}_\lambda\) bằng 0.35 và 0.40, được giả định dựa trên đánh giá mức độ không chắc chắn.

Độ chệch nhỏ nhất đối với hệ số sức kháng lớn nhất thu được khi dùng quan hệ hệ số an toàn tương đương trong Phương trình 122 là 0.423 (0.60/1.4167). Các độ chệch nhỏ nhất của dữ liệu là 0.37 và 0.57 (cả hai đều ứng với \(\phi_f = 45 \pm 0.5^\circ\)); điều này có nghĩa là hệ số sức kháng cần phải được giảm thêm. Hệ số sức kháng yêu cầu đối với \(\lambda = 0.37\) xấp xỉ 0.52 \((= 0.37 \times 1.4167)\), và có thể lấy bằng 0.50. Do đó, các hệ số sức kháng cho cả điều kiện đất đắp có kiểm soát và đất tự nhiên được làm tròn xuống thành một giá trị thấp hơn đáng kể so với các hệ số sức kháng thu được từ MCS.

4.9 Xem xét lại chi tiết mức độ không chắc chắn trong sức chịu tải của móng đặt trong/trên đất hạt rời dưới tác dụng của tải trọng nghiêng lệch tâm

4.9.1 Phạm vi cơ sở dữ liệu

Tổng số điểm dữ liệu tin cậy cho các trường hợp chịu tải nghiêng lệch tâm mà trong đó có thể phân biệt rõ độ lệch tâm tải trọng dương và âm là 15. Trong số đó, 8 trường hợp được thí nghiệm dưới độ lệch tâm tải trọng dương, và 7 trường hợp được thí nghiệm dưới độ lệch tâm tải trọng âm. Các hệ số sức kháng thu được từ các thống kê độ chệch của các trường hợp này chỉ được sử dụng ở đây với mục đích tham khảo.

4.9.2 Điều kiện chịu tải nghiêng lệch tâm, độ lệch tâm tải trọng dương

Bảng 64 tóm tắt các thống kê độ chệch cho 8 trường hợp móng dưới tác dụng của tải trọng nghiêng lệch tâm với độ lệch tâm tải trọng dương (hoặc đảo chiều được). Hệ số sức kháng thu được dựa trên các thống kê độ chệch là 0.65, nhưng như có thể thấy trong tất cả các trường hợp tải trọng khác, hệ số sức kháng khuyến nghị có thể được lấy thấp đến 0.50.

4.9.3 Điều kiện chịu tải nghiêng lệch tâm, độ lệch tâm tải trọng âm

Bảng 65 tóm tắt các thống kê độ chệch cho 7 trường hợp móng dưới tác dụng của tải trọng nghiêng lệch tâm với độ lệch tâm tải trọng âm. Hệ số sức kháng sơ bộ thu được dựa trên các thống kê độ chệch là 1.00 đối với các trường hợp góc ma sát đất hiện có, nhưng như có thể thấy trong tất cả các trường hợp tải trọng khác, hệ số sức kháng khuyến nghị có thể được giảm một cách bảo thủ xuống 0.80.

Bảng 64. Các thống kê của độ chệch sức kháng chịu tải và các hệ số sức kháng tương ứng
với các góc ma sát của đất trong điều kiện đất đắp có kiểm soát đối với trường hợp chịu
tải nghiêng lệch tâm, độ lệch tâm tải trọng dương (hoặc đảo chiều được)

Góc ma sát ϕf
(±0.25 độ)
n Độ chệch Hệ số sức kháng ϕ (βT = 3)
Trung bình λ COVλ MCS Sơ bộ
45.0 5 2.52 0.505 0.687 0.65
44.5 3 1.55 0.158 1.158 1.00
Mọi góc 8 2.16 0.506 0.587 0.55

\(\\\)

Bảng 65. Các thống kê của độ chệch sức kháng chịu tải và các hệ số sức kháng tương ứng
với các góc ma sát của đất trong điều kiện đất đắp có kiểm soát đối với trường hợp
chịu tải nghiêng lệch tâm, độ lệch tâm tải trọng âm.

Góc ma sát ϕf
(±0.25 độ)
n Độ chệch Hệ số sức kháng ϕ (βT = 3)
Trung bình λ COVλ MCS Sơ bộ
45.0 4 3.78 0.640 2.043 1.00
44.5 3 2.96 0.187 0.703 0.70
Mọi góc 7 3.43 0.523 0.887 0.85

4.10 Tóm tắt các hệ số sức kháng khuyến nghị cho móng đặt trong/trên đất hạt rời

Bảng 66 67 trình bày các hệ số sức kháng được khuyến nghị sử dụng trong thiết kế móng nông đặt trong/trên đất hạt rời cho điều kiện đất đắp có kiểm soát và đất tự nhiên, tương ứng, với góc ma sát trong của đất \((\phi_f)\) trong khoảng từ 30° đến 45° và độ chặt tương đối \((D_R)\) ≥ 35%. Các hệ số sức kháng cho điều kiện đất đắp có kiểm soát được sử dụng khi móng được đặt trong/trên đất đắp kỹ thuật đã đầm chặt kéo dài đến độ sâu không nhỏ hơn hai (2.0) lần bề rộng móng tính từ đáy móng trở xuống. Trong các trường hợp như vậy, góc ma sát trong phải được xác định bằng thí nghiệm trong phòng. Việc sử dụng các hệ số sức kháng cho điều kiện đất tự nhiên được khuyến nghị khi móng được đặt trong/trên đất tại chỗ, và góc ma sát trong của đất được giả định là được đánh giá từ các tương quan với thí nghiệm xuyên tiêu chuẩn (Standard Penetration Testing).

4.11 Phương pháp bán thực nghiệm của Goodman (1989) về sức chịu tải của móng đặt trong/trên đá

4.11.1 Nhận diện các giá trị ngoại lai

Các kiểm định độ phù hợp \(\chi^2\) đã được thực hiện trên các bộ dữ liệu chứa tất cả các trường hợp và các tập con: (1) các trường hợp có đo góc ma sát, (2) các trường hợp có đo khoảng cách gián đoạn của đá \(s’\), và (3) các trường hợp có đo cả góc ma sát và (s’).

Hình 113 trình bày phân vị chuẩn tắc (standard normal quantile) của dữ liệu độ chệch chưa lọc (unfiltered bias data) cho tất cả các trường hợp, cùng với phân bố chuẩn (normal distribution)phân bố lognormal (lognormal distribution) lý thuyết, được xây dựng dựa trên giá trị trung bình (mean)độ lệch chuẩn (standard deviation) đã tính toán. Các giá trị \((\chi^2\) của phân bố chuẩn (normal distribution)phân bố lognormal (lognormal distribution) lần lượt được xác định là 121.28 và 18.79. Mức độ phù hợp quan sát được trong Hình 113 cùng với kết quả của kiểm định độ phù hợp (goodness-of-fit test) cho thấy phân bố lognormal (lognormal distribution)phân bố nền phù hợp (matching underlying distribution) đối với dữ liệu, với mức chấp nhận (acceptance level) của kiểm định độ phù hợp tại mức ý nghĩa 1%, mà tại đó giá trị \((\chi^2\) lớn nhất chấp nhận được là 21.67. Các kết quả này cũng có nghĩa là không cần xác định giá trị ngoại lai (outliers) cho bộ dữ liệu (dataset) của tất cả các trường hợp.

Bảng 66. Các hệ số sức kháng khuyến nghị cho móng nông trên đất rời được thi công trong điều kiện có kiểm soát.

Góc ma sát
của đất \(\phi_f\)
Điều kiện tải trọng
Đứng tâm
hoặc
lệch tâm
Nghiêng tâm Nghiêng lệch
tâm dương
Nghiêng lệch
tâm âm
30°–34° 0.50 0.40 0.40 0.70
35°–36° 0.60 0.40 0.40 0.70
37°–39° 0.70 0.45 0.45 0.75
40°–44° 0.75 0.50 0.50 0.80
≥ 45° 0.80 0.55 0.50 0.80
Ghi chú:
(1) \(\phi_f\) được xác định bằng thí nghiệm trong phòng.
(2) Giả thiết rằng lớp đắp đầm chặt có kiểm soát hoặc nền đất được cải tạo kéo
dài xuống dưới đáy móng đến độ sâu ít nhất bằng hai (2.0) lần bề rộng móng (B).
Nếu lớp đắp có chiều dày nhỏ hơn 2B nhưng nằm trên một vật liệu có cường độ
bằng hoặc lớn hơn chính lớp đắp đó, thì khuyến nghị này vẫn áp dụng. Nếu không,
thì cường độ của vật liệu yếu hơn trong phạm vi 2B bên dưới móng sẽ chi phối.
(3) Các hệ số sức kháng được đánh giá cho độ tin cậy mục tiêu (βT) = 3.0.

Bảng 67. Các hệ số sức kháng khuyến nghị cho móng nông trên đất rời ở trạng thái lắng đọng tự nhiên.

Góc ma sát
của đất \(\phi_f\)
Điều kiện tải trọng
Đứng tâm
hoặc
lệch tâm
Nghiêng tâm Nghiêng lệch
tâm dương
Nghiêng lệch
tâm âm
30°–34° 0.40 0.40 0.35 0.65
35°–36° 0.45 0.70
37°–39° 0.50 0.40
40°–44° 0.55 0.45 0.75
≥ 45° 0.65 0.50 0.45
Ghi chú:
(1) \(\phi_f\) được xác định từ kết quả thí nghiệm xuyên tiêu chuẩn.
(2) Giả thiết rằng vật liệu hạt kéo dài xuống dưới đáy móng ít nhất bằng hai (2.0) lần bề rộng móng.
(3) Các hệ số sức kháng được đánh giá cho độ tin cậy mục tiêu (βT) = 3.0.
Hình 113. So sánh độ chệch chưa lọc của sức chịu tải được tính theo phương pháp Goodman (1989) cho toàn bộ dữ liệu với các phân bố normal và lognormal lý thuyết.
Hình 114. So sánh độ chệch chưa lọc của sức chịu tải được tính theo phương pháp Goodman (1989) cho toàn bộ dữ liệu trên đá có góc ma sát đã được đo, với các phân bố normal và lognormal lý thuyết.

Hình 114 115 lần lượt trình bày các phân vị chuẩn tắc của dữ liệu độ chệch chưa lọc đối với các trường hợp có đo góc ma sát của đá và có đo khoảng cách gián đoạn của đá, cùng với các quan hệ được dự đoán từ các phân bố normal và lognormal lý thuyết. Đối với tập dữ liệu các trường hợp có đo góc ma sát được trình bày trong Hình 114, giá trị \(\chi^2\) của phân bố normal được xác định là 64.35, trong khi của phân bố lognormal là 15.60, và được chấp nhận ở mức ý nghĩa 5%. Đối với tập dữ liệu các trường hợp có đo khoảng cách gián đoạn của đá được trình bày trong Hình 115, giá trị \(\chi^2\) của phân bố normal được xác định là 113.92, trong khi của phân bố lognormal là 11.99, và cũng được chấp nhận ở mức ý nghĩa 5%.

Hình 115. So sánh độ chệch chưa lọc của sức chịu tải được tính theo phương pháp Goodman (1989) cho toàn bộ dữ liệu trên đá có khoảng cách gián đoạn \(s’\) đã được đo, với các phân bố normal và lognormal lý thuyết.
Hình 116. So sánh độ chệch chưa lọc của sức chịu tải được tính theo phương pháp Goodman (1989) cho toàn bộ dữ liệu trên đá có đo cả khoảng cách gián đoạn và góc ma sát, với các phân bố normal và lognormal lý thuyết.

Hình 116 khảo sát phân vị chuẩn tắc của bộ dữ liệu độ chệch sức kháng đối với các trường hợp có đo cả góc ma sát và khoảng cách gián đoạn, cùng với các quan hệ dự đoán cho các phân bố normal và lognormal lý thuyết. Giá trị \(\chi^2\) từ các kiểm định GOF thu được đối với phân bố normal là 66.27, trong khi đối với phân bố lognormal là 11.77.

Dựa trên dữ liệu và các phân tích ở Hình 113 đến 116, có thể kết luận rằng độ chệch gắn với phân tích móng nông trên đá theo Goodman (1989), xét cho toàn bộ tập dữ liệu và các tập con của nó, phù hợp với phân bố lognormal, và không tồn tại outlier trong các bộ dữ liệu đã xem xét.

4.11.2 Hiệu chỉnh các hệ số sức kháng

Bảng 68 cho thấy các hệ số sức kháng \((\phi)\) thu được từ MCS với một triệu mẫu cho mỗi bộ dữ liệu được xét. Như có thể dự đoán, độ không chắc chắn trong sức kháng chịu tải ước tính giảm khi lượng thông tin tin cậy sẵn có tăng lên, qua đó làm tăng độ tin cậy của các sức kháng ước tính và dẫn đến các hệ số sức kháng cao hơn. Khi sử dụng toàn bộ dữ liệu, không phân biệt giữa dữ liệu mà thông tin về tính chất của đá có sẵn từ hiện trường và thí nghiệm với dữ liệu mà thông tin về tính chất của đá được ước tính theo quy trình đã nêu, thì hệ số sức kháng khuyến nghị là 0.30. Hệ số sức kháng có thể tăng lên 0.45 khi các tính chất đá liên quan, tức là góc ma sát của đá và khoảng cách gián đoạn của đá, là các giá trị được đo.

Bảng 68. Các hệ số sức kháng đã hiệu chỉnh cho các bộ dữ liệu khác nhau của
độ chệch sức kháng, thu được bằng phương pháp Goodman (1989).

Bộ dữ liệu Số trường hợp Độ chệch Hệ số sức kháng \(\phi\) (βT = 3)
Giá trị trung bình λ COVλ MCS Khuyến nghị
Toàn bộ dữ liệu 119 1.35 0.535 0.336 0.30
Góc ma sát đo được, φf 98 1.41 0.541 0.346 0.35
Khoảng cách đo được, s′ 83 1.43 0.461 0.437 0.40
Góc ma sát đo được, φf, và s′ 67 1.51 0.459 0.464 0.45

Hình 113 114 cho thấy rằng phân bố lognormal được giả định đã đánh giá lớn hơn độ chệch ở vùng đuôi dưới của dữ liệu, lần lượt đối với toàn bộ các trường hợp và đối với các trường hợp có đo \(\phi_f\). Độ chệch nhỏ nhất quan sát được của cả hai bộ dữ liệu này là 0.19, và giá trị nhỏ thứ hai là 0.29 (đối với cả hai trường hợp, khoảng cách gián đoạn của đá \(s’\) được lấy theo AASHTO [2007]). Một ước tính gần đúng của hệ số an toàn tương đương ứng với một hệ số sức kháng đã hiệu chỉnh cho trước được cho bởi Phương trình 122, trong khi độ chệch tối thiểu cho phép tương đương để thiết kế vẫn an toàn với hệ số sức kháng đó được cho bởi nghịch đảo của hệ số an toàn tương đương (Phương trình 123). Do đó, các độ chệch tối thiểu cho phép đối với các hệ số sức kháng khuyến nghị lần lượt là:
\(\qquad \)(1) 0.21 với \(\phi = 0.30\),
\(\qquad \)(2) 0.25 với \(\phi = 0.35\),
\(\qquad \)(3) 0.28 với \(\phi = 0.40\), và
\(\qquad \)(4) 0.32 với \(\phi = 0.45\).
Ngoại trừ một trường hợp duy nhất có độ chệch nhỏ nhất bằng 0.19 (có thể xem là trường hợp cận biên), các kết quả cho thấy thiết kế là an toàn khi dùng \(\phi = 0.30\); tức là toàn bộ dữ liệu đều cho thiết kế an toàn khi áp dụng các hệ số sức kháng khuyến nghị.

4.12 Phương pháp bán thực nghiệm của Carter và Kulhawy (1988) về sức chịu tải của móng đặt trong/trên đá

4.12.1 Xác định outlier

Các thông tin và phân tích được trình bày trong Mục 3.8.2 cho thấy độ chệch sức kháng thu được khi dùng phương pháp Carter và Kulhawy (1988) phụ thuộc vào loại móng, tức là móng đá khoan vào đá hoặc móng nông đặt trong/trên đá. Đồng thời cũng quan sát thấy tồn tại sự biến thiên có hệ thống của độ chệch sức kháng theo chất lượng đá. Khi xét đồng thời cả hai yếu tố này, dữ liệu cho thấy (Mục 3.8.2.2) rằng sự biến thiên độ chệch do loại móng gây ra thực chất bị chi phối bởi mối quan hệ giữa độ chệch và chất lượng đá trong các cơ sở dữ liệu độc lập của từng loại móng. Vì vậy, các kiểm định GOF đã được thực hiện trên các bộ dữ liệu được phân loại theo RMR của đá, và các hệ số sức kháng được xây dựng cho từng nhóm con này.

Các so sánh các phân vị chuẩn tắc của các bộ dữ liệu cho:
\(\qquad \) (1) toàn bộ các trường hợp móng đặt trong/trên đá,
\(\qquad \) (2) các trường hợp móng đặt trong/trên đá với \(RMR \ge 85\), và
\(\qquad \) (3) các trường hợp móng đặt trong/trên đá với \(65 \le RMR < 85\), được trình bày lần lượt trong các Hình 117, 118 119.
Ngoại trừ trường hợp của Hình 119, có thể thấy rằng phân bố lognormal phù hợp với dữ liệu tốt hơn phân bố normal.

Các kiểm định GOF theo \(\chi^2\) đã được thực hiện cho tất cả các tập con dữ liệu, được phân loại theo giá trị RMR của đá, nhằm kiểm tra tính phù hợp của giả thiết rằng các bộ dữ liệu có thể được mô hình hóa bằng các phân bố lognormal. Các giá trị \(\chi^2\) thu được đối với phân bố normal \((N)\) và phân bố lognormal \((LN)\) lần lượt như sau:
\(\qquad \) (1) 481.64 cho \(N\) và 16.22 cho \(LN\) đối với toàn bộ các trường hợp trên đá \((n = 119)\);
\(\qquad \) (2) 15.87 cho \(N\) và 15.61 cho \(LN\) đối với \(RMR \ge 85\) \((n = 23)\);
\(\qquad \) (3) 18.97 cho \(N\) và 31.82 cho \(LN\) đối với \(65 \le RMR < 85) ((n = 57)\);
\(\qquad \) (4) 11.58 cho \(N\) và 9.12 cho \(LN\) đối với \(44 \le RMR < 65\) \((n = 17)\); và
\(\qquad \) (5) 13.34 cho \(N\) và 10.43 cho \(LN\) đối với \(3 \le RMR < 44\) \((n = 22)\).
Các giá trị \(\chi^2\) tại mức ý nghĩa 1% và 5% lần lượt là 21.66 và 16.92; do đó, các kiểm định GOF cho thấy phần lớn các tập con dữ liệu tuân theo phân bố lognormal và không cần xác định outlier nào.

4.12.2 Hiệu chỉnh các hệ số sức kháng

Dựa trên các bộ dữ liệu, mà đối với phần lớn trong số đó các kiểm định GOF cho thấy có thể giả định phân bố lognormal để mô hình hóa phân bố độ chệch, các hệ số sức kháng đã được hiệu chỉnh bằng MCS với một triệu mẫu. Các hệ số này được trình bày trong Bảng 69. Nếu không có thông tin về RMR, hệ số sức kháng khuyến nghị (\phi) là 0.35. Khi đá có (RMR \ge 85), hệ số (\phi) khuyến nghị là 0.50. Đối với đá có (RMR < 85), (\phi = 1.00).

Hình 117. So sánh độ chệch chưa lọc của sức chịu tải được tính theo phương pháp Carter và Kulhawy (1988) cho toàn bộ các trường hợp móng đặt trong/trên đá trong cơ sở dữ liệu, với các phân bố normal và lognormal lý thuyết.
Hình 118. So sánh độ chệch chưa lọc của sức chịu tải được tính theo phương pháp Carter và Kulhawy (1988) cho tất cả các trường hợp trên đá có \(RMR \ge 85\), với các phân bố normal và lognormal lý thuyết.

4.13 Tóm tắt các hệ số sức kháng khuyến nghị cho móng nông đặt trong/trên đá

Bảng 70 tóm tắt (dựa trên thông tin trình bày trong các Bảng 68 69) các hệ số sức kháng khuyến nghị dùng để đánh giá sức chịu tải của móng nông trên đá. Các hệ số sức kháng của cả hai phương pháp được xét được trình bày cùng với các hệ số hiệu quả, là thước đo hiệu quả tương đối của các phương pháp.

Phương pháp Goodman (1989) cho kết quả rất tốt và ổn định, không phụ thuộc vào chất lượng đá. Sự cải thiện trong khả năng làm việc của phương pháp khi mức độ hiểu biết tăng lên được phản ánh qua sự gia tăng của hệ số sức kháng và hệ số hiệu quả tương ứng của phương pháp.

Khả năng làm việc của phương pháp Carter và Kulhawy (1988) có một mức độ an toàn “tích hợp sẵn”, tăng lên khi chất lượng đá giảm. Do đó, độ chệch của phương pháp thay đổi theo chất lượng đá (biểu thị qua RMR), và cần phải hiệu chỉnh theo phân cấp chất lượng đá. Các hệ số sức kháng tương đối cao hơn là hệ quả phụ của độ chệch lớn của phương pháp và vì vậy không biểu thị một thiết kế hiệu quả, thể hiện qua hệ số hiệu quả thấp của việc áp dụng phương pháp này so với phương pháp Goodman (1989).

Hình 119. So sánh độ chệch chưa lọc của sức chịu tải được tính theo phương pháp Carter và Kulhawy (1988) cho tất cả các trường hợp trên đá có \(65 \le RMR < 85\), với các phân bố normal và lognormal lý thuyết.

4.14 Sức kháng ma sát trượt

4.14.1 Nghiên cứu tham số đánh giá hệ số sức kháng như một hàm của tỷ số tải trọng tĩnh trên tải trọng hoạt tải

Các đặc trưng xác suất của tham số đóng góp trực tiếp vào sức kháng ma sát trượt, tức tỷ số hệ số ma sát \((f_c)\), đã được trình bày trong Mục 3.9 và tóm tắt trong Bảng 48. Các độ không chắc chắn của tỷ số hệ số ma sát \((f_c)\) được chuyển đổi một-một sang sức kháng trượt, tức là:

  • giá trị trung bình của sức kháng trượt = tải trọng đứng × (giá trị trung bình của \(f_c \times \tan \phi_f\))
  • độ lệch chuẩn (s.d.) của sức kháng trượt = tải trọng đứng × (độ lệch chuẩn của \(f_c \times \tan \phi_f)\)

Do đó, dạng của hàm trạng thái giới hạn đối với sức kháng trượt về cơ bản giống như đối với sức kháng chịu tải (xem Phương trình 118), và có thể biểu diễn như sau

\[
Z_t = R_t – LFD – LFL
\tag{125}
\]

trong đó \(Z_t\) là tổ hợp tải trọng đối với trượt, \(R_t\) là sức kháng trượt của móng, \(LFD\) là tải trọng ngang do tải trọng tĩnh, và \(LFL\) là tải trọng ngang do hoạt tải. Tóm tắt các độ không chắc chắn trong tải trọng ngang và các hệ số tải trọng như khuyến nghị trong AASHTO (2007) được trình bày trong Mục 4.2.3.3.

Tương tự như việc hiệu chỉnh các hệ số sức kháng cho sức kháng chịu tải, ảnh hưởng của tỷ số giữa tải trọng ngang do tĩnh tải và tải trọng ngang do hoạt tải đã được nghiên cứu và trình bày ở đây.

Dựa trên các tải trọng của các cầu ví dụ thiết kế được xét trong nghiên cứu hiện tại, nhận thấy rằng tỷ số \(LFD/LFL\) nằm trong khoảng từ 4 đến 7. Vì vậy, các hệ số sức kháng đối với sức kháng trượt đã được hiệu chỉnh cho các tỷ số \(LFD/LFL\) biến thiên từ 2 đến 7, và các kết quả tương ứng được trình bày trong Bảng 71 cho các móng đổ tại chỗ và móng lắp ghép.

Bảng 69. Các hệ số sức kháng đã hiệu chỉnh cho các bộ dữ liệu khác nhau của
độ chệch sức kháng, thu được bằng phương pháp Carter và Kulhawy (1988).

Bộ dữ liệu Số trường hợp Độ chệch Hệ số sức kháng \(\phi\) (βT = 3)
Giá trị trung bình λ COVλ MCS Khuyến nghị
Tất cả các trường hợp 119 8.00 1.240 0.372 0.35
RMR ≥ 85 23 2.93 0.651 0.535 0.50
65 ≤ RMR < 85 57 3.78 0.463 1.149 1.00
44 ≤ RMR < 65 17 8.83 0.651 1.612 1.00
3 ≤ RMR < 44 22 23.62 0.574 5.295 1.00

\(\\\)

Bảng 70. Các hệ số sức kháng khuyến nghị cho móng đặt trong/trên đá dựa trên \(\beta_T = 3.0\) \((p_f = 0.135%)\).

Phương pháp phân tích Phương trình Phạm vi áp dụng \(\phi\) Hệ số hiệu quả \(\phi\)/λn (%)
Carter và Kulhawy (1988) \(q_{ult} = q_u (m + \sqrt{s})\) Tất cả 0.35 4.4
RMR ≥ 85 0.50 17.1
65 ≤ RMR < 85 1.00 26.5
44 ≤ RMR < 65 11.3
3 ≤ RMR < 44 4.2
Goodman (1989) Đối với đá nứt nẻ:
\(q_{ult} = q_u (N_\phi + 1)\)

Đối với đá không nứt nẻ:
\(q_{ult} = q_u\left(\dfrac{1}{N_\phi-1}\left\{N_\phi \left(\dfrac{s’}{B}\right)^{(N_\phi-1)/N_\phi} -1 \right\} \right)\)
Tất cả 0.30 22.2
Đo được \(\phi_f\) 0.35 24.8
Đo được s 0.40 28.0
Đo được s′ và \(\phi_f\) 0.45 29.8

\(\\\)

Bảng 71. Các hệ số sức kháng thu được từ mô phỏng MCS cho móng nông, loại đổ tại chỗ
hoặc đúc sẵn, trong các loại đất có góc ma sát khác nhau, cùng với ảnh hưởng của
tỷ lệ giữa tĩnh tải ngang và hoạt tải ngang.

(a) Móng đổ tại chỗ

\(\phi_f\)
thu được từ
Hệ số sức kháng từ MCS (\(\phi_{\tau\text{MCS}}\)
Áp lực đất ở trạng thái tĩnh Áp lực đất chủ động
LFD/LFL = 2 LFD/LFL = 4 LFD/LFL = 5 LFD/LFL = 7 LFD/LFL = 2 LFD/LFL = 4 LFD/LFL = 5 LFD/LFL = 7
SPT 0.469 0.455 0.452 0.447 0.507 0.498 0.496 0.492
CPT 0.516 0.499 0.494 0.488 0.558 0.545 0.542 0.537
Thí nghiệm trong phòng 0.558 0.535 0.530 0.523 0.603 0.585 0.581 0.576

(b) Móng lắp ghép

\(\phi_f\)
thu được từ
Hệ số sức kháng từ MCS (\(\phi_{\tau\text{MCS}}\))
Áp lực đất ở trạng thái tĩnh Áp lực đất chủ động
LFD/LFL = 2 LFD/LFL = 4 LFD/LFL = 5 LFD/LFL = 7 LFD/LFL = 2 LFD/LFL = 4 LFD/LFL = 5 LFD/LFL = 7
SPT 0.195 0.193 0.193 0.191 0.211 0.212 0.211 0.211
CPT 0.217 0.213 0.212 0.210 0.234 0.233 0.232 0.232
Thí nghiệm trong phòng 0.239 0.234 0.232 0.230 0.258 0.256 0.255 0.253

\(\\\)

Bảng 72. Các hệ số sức kháng khuyến nghị đối với sức kháng trượt (\(\phi_\tau\)) cho các
góc ma sát của đất, dựa trên các phép thí nghiệm khác nhau và
áp lực ngang do áp lực đất ở trạng thái tĩnh hoặc chủ động,
áp dụng cho móng đổ tại chỗ và móng lắp ghép.

\(\phi_f\)
thu được từ
Hệ số sức kháng đối với ma sát trượt (\(\phi_\tau\)) (βT = 3)
Áp lực đất ở trạng thái tĩnh Áp lực đất chủ động
Móng đổ tại chỗ1 Móng lắp ghép2 Móng đổ tại chỗ1 Móng lắp ghép2
SPT 0.40 0.20 0.45 0.20
CPT 0.45 0.50
Thí nghiệm trong phòng3 0.50 0.55
1 tanδs = 0.91 tan\(\phi_f\);   2 tanδs = 0.53 tan\(\phi_f\);   3 Bất kỳ phép đo cường độ kháng cắt nào trong phòng thí nghiệm của \(\phi_f\)

4.14.2 Các hệ số sức kháng

Các hệ số sức kháng tính toán được trình bày trong Bảng 71 cho thấy rằng tỷ số \(LFD/LFL\) không có ảnh hưởng rõ rệt đến độ lớn của các hệ số sức kháng. Vì vậy, các hệ số sức kháng được chọn được khuyến nghị sử dụng cho sức kháng trượt của móng trên vật liệu hạt như trình bày trong Bảng 72.